The Ratio of the Second and Third Turbulent Moments in the Urban Boundary Layer of the Atmosphere on the Example of Data from the Moscow State University Eddy Covariance Tower
- Authors: Drozd I.D.1,2,3, Artamonov A.Y.2, Barskov K.V.2, Gavrikov A.V.2,4, Pashkin A.D.2, Repina I.A.2,3,5, Stepanenko V.M.1,2,3,5
-
Affiliations:
- Lomonosov Moscow State University, Faculty of Geography
- Obukhov Institute of Atmospheric Physics, RAS
- Lomonosov Moscow State University, Research Computing Center
- Shirshov Institute of Oceanology, RAS
- Moscow Center for Fundamental and Applied Mathematics
- Issue: Vol 59, No 4 (2023)
- Pages: 509-522
- Section: Articles
- URL: https://ogarev-online.ru/0002-3515/article/view/136938
- DOI: https://doi.org/10.31857/S0002351523040156
- EDN: https://elibrary.ru/ZDJNCZ
- ID: 136938
Cite item
Full Text
Abstract
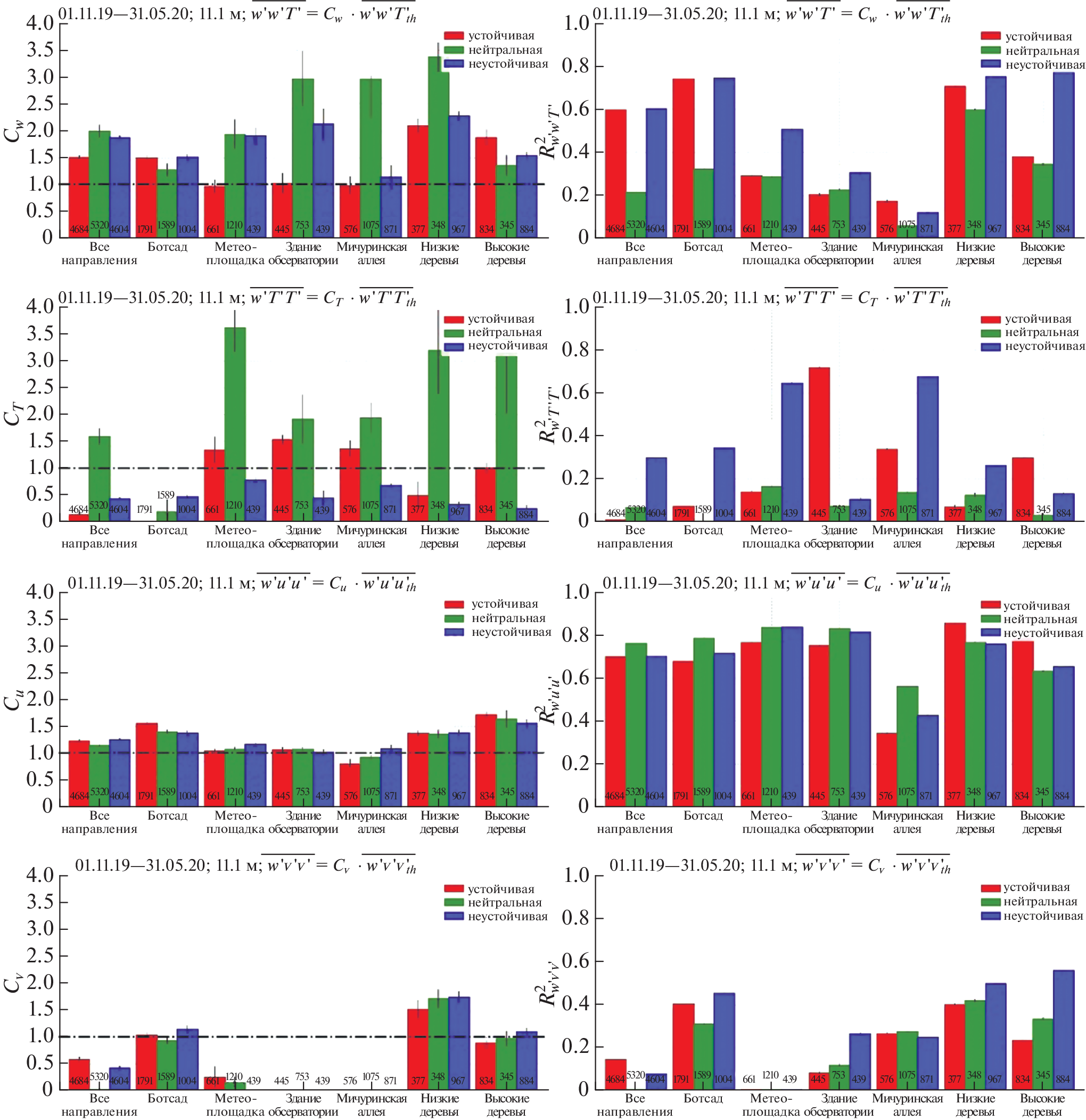
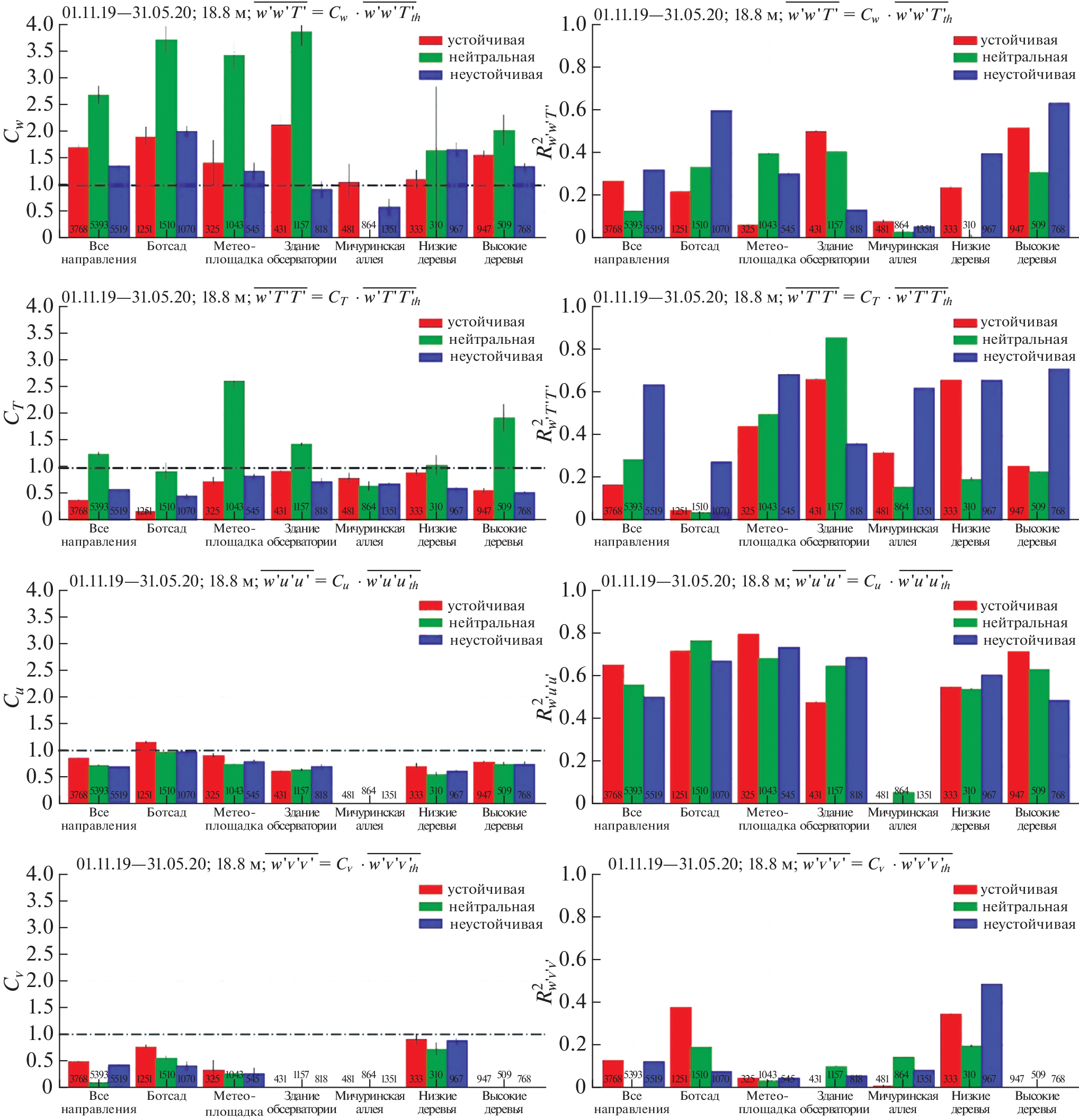
This work is devoted to testing the hypothesis about the presence of a diagnostic connection between the second and third moments of the hydrodynamic quantities \({{c}_{1}}\) and \({{c}_{2}}\) in the atmospheric boundary layer above a geometrically complex surface: \(\overline {w{\kern 1pt} 'c_{1}^{'}c_{2}^{'}} = C{{S}_{{{{c}_{1}}}}}{{\sigma }_{{{{c}_{1}}}}}\overline {w{\kern 1pt} 'c_{2}^{'}} .\) To test this ratio, a seven-month series of high-frequency measurements on an eddy covariance tower installed at the Meteorological Observatory of Lomonosov Moscow State University was used. Based on the statistical distribution of the third moments, the optimal methods