Estimation of Carbon Balance in Steppe Ecosystems of Russia
- Authors: Golubyatnikov L.L.1, Kurganova I.N.2, Lopes de Gerenyu V.O.2
-
Affiliations:
- Obukhov Institute of Atmospheric Physics RAS
- Institute of Physicochemical and Biological Problems in Soil Science RAS
- Issue: Vol 59, No 1 (2023)
- Pages: 71-87
- Section: Articles
- URL: https://ogarev-online.ru/0002-3515/article/view/136908
- DOI: https://doi.org/10.31857/S0002351523010042
- EDN: https://elibrary.ru/EHIJUF
- ID: 136908
Cite item
Full Text
Abstract
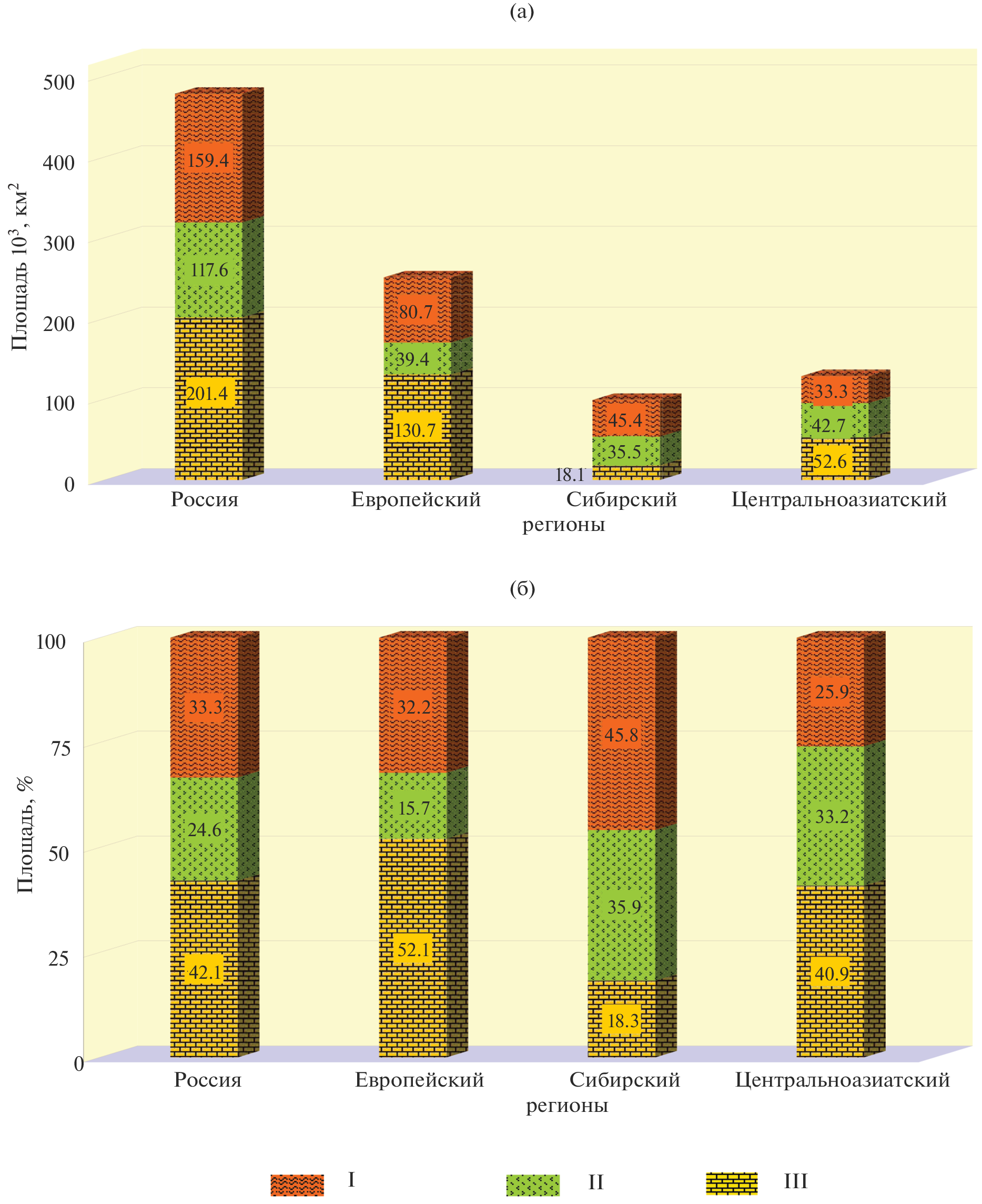
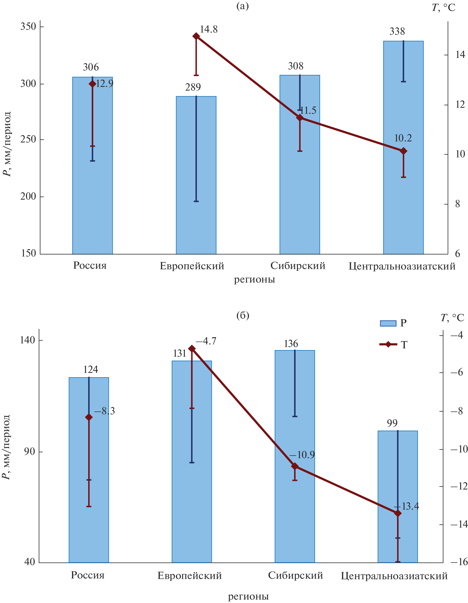
Steppe ecosystems, occupying about 8% of the terrestrial area, are an essential element of the global carbon cycle in the atmosphere–vegetation–soil system. Based on the geoinformation-analytical method, the database of empirically measured values of the net primary production and the climate-driven regression model that makes it possible to estimate the intensity of carbon dioxide flux from soils into the atmosphere, the carbon (C–СО2) balance of natural steppe ecosystems in Russia was estimated. Natural steppes in Russia serve as a significant sink of carbon dioxide from the atmosphere. The intensity of this carbon flux can be estimated as 231 ± 202 gC/m2 per year. The annual accumulation of carbon dioxide in the natural steppe ecosystems of Russia is evaluated as 111 ± 97 MtC. According to the obtained estimates, the steppe ecosystems under study provide from 8 to 19% of the atmospheric carbon sink to the terrestrial ecosystems of Russia.
About the authors
L. L. Golubyatnikov
Obukhov Institute of Atmospheric Physics RAS
Author for correspondence.
Email: golub@ifaran.ru
Russia, 119017, Moscow, Pyzhevsky per. 3
I. N. Kurganova
Institute of Physicochemical and Biological Problems in Soil Science RAS
Email: golub@ifaran.ru
