Ground-Based FTIR-Measurements of the Atmospheric Nitric Acid at the NDACC Site of St. Petersburg
- Authors: Virolainen Y.A.1, Timofeyev Y.M.1, Polyakov A.V.1, Poberovsky A.V.1
-
Affiliations:
- St. Petersburg University
- Issue: Vol 59, No 2 (2023)
- Pages: 192-199
- Section: Articles
- URL: https://ogarev-online.ru/0002-3515/article/view/136914
- DOI: https://doi.org/10.31857/S0002351523020074
- EDN: https://elibrary.ru/HPRNWS
- ID: 136914
Cite item
Full Text
Abstract
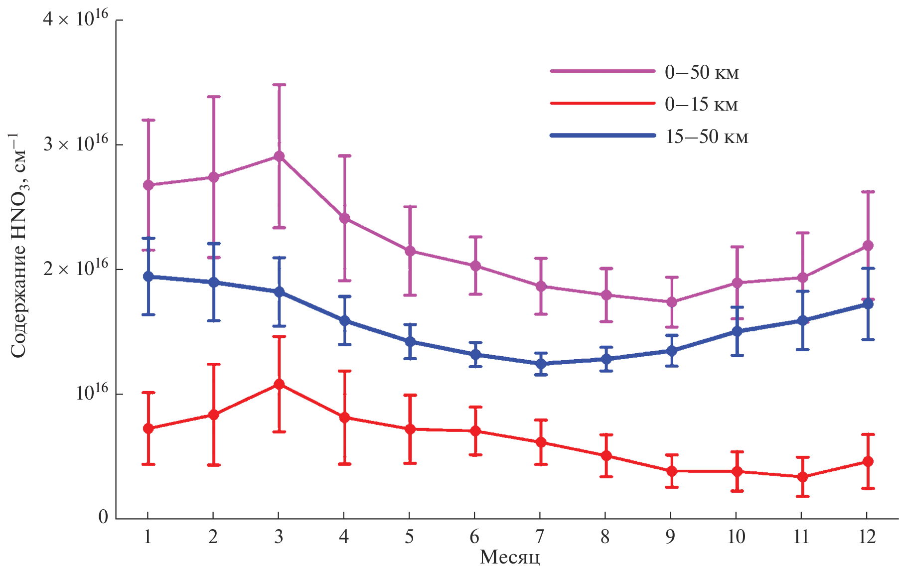
Atmospheric nitric acid (HNO3) has a significant impact on the formation of the ozone layer; therefore, its content is regularly monitored using various local and remote-sensing methods. We used ground-based measurements of solar IR spectra with a Bruker 125HR Fourier spectrometer to derive information on the HNO3 content at the St.Petersburg observational NDACC site in Peterhof. The HNO3 time series obtained showed a pronounced seasonal cycle with a maximum in winter and early spring and a minimum in summer and early autumn. The averaged seasonal variations in nitric acid varied from –30 to +60% for the 0–15 km layer, from –25 to +25% for the 15–50 km layer, and from –25 to +30% for total columns. For 2009–2022 measurement period, no statistically significant trend was found in the time series considered. Comparison of HNO3 stratospheric columns with independent satellite measurements by the MLS and ACE-FTS instruments showed their qualitative and quantitative agreement; the correlation coefficient between ground-based and satellite measurements totals 0.88–0.93. Time series on the vertical structure of the atmospheric nitric acid measured at the St.Petersburg site can be used both to analyze the state of the ozonosphere and to validate satellite measurements and refine the parameters of atmospheric models.
About the authors
Ya. A. Virolainen
St. Petersburg University
Author for correspondence.
Email: yana.virolainen@spbu.ru
Russia, 199034, St. Petersburg, 7–9 Universitetskaya Emb.
Yu. M. Timofeyev
St. Petersburg University
Email: yana.virolainen@spbu.ru
Russia, 199034, St. Petersburg, 7–9 Universitetskaya Emb.
A. V. Polyakov
St. Petersburg University
Email: yana.virolainen@spbu.ru
Russia, 199034, St. Petersburg, 7–9 Universitetskaya Emb.
