Internal Waves in the Region of the Akselsundet Strait of Western Spitsbergen Island
- Authors: Morozov E.G.1,2,3, Pisarev S.V.1
-
Affiliations:
- Shirshov Institute of Oceanology, Russian Academy of Sciences
- Moscow Institute of Physics and Technology,
- Marine Hydrophysical Institute, RAS
- Issue: Vol 59, No 4 (2023)
- Pages: 497-508
- Section: Articles
- URL: https://ogarev-online.ru/0002-3515/article/view/136937
- DOI: https://doi.org/10.31857/S0002351523040120
- EDN: https://elibrary.ru/YOULEH
- ID: 136937
Cite item
Full Text
Abstract
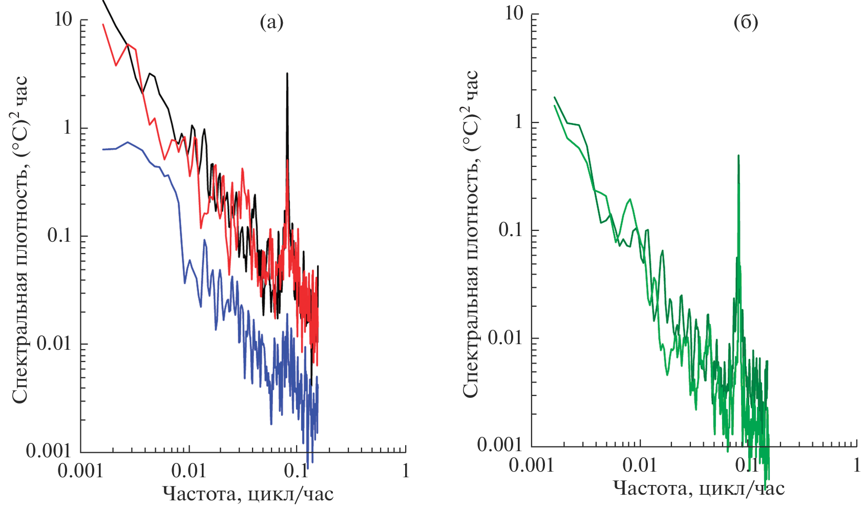
Moored measurements of temperature, salinity, and currents at three moorings that operated for a year in the area of strong tidal currents in the area of the Akselsundet Strait at the mouth of the Van Mayen fiord on Western Svalbard Island are analyzed. Tidal currents flowing around an underwater sill in the strait generate intense tidal internal waves. Forced internal waves exist above the underwater slope. Vertical displacements of water particles reach 20 m. Waves rapidly decay as they propagate away from the strait and slope. They are no longer recorded as far as 12 km from the strait. Tidal currents in the strait reach a speed of 3 m/s and form an intense jet when flowing out of the strait. A strong jet of currents during spring tides presses the instruments on moorings to the bottom.
About the authors
E. G. Morozov
Shirshov Institute of Oceanology, Russian Academy of Sciences; Moscow Institute of Physics and Technology, ; Marine Hydrophysical Institute, RAS
Author for correspondence.
Email: egmorozov@mail.ru
Russia, 119997, Moscow, Nakhimovsky prosp., 36; Russia, 141707, Moscow region, Dolgoprudny, Institutskiy per., 9; Russia, 2299011, Sevastopol, Kapitanskaya st., 2
S. V. Pisarev
Shirshov Institute of Oceanology, Russian Academy of Sciences
Email: egmorozov@mail.ru
Russia, 119997, Moscow, Nakhimovsky prosp., 36
References
- Власенко В.И. Нелинейная модель генерации бароклинных приливов над протяженными неоднородностями рельефа дна // Морской гидрофизический журн. 1992. № 6. С. 9–16. Physical Oceanography (Morskoy gidrofizicheskiy zhurnal). 1992. V. 3. P. 417–424.
- Зубов Н.Н. Гидрологические работы морского научного института в юго-западной части Баренцева моря летом 1928 г. летом на э/с “Персей” // Труды ГОИН, 1932. Т. 2. В. 4. С. 3–80.
- Kowalik Z., Marchenko A., Brazhnikov D., Marchenko N. Tidal currents in the western Svalbard Fjords // Oceanologia. 2015. V. 57. № 4. P. 318–327. https://doi.org/10.1016/j.oceano.2015.06.003
- Konyaev K.V. Internal tide at the critical latitude // Izv., Atmos. Ocean. Phys. 2000. V. 36. № 3. P. 396–408.