for analyzing the reliability of the dependence under study were determined. For the first time on a large series of data, a statistically valid assessment of the validity of the tested hypothesis was obtained in the conditions of the urban underlying surface. The influence of stratification conditions and the nature of the underlying surface in the area of flux formation on the fulfillment of ratio second and third moments is studied. It is established that for the third moments \(\overline {w{\kern 1pt} 'w{\kern 1pt} 'T{\kern 1pt} '} ,\) \(\overline {w{\kern 1pt} 'T{\kern 1pt} 'T{\kern 1pt} '} ,\) \(\overline {w{\kern 1pt} 'u{\kern 1pt} 'u{\kern 1pt} '} ,\) and \(\overline {w{\kern 1pt} 'v{\kern 1pt} 'v{\kern 1pt} '} \) relation second and third moments is valid in 80% of cases.
About the authors
I. D. Drozd
Lomonosov Moscow State University, Faculty of Geography; Obukhov Institute of Atmospheric Physics, RAS; Lomonosov Moscow State University, Research Computing Center
Author for correspondence.
Email: drozdil.msu@gmail.com
Russia, 119234, Moscow, ul. Leninskie Gory, 1, bild. 1,; Russia, 119017, Moscow, Pyzhevsky, 3; Russia, 119234, Moscow, ul. Leninskie Gory, 1, bild. 4
A. Yu. Artamonov
Obukhov Institute of Atmospheric Physics, RAS
Email: drozdil.msu@gmail.com
Russia, 119017, Moscow, Pyzhevsky, 3
K. V. Barskov
Obukhov Institute of Atmospheric Physics, RAS
Email: drozdil.msu@gmail.com
Russia, 119017, Moscow, Pyzhevsky, 3
A. V. Gavrikov
Obukhov Institute of Atmospheric Physics, RAS; Shirshov Institute of Oceanology, RAS
Email: drozdil.msu@gmail.com