A. V. Poberovsky
St. Petersburg University
Email: yana.virolainen@spbu.ru
Russia, 199034, St. Petersburg, 7–9 Universitetskaya Emb.
References
- Виролайнен Я.А., Тимофеев Ю.М., Поляков А.В., Ионов Д.В., Кирнер О., Поберовский А.В., Имхасин Х. Сопоставление наземных измерений общего содержания О3, HNO3, HCl и NO2 c данными численного моделирования // Изв. РАН ФАО. 2016. Т. 52. № 1. С. 64–73.
- Виролайнен Я.А., Поляков А.В., Тимофеев Ю.М. Анализ изменчивости стратосферных газов по данным наземных спектроскопических наблюдений в районе Санкт-Петербурга // Изв. РАН. ФАО. 2021. Т. 57. № 2. С. 163–174.
- Виролайнен Я.А. Тимофеев Ю.М., Поберовский А.В., Поляков А.В. Анализ информативности наземного ИК спектроскопического метода определения вертикальной структуры содержания HNO3 в атмосфере // ОАО. 2022. Т. 35. № 11. С. 906–911.
- Dammers E., Shephard M.W., Palm M., Cady-Pereira K., Capps S., Lutsch E., Strong K., Hannigan J.W., Ortega I., Toon G.C., Stremme W., Grutter M., Jones N., Smale D., Siemons J., Hrpcek K., Tremblay D., Schaap M., Notholt J., and Erisman J.W. Validation of the CrIS fast physical NH3 retrieval with ground-based FTIR // Atmos. Meas. Tech. 2017. V. 10. № 7. P. 2645–2667.
- Hase H., Hannigan J.W., Coffey M.T., Goldman A., Hoepfner M., Jones N.B., Rinsland C.P., Wood S.W. Intercomparison of retrieval codes used for the analysis of high-resolution, ground-based FTIR measurements // J. Quant. Spectrosc. Radiat. Transfer 2004. V. 87. № 1. P. 25–52.
- Lindenmaier R., Strong K., Batchelor R.L., Chipperfield M.P., Daffer W.H., Drummond J.R., Duck T.J., Fast H., Feng W., Fogal P.F., Kolonjari F., Manney G. L., Manson A., Meek C., Mittermeier R. L., Nott G. J., Perro C., Walker K. A. Unusually low ozone, HCl, and HNO3 column measurements at Eureka, Canada during winter/spring 2011 // Atmos. Chem. Phys. 2012. V. 12. № 8. P. 3821–3835.
- Livesey N.J, Read W.G., Froidevaux L., Lambert A., Manney G.L., Pumphrey H.C., Santee M.L., Schwartz M.J., Wang S., Cofeld R.E., Cuddy D.T., Fuller R.A., Jarnot R.F., Jiang J.H., Knosp B.W., Stek P.C., Wagner P.A., and Wu D.L. Earth Observing System (EOS) Aura Microwave Limb Sounder (MLS) Version 3.3 Level 2 data quality and description document, Version 3.3x-1.0: Jet Propulsion Laboratory, California Institute of Technology, Pasadena, California, 2011.
- Livesey N.J, Read W.G., Wagner P.A., Froidevaux L., Santee M.L., Schwartz M.J., Lambert A., Millán Valle L.F., Pumphrey H.C., Manney G.L., Fuller R.A., Jarnot R F., Knosp B.W., Lay R.R. Version 5.0x Level 2 and 3 data quality and description document: Jet Propulsion Laboratory California Institute of Technology, Pasadena, California, 2020.
- NDACC database. https://www-air.larc.nasa.gov/missions/ ndacc/data.html.
- Ossohou M., Galy-Lacaux C., Yoboué V., Hickman J.E., Gardrat E., Adon M., Darras S., Laouali D., Akpo A., Ouafo M., Diop B., Opepa C. Trends and seasonal variability of atmospheric NO2 and HNO3 concentrations across three major African biomes inferred from long-term series of ground-based and satellite measurements // Atmos. Environ. 2019. V. 207. P. 148–166.
