Projected Changes in the Snow Cover Extent in the 21st Century in Eurasia According to Simulations with the Ensemble of Climate Models CMIP6
- Authors: Parfenova M.R.1, Arzhanov M.M.1, Mokhov I.I.1,2
-
Affiliations:
- Obukhov Institute of Atmospheric Physics, Russian Academy of Sciences
- Lomonosov Moscow State University
- Issue: Vol 59, No 3 (2023)
- Pages: 299-308
- Section: Articles
- URL: https://ogarev-online.ru/0002-3515/article/view/136912
- DOI: https://doi.org/10.31857/S0002351523030070
- EDN: https://elibrary.ru/TRYZJN
- ID: 136912
Cite item
Full Text
Abstract
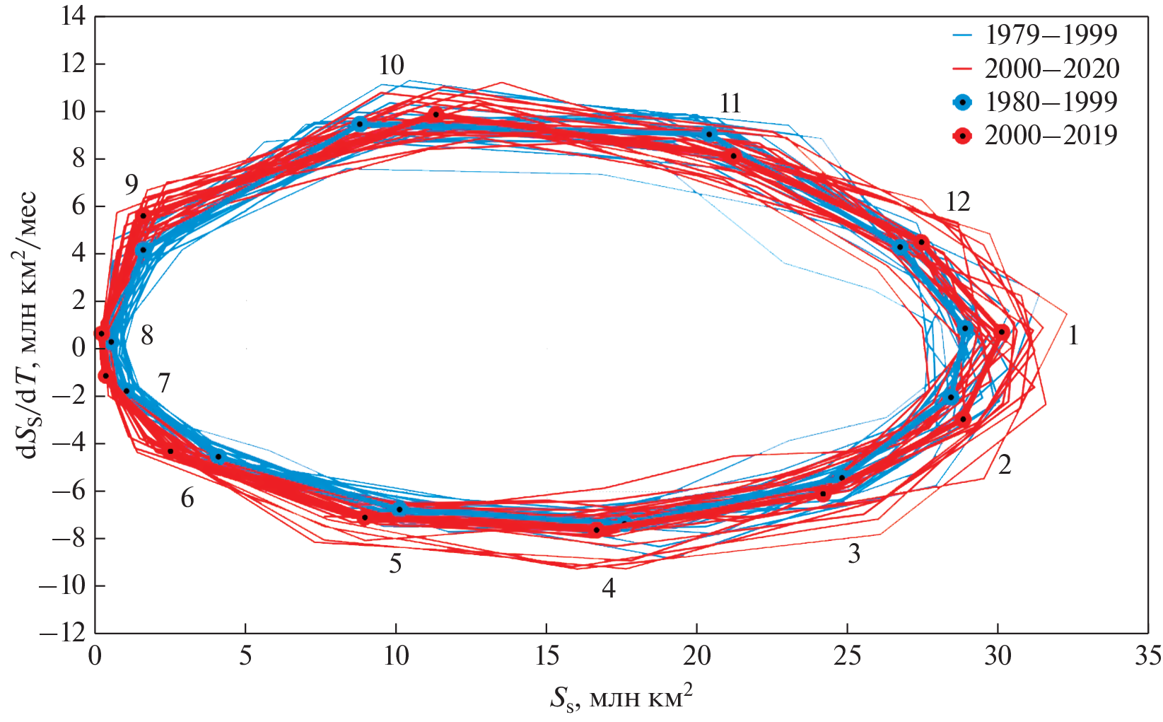
The analysis of changes in the snow cover extent S in Eurasia was performed using the results of simulations with the ensemble of global climate models of the international project CMIP6 under the scenario of anthropogenic impacts SSP2-4.5 for the 21st century. Features of S variability in relation to changes in surface air temperature T in different seasons are revealed by comparison of ensemble model calculations for the “historical” scenario to CDR satellite data against the background of a general decrease in the snow cover extent in Eurasia during the contemporary warming. It is noted that the multimodel ensemble mean estimates of the sensitivity parameter dS/dT for the transitional seasons in spring and autumn can be significantly lower in absolute values than those for the individual models and those derived from the satellite data. Comparison of model estimates with satellite observation data showed that the models generally reproduce the observed variations in the snow cover area in Eurasia, while variations in the area may be underestimated for individual models. According to ensemble model calculations, the rate of snow cover reduction in Eurasia in the second half of the XXI century decreases compared to the first half of the XXI century for all seasons. At the same time, the maximum values of snow cover extent reduction rate in Eurasia are inherent in transitional seasons – autumn and spring.