Russia, 119017, Moscow, Pyzhevsky, 3; Russia, 117218, Moscow, Nakhimovsky prosp., 36
A. D. Pashkin
Obukhov Institute of Atmospheric Physics, RAS
Email: drozdil.msu@gmail.com
Russia, 119017, Moscow, Pyzhevsky, 3
I. A. Repina
Obukhov Institute of Atmospheric Physics, RAS; Lomonosov Moscow State University, Research Computing Center; Moscow Center for Fundamental and Applied Mathematics
Email: drozdil.msu@gmail.com
Russia, 119017, Moscow, Pyzhevsky, 3; Russia, 119234, Moscow, ul. Leninskie Gory, 1, bild. 4; Russia, 119234, Moscow, ul. Leninskie Gory, 1, bild. 1
V. M. Stepanenko
Lomonosov Moscow State University, Faculty of Geography; Obukhov Institute of Atmospheric Physics, RAS; Lomonosov Moscow State University, Research Computing Center; Moscow Center for Fundamental and Applied Mathematics
Email: drozdil.msu@gmail.com
Russia, 119234, Moscow, ul. Leninskie Gory, 1, bild. 1,; Russia, 119017, Moscow, Pyzhevsky, 3; Russia, 119234, Moscow, ul. Leninskie Gory, 1, bild. 4; Russia, 119234, Moscow, ul. Leninskie Gory, 1, bild. 1
References
- Артамонов А.Ю., Варенцов М.И., Гавриков А.В., Пашкин А.Д., Репина И.А., Степаненко В.М. Микрометеорологическая мачта в МО МГУ // Эколого-климатические характеристики атмосферы Москвы в 2018 г. по данным Метеорологической обсерватории МГУ им. М.В. Ломоносова. 2019. С. 157–161.
- Барсков К.В., Глазунов А.В., Репина И.А., Степаненко В.М., Лыкосов В.Н., Маммарелла И. О применимости теории подобия для устойчиво-стратифицированного атмосферного пограничного слоя над поверхностями сложной структуры // Изв. РАН. Физика атмосферы и океана. 2018. Т. 54. № 5. С. 544–554.