Russia, 142290, Pushchino, Institutskaya st. 2
V. O. Lopes de Gerenyu
Institute of Physicochemical and Biological Problems in Soil Science RAS
Email: golub@ifaran.ru
Russia, 142290, Pushchino, Institutskaya st. 2
References
- Anav A., Friedlingstein P., Beer C. et al. Spatiotemporal patterns of terrestrial gross primary production: a review // Reviews of Geophysics. 2015. V. 53. P. 785–818.
- Joiner J., Yoshida Y., Zhang Y. et al. Estimation of terrestrial global gross primary production (GPP) with satellite data-driven models and eddy covariance flux data // Remote Sensing. 2018. V. 10. 1346.
- Badgley G., Anderegg L.D.L., Berry J.A., Field C.B. Terrestrial gross primary production: using NIRV to scale from site to globe // Global Change Biology. 2019. V. 25. P. 3731–3740.
- Ciais, P., Sabine C., Bala G. et al. Carbon and Other Biogeochemical Cycles // Climate Change 2013: The Physical Science Basis. Contribution of Working Group I to the Fifth Assessment Report of the Intergovernmental Panel on Climate Change. Cambridge: Cambridge University Press., 2013. P. 465–570.
- Randerson J.T., Chapin III F.S., Harden J.W. et al. Net ecosystem production: a comprehensive measure of net carbon accumulation by ecosystems // Ecological Applications. 2002. V. 12(4). P. 937–947.
- Голубятников Л.Л., Денисенко Е.А. Модельные оценки влияния изменений климата на ареалы зональной растительности равнинных территорий России // Изв. РАН. Сер. биологическая. 2007. № 2. С. 212–228.
- Friedlingstein P., Jones M.W., O’Sullivan M. et al. Global carbon budget 2021 // Earth Syst. Sci. Data. 2022. V. 14. P. 1917–2005.
- Harris N.L., Gibbs D.A., Baccini A. et al. Global maps of twenty-first century forest carbon fluxes // Nature Climate Change. 2021. V. 11. P. 234–240.
- Кобак К.И. Биотические компоненты углеродного цикла. Л.: Гидрометеоиздат, 1988. 248 с.