- Polyakov A., Poberovsky A., Makarova M., Virolainen Y., Timofeyev Y., Nikulina A. Measurements of CFC-11, CFC-12, and HCFC-22 total columns in the atmosphere at the St. Petersburg site in 2009–2019 // Atmos. Meas. Tech. 2021. V. 14. № 8. P. 5349–5368.
- Rinsland C.P., Zander R., Demoulin P. Ground-based infrared measurements of HNO3 total column abundances: Long-term trend and variability // J. Geophys. Res. Atmos. 1991. V. 96. P. 9379–9389.
- Semakin S.G., Poberovski, A.V., Timofeev Y.M. Ground-based spectroscopic measurements of the total nitric acid content in the atmosphere // Izv. Atmos. Ocean. Phys. 2013. V. 49. P. 294–297.
- Shan C., Zhang H., Wang W., Liu C., Xie Y., Hu Q., Jones N. Retrieval of Stratospheric HNO3 and HCl Based on Ground-Based High-Resolution Fourier Transform Spectroscopy // Remote Sens. 2021. V. 13. № 11. P. 2159.
- Sheese P.E., Walker K.A., Boone C.D., Bernath P.F., Froidevaux L., Funke B., Raspollini P., von Clarmann T. ACE-FTS ozone, water vapour, nitrous oxide, nitric acid, and carbon monoxide profile comparisons with MIPAS and MLS // J. Quant. Spectr. Radiat. Transf. 2017. V. 186. P. 63–80.
- Timofeyev Yu., Virolainen Ya., Makarova M., Poberovsky A., Polyakov A., Ionov D., Osipov S., Imhasin H. Ground-based spectroscopic measurements of atmospheric gas composition near Saint Petersburg (Russia) // J. Mol. Spectr. 2016. № 323. P. 2–14.
- Vigouroux C., De Maziere M., Errera Q., Chabrillat S., Mahieu E., Duchatelet P., Wood S., Smale D., Mikuteit S., Blumenstock T., Hase F., Jones N. Comparisons between ground-based FTIR and MIPAS N2O and HNO3 profiles before and after assimilation in BASCOE // Atmos. Chem. Phys. 2007. V. 7. № 2. P. 377–396.
- Wespes C., Hurtmans D., Clerbaux C., Santee M.L., Martin R.V., Coheur P.F. Global distributions of nitric acid from IAS-I/MetOP measurements // Atmos. Chem. Phys. 2009. V. 9. № 20. P. 7949–7962.
- Whole Atmosphere Community Climate Model (WACCM) Model Output ds313.6 | https://doi.org/10.5065/G643-Z138 https://rda.ucar.edu/datasets/ds313.6/#!description.
- WMO (World Meteorological Organization), Scientific Assessment of Ozone Depletion: 2018, Global Ozone Research and Monitoring Project–Report No. 58, 588 pp., Geneva, Switzerland, 2018.
- Wolff M.A., Kerzenmacher T., Strong K., Walker K.A., Toohey M., Dupuy E., Bernath P.F., Boone C.D., Brohede S., Catoire V., von Clarmann T., Coffey M., Daffer W.H., De Mazière M., Duchatelet P., Glatthor N., Griffith D.W.T., Hannigan J., Hase F., Höpfner M., Huret N., Jones N., Jucks K., Kagawa A., Kasai Y., Kramer I., Küllmann H., Kuttippurath J., Mahieu E., Manney G., McElroy C.T., McLinden C., Mébarki Y., Mikutei, S., Murtagh D., Piccolo C., Raspollini P., Ridolfi M., Ruhnke R., Santee M., Senten C., Smale D., Tétard C., Urban J., and Wood S. Validation of HNO3, ClONO2, and N2O5 from the Atmospheric Chemistry Experiment Fourier Transform Spectrometer (A-CE‑FT-S) // Atmos. Chem. Phys. 2008. V. 8. № 13. P. 3529–3562.
Supplementary files