About the authors
M. R. Parfenova
Obukhov Institute of Atmospheric Physics, Russian Academy of Sciences
Author for correspondence.
Email: parfenova@ifaran.ru
Russia, 119017, Moscow, Pyzhevsky per., 3
M. M. Arzhanov
Obukhov Institute of Atmospheric Physics, Russian Academy of Sciences
Email: parfenova@ifaran.ru
Russia, 119017, Moscow, Pyzhevsky per., 3
I. I. Mokhov
Obukhov Institute of Atmospheric Physics, Russian Academy of Sciences; Lomonosov Moscow State University
Email: parfenova@ifaran.ru
Russia, 119017, Moscow, Pyzhevsky per., 3; Russia, 119991, Moscow, Leninskie Gory, 1-2
References
- Аржанов М.М., Елисеев А.В., Демченко П.Ф., Мохов И.И., Хон В.Ч. Моделирование температурного и гидрологического режима водосборов сибирских рек в условиях вечной мерзлоты с использованием данных реанализа // Изв. РАН. Физика атмосферы и океана. 2008. Т. 44. № 1. С. 86–93.
- Будыко М.И. Климат в прошлом и будущем. Л.: Гидрометеоиздат, 1980. 351 с.
- Кислов А.В. Климат в прошлом, настоящем и будущем. М.: МАИК “Наука/Интерпериодика”, 2001. 351 с.
- Кренке А.Н., Китаев Л.М., Турков Д.В. Климатическая роль изменений снежного покрова в периоды потеплений // Изв. РАН. Сер. геогр. 2001. № 4. С. 44–51.
- Мохов И.И. Температурная чувствительность площади криосферы Северного полушария // Известия АН СССР. Физика атмосферы и океана. 1984. Т. 20. № 2. С. 136–143.
- Мохов И.И. Диагностика структуры климатической системы. СПб.: Гидрометеоиздат, 1993. 271 с.
- Мохов И.И. Особенности современных изменений в Арктике и их последствий // Проблемы Арктики и Антарктики. 2020. Т. 66. № 4. С. 446–462.
- Мохов И.И. Российские климатические исследования в 2015–2018 гг. // Изв. РАН. Физика атмосферы и океана. 2020. Т. 56. № 4. С. 1–21.
- Мохов И.И., Парфенова М.Р. Взаимосвязь площади снежного покрова в Северном полушарии по спутниковым данным с приповерхностной температурой // Метеорология и гидрология. 2022. № 2. С. 32–44.
- Мохов И.И., Парфенова М.Р. Изменения протяженности снежного покрова в Евразии по спутниковым данным в связи с полушарными и региональными температурными изменениями // ДАН. Науки о Земле. 2021. Т. 501. № 1. С. 78–85.
- Мохов И.И., Парфенова М.Р. Связь площади снежного покрова и морских льдов с температурными изменениями в Северном полушарии по данным для последних десятилетий // Изв. РАН. Физика атмосферы и океана. 2022. Т. 58. № 4. С. 411–423.
- Мохов И.И., Семенов В.А. Бимодальность функций плотности вероятности внутрисезонных вариаций приповерхностной температуры. Изв. РАН // Физика атмосферы и океана. 1997. Т. 33. № 6. С. 758–764.
- Надежина Е.Д., Павлова Т.В., Школьник И.М., Молькентин Е.К., Семиошина А.А. Модельные оценки пространственных распределений характеристик снежного покрова и многолетнемерзлых грунтов на территории России // Криосфера Земли. 2010. Т. XIV. № 2. С. 87–97.
- Павлова Т.В., Катцов В.М., Пикалева А.А., Спорышев П.В., Говоркова В.А. Снежный покров и многолетняя мерзлота в моделях CMIP5: оценки современного состояния и его возможных изменений в XXI в. // Труды ГГО. 2013. Вып. 569. С. 38–61.
- Парфенова М.Р., Елисеев А.В., Мохов И.И. Изменения периода навигации в арктических морях на Северном морском пути в 21 веке: Байесовы оценки по расчетам с ансамблем климатических моделей // ДАН. Науки о Земле. 2022. Т. 507. № 1. С. 118–125.
- Попова В.В., Полякова И.А. Изменение сроков разрушения устойчивого снежного покрова на севере Евразии в 1936–2008 гг.: влияние глобального потепления и роль крупномасштабной атмосферной циркуляции // Лед и снег. 2013. № 2(122). С. 29–39.