- Монин А.С., Обухов А.М. Основные закономерности турбулентного перемешивания в приземном слое атмосферы // Труды ГЕОФИАН. 1954. № 24(151). С. 163–187.
- Монин А.С., Яглом А.М. Статистическая гидромеханика. М.: Наука, 1965, 640 с.
- Пашкин А.Д., Репина И.А., Степаненко В.М., Богомолов В.Ю., Смирнов С.В., Тельминов А.Е. Связь статистических характеристик турбулентности с когерентными структурами по результатам пульсационных измерений в городском каньоне // Процессы в геосредах. 2021. № 1(27). С. 1020–1027.
- Abdella K., McFarlane N. A new second-order turbulence closure scheme for the planetary boundary layer // J. Atmos. Sci. 1997. V. 54. № 14. P. 1850–1867.
- Barskov K., Chechin D., Drozd I., Artamonov A., Pashkin A., Gavrikov A., Stepanenko V., Varentsov M., Repina I. Relationships Between Second and Third Moments in the Surface Layer Under Different Stratification over Grassland and Urban Landscapes // Boundary-Layer Meteorology. 2022. P. 1–28.
- Barskov K., Stepanenko V., Repina I., Artamonov A., Gavrikov A. Two regimes of turbulent fluxes above a frozen small lake surrounded by forest // Boundary-Layer Meteorology. 2019. V. 173. № 3. P. 311–320.
- Drozd I., Gavrikov A., Stepanenko V. Comparative characteristics of gap filling methods in high-frequency data of micrometeorological measurements // IOP Conference Series: Earth and Environmental Science. IOP Publishing, 2022a. V. 1023. № 1. P. 012009.
- Drozd I., Repina I., Gavrikov A., Stepanenko V., Artamonov A., Pashkin A., Varentsov A. Atmospheric turbulence structure above urban nonhomogeneous surface // Russian J. Earth Sci. 2022b. V. 22. № 5. P. 12.
- Grachev A.A., Andreas E.L., Fairall C.W., Guest P.S., Persson P.O.G. Similarity theory based on the Dougherty–Ozmidov length scale // Quarterly J. Royal Meteorological Society. 2015. V. 141(690). P. 1845–1856.
- Grachev A.A., Leo L.S., Fernando H.J., Fairall C.W., Creegan E., Blomquist B.W., … Hocut C.M. Air–sea/land interaction in the coastal zone // Boundary-layer meteorology. 2018. V. 167(2). P. 181–210.
- Johansson C., Smedman A-S., Högström U., Brasseur J.G., Khanna S. Critical test of the validity of Monin–Obukhov similarity during convective conditions // J. Atmos. Sci. 2001. V. 58. № 12. P. 1549–1566.
- Kadivar M., Tormey D., McGranaghan G. A review on turbulent flow over rough surfaces: Fundamentals and theories // International J. Thermofluids. 2021. V. 10. P. 100 077.
- Kaimal J.C., Finnigan J.J. Atmospheric boundary layer flows: their structure and measurement. Oxford: Oxford University Press, 1994. 304 p.
- Lahiri S.N. Theoretical comparisons of block bootstrap methods // The Annals of Statistics. 1999. V. 27. P. 386–404.
- Stiperski I., Calaf M. Generalizing Monin-Obukhov similarity theory (1954) for complex atmospheric turbulence // arXiv preprint arXiv:2206.14592. 2022.
- Tong C., Nguyen K.X. Multipoint Monin–Obukhov similarity and its application to turbulence spectra in the convective atmospheric surface layer // J. Atmos. Sci. 2015. V. 72. P. 4337–4348.
- Wilson J.D. Monin-Obukhov functions for standard deviations of velocity // Boundary-Layer Meteorol. 2008. V. 129. № 3. P. 353–369.
- Wyngaard J.C. Turbulence in the atmosphere. N.Y.: Cambridge University Press, 2010. 393 p.
- Zilitinkevich S., Gryanik V., Lykossov V., Mironov D. Third-order transport and nonlocal turbulence closures for convective boundary layers // J. Atmos. Sci. 1999. V. 56. P. 3463–3477.
- Zilitinkevich S.S. Third-order transport due to internal waves and non-local turbulence in the stably stratified surface layer // Quarterly J. Royal Meteorological Society. 2002. V. 128(581). P. 913–925.
Supplementary files