- Konyaev K.V., Plueddemann A., Sabinin K.D. Internal Tide on the Ermak Plateau in the Arctic Ocean // Izv. Atmos. Ocean. Phys. 2000. V. 36. № 4. P. 542–552.
- Kurkina O.E., Talipova T.G. Huge internal waves in the vicinity of the Spitsbergen Island (Barents Sea) // Natural Hazards Earth System Studies. 2011. V. 11. P. 981–986.
- LeBlond P.H., Mysak L.A. Waves in the ocean. Amsterdam: Elsevier oceanographic series. Elsevier, 1978. 602 p.
- Marchenko A., Shestov A., Karulin E., Morozov E., Karulina M., Bogorodsky P., Muzylev S., Onishchenko D., Makshtas A. Field studies of sea water and ice properties in Svalbard fjords // Proceedings of the 21st International Conference on Port and Ocean Engineering under Arctic Conditions July 10–14, 2011 Montréal, Canada. 2011.
- Marchenko A., Kowalik Z., Brazhnikov D., Marchenko N., Morozov E. Characteristics of sea currents in navigational strait Akselsundet in Spitsbergen // Proceedings of the 23rd International Conference on Port and Ocean Engineering under Arctic Conditions June 14–18, 2015 Trondheim, Norway. 2015.
- Marchenko A.V., Morozov E.G., Kozlov I.E., Frey D.I. High-amplitude internal waves southeast of Spitsbergen // Continental Shelf Research. 2021. V. 227. P. 104 523.
- Morozov E.G., Pisarev S.V. Internal tides at the Arctic latitudes (numerical experiments) // Oceanology. 2002. V. 42. № 2. P. 153–161.
- Morozov E.G., Trulsen K., Velarde M.G., Vlasenko V.I. Internal tides in the Strait of Gibraltar // J. Physical Oceanography. 2002. V. 32. P. 3193–3206.
- Morozov E.G., Paka V.T. Internal waves in a high-latitude region // Oceanology. 2010. V. 50. № 5. P. 668–674.
- Morozov E.G., Marchenko A.V., Filchuk K.V., Kowalik Z., Marchenko N.A., Ryzhov I.V. Sea ice evolution and internal wave generation due to a tidal jet in a frozen sea // Applied Ocean Research. 2019. V. 87. P. 179–191.
- Parson A.R., Bourke R.H., Muench R.D., Chiu C.-S., Lynch J.F., Miller J.H., Pluedemann A.J. The Barents Sea Polar Front in summer // J. Geophys. Res. 1996. V. 101. № C6. P. 14201–14221.
- Pisarev S.V. Experimental frequency spectra of internal waves in an ice-covered high-latitude basin // Oceanology. 1989. V. 28. № 5. P. 577–580.
- Pisarev S.V. Some measurements of the spatial and temporal characteristics of internal waves in an ice-covered high-latitude basin // Oceanology. 1991. V. 31. № 1. P. 42–46.
- Pisarev S.V. Spatial and temporal characteristics of internal waves at the edge of the continental shelf in the Arctic basin // Oceanology. 1992. V. 32. № 5. P. 579–583.
- Pisarev S.V. Low-frequency internal waves near the shelf edge of the Arctic basin // Oceanology. 1996. V. 36. № 6. P. 771–778.
- Plueddemannn A.J., Krishfield R., Takizawa T., Hatakeyama K., Honjo S. Upper ocean velocities in the Beaufort Gyre // Geophys. Res. Lett. 1998. V. 25. № 2. P. 183–186.
- Rippeth T.P., Vlasenko V., Stashchuk N., Scannell B.D., Green J.A.M., Lincoln B.J., Bacon S. Tidal conversion and mixing poleward of the critical latitude (an Arctic case study) // Geophysical Research Letters. 2017. V. 44. P. 12,349–12,357. https://doi.org/10.1002/2017GL075310
- Støylen E., Fer I. Tidally induced internal motion in an Arctic fjord // Nonlinear Processes in Geophysics. 2014. V. 21. P. 87–100. https://doi.org/10.5194/npg-21-87-2014
- Støylen E., Weber J.E.H. Mass transport induced by internal Kelvin waves beneath shore-fast ice // J. Geophys. Res. 2010. V. 115. P. C03022. https://doi.org/10.1029/2009JC005298
- Vlasenko V., Stashchuk N., Hutter K. Baroclinic Tides: Theoretical Modeling and Observational Evidence. Cambridge: Cambridge University Press, 2005. 351 p.
Supplementary files
