- Шмакин А.Б. Климатические характеристики снежного покрова Северной Евразии и их изменения в последние десятилетия // Лед и снег. 2010. № 1(109). С. 43–57.
- Barry R., Gan T.Y. The global cryosphere: past, present and future. Cambridge Univ. Press, New York, NY. 2011. 472 p.
- Bindoff N.L. et al. Detection and Attribution of Climate Change: from Global to Regional / In: Climate Change 2013: The Physical Science Basis. Contribution of Working Group I to the Fifth Assessment Report of the Intergovernmental Panel on Climate Change. Stocker T.F. (eds.). Cambridge Univ. Press, Cambridge/New York, NY. 2013. P. 867–952.
- Brown R.D., Mote P.W. The response of Northern Hemisphere snow cover to a changing climate // J. Clim. 2009. V. 22. P. 2124–2145.
- Brutel–Vuilmet C., Ménégoz M., Krinner G. An analysis of present and future seasonal Northern Hemisphere land snow cover simulated by CMIP5 coupled climate models. The Cryosphere. 2013. V. 7. P. 67–80. https://doi.org/10.5194/tc-7-67-2013
- Bulygina O.N., Groisman P.Ya., Razuvaev V.N., Korshunova N.N. Changes in snow cover characteristics over Northern Eurasia since 1966 // Environ. Res. Lett. 2011. V. 6, 045204 (10 pp.)
- Connolly R., Connolly M., Soon W., Legates D.R., Cionco R.G., Herrera V.M.V. Northern Hemisphere snow-cover trends (1967–2018): A comparison between climate models and observations // Geosciences. 2019. V. 9. № 135. P. 1–23.
- Estilow T.W., Young A.H., Robinson D.A. A long-term Northern Hemisphere snow cover extent data record for climate studies and monitoring // Earth Syst. Sci. Data. 2015. V. 7. P. 137–142.
- Foster J., Owe M., Rango A. Snow cover and temperature relationships in North America and Eurasia // J. Clim. Appl. Meteorol. 1983. V. 22. P. 460–469.
- Frei A., Tedesco M., Lee S. et al. A review of global satellite-derived snow products // Adv. Space Res. 2012. V. 50. P. 1007–1029.
- Groisman P.Ya. et al. Climate Changes in Siberia / In: Regional Environmental Changes in Siberia and Their Global Consequences (P.Ya. Groisman and G. Gutman eds.). Dordrecht: Springer, 2013. P. 57–109.
- Groisman P.Ya., Karl T.R., Knight R.W. Changes of snow cover, temperature, and radiative heat balance over the Northern Hemisphere // J. Climate. 1994. V. 7. P. 1633–1656.
- Mankin J.S., Diffenbaugh N.S. Influence of temperature and precipitation variability on near-term snow trends // Clim. Dyn. 2015. V. 45(3). P. 1099–1116.
- Mudryk L., Santolaria-Otin M., Krinner G., Menegos M., Derksen C., Brutel–Vuilmet C., Brady M., Essery R. Historical Northern Hemisphere snow cover trends and projected changes in the CMIP6 multi-model ensemble // The Cryosphere. 2020. V. 14. P. 2495–2514.
- Mudryk L.R., Kushner P.J., Derksen C., Thackeray C. Snow cover response to temperature in observational and climate model ensembles // Geophys. Res. Lett. 2017. V. 44. P. 919–926.
- Robinson D., Dewey K., Heim R. Global snow cover monitoring: an update // Bull. Am. Meteorol. Soc. 1993. V. 74. P. 1689–1696.
- Robinson, David A., Estilow, Thomas W., NOAA CDR Program (2012): NOAA Climate Data Record (CDR) of Northern Hemisphere (NH) Snow Cover Extent (SCE), Version 1. NOAA National Centers for Environmental Information. https://doi.org/10.7289/V5N014G9
- Santolaria-Otin M., Zolina O. Evaluation of snow cover and snow water equivalent in the continental Arctic in CMIP5 models // Clim. Dyn. 2020. V. 55. P. 2993–3016.
- Thackeray C., Fletcher C., Mudryk L., Derksen C. Quantify- ing the uncertainty in historical and future simulations of Northern Hemisphere spring snow cover. J. Climate. 2016. V. 29. P. 8647–8663. https://doi.org/10.1175/JCLI-D-16-0341.1
- Thackeray C.W., Derksen C., Fletcher C.G., Hall A. Snow and climate: Feedbacks, drivers, and indices of change // Curr. Cli. Change Rep. 2019. V. 5. P. 322–333.
Supplementary files