- Почвенные процессы и пространственно-временная организация почв / Под ред. Кудеярова В.Н. М.: Наука, 2006. 568 с.
- Raich J.W., Schlesinger W.H. The global carbon dioxide flux in soil respiration and its relationship to vegetation and climate // Tellus. 1992. V. B44(2). P. 81–99.
- Rustad L.E., Huntington T.G., Boone R.D. Controls on soil respiration: implications for climate change // Biogeochemistry. 2000. V. 48. P. 1–6.
- Xu M., Shang H. Contribution of soil respiration to the global carbon equation // J. Plant Physiology. 2016. V. 203. P. 16–28.
- Кудеяров В.Н. Дыхание почв и биогенный сток углекислого газа на территории России (аналитический обзор) // Почвоведение. 2018. № 6. С. 643–658.
- Bond-Lamberty B. New techniques and data for understanding the global soil respiration flux // Earth’s Future. 2018. V. 6. P. 1176–1180.
- Кудеяров В.Н., Заварзин Г.А., Благодатский С.А. и др. Пулы и потоки углерода в наземных экосистемах России. М.: Наука, 2007. 315 с.
- Reichstein M., Beer C. Soil respiration across scales: the importance of a model-data integration framework for data interpretation // J. Plant Nutrition and Soil Science. 2008. V. 171(3). P. 344–354.
- Bond-Lamberty B., Thomson A.M. A global database of soil respiration data // Biogeosciences. 2010. V. 7(6). P. 1915–1926.
- Заварзин Г.А. Лекции по природоведческой микробиологии. М.: Наука, 2004. 348 с.
- Verburg P.S.J., Arnone III J.A., Obrist D. et al. Net ecosystem carbon exchange in two experimental grassland ecosystems // Global Change Biology. 2004. V. 10. P. 498–508.
- Kim D., Lee M.-I., Seo E. Improvement of soil respiration parameterization in a dynamic global vegetation model and its impact on the simulation of terrestrial carbon fluxes // J. Climate. 2019. V. 32. P. 127–143.
- Орлов Д.С., Бирюкова О.Н., Суханова Н.И. Органическое вещество почв Российской Федерации. М.: Наука, 1996. 256 с.
- Щепащенко Д.Г., Мухортова Л.В., Швиденко А.З., Ведрова Э.Ф. Запасы органического углерода в почвах России // Почвоведение. 2013. № 2. С. 123–132.
- Mikhailova E.A., Post C.J. Organic carbon stocks in the Russian Chernozem // European Journal of Soil Science. 2006. V. 57. P. 330–336.
- Kucharik C.J., Fayram N.J., Cahill K.N. A paired study of prairie carbon stocks, fluxes, and phenology: comparing the world’s oldest prairie restoration with an adjacent remnant // Global Change Biology. 2006. V. 12. P. 122–139.
- Berhongaray G., Alvarez R., De Paepe J. et al. Land use effects on soil carbon in the Argentine Pampas // Geoderma. 2013. V. 192. P. 97–110.
- Мордкович В.Г. Степные экосистемы. Новосибирск: Академическое изд-во Гео, 2014. 170 с.
- Базилевич Н.И., Титлянова А.А. Биотический круговорот на пяти континентах: азот и зольные элементы в природных наземных экосистемах. Новосибирск: Изд-во СО РАН, 2008. 381 с.
- Чибилёв А.А. Степная Евразия: региональный обзор природного разнообразия. М., Оренбург: Институт степи РАН/РГО, 2016. 324 с.
- Кёппен В. Основы климатологии. Климаты земного шара. М.: Учпедгиз наркомпроса РСФСР, 1938. 375 с.
- Титлянова А.А., Базилевич Н.И., Шмакова Е.И. и др. Биологическая продуктивность травяных экосистем. Географические закономерности и экологические особенности. Новосибирск: ИПА СО РАН, 2018. 110 с.
- Базилевич Н.И. Биологическая продуктивность экосистем северной Евразии. М.: Наука, 1993. 294 с.
- Чибилёв А.А. Степи Северной Евразии. Екатеринбург: Уральское отд. РАН Институт степи, 1998. 102 с.
- Инвентаризация сохранившихся степных экосистем (степных массивов) России. 2016. http://savesteppe.org.
- Смелянский И. Сколько в степном регионе России залежей? // Степной бюллетень. 2012. № 36. С. 4–7.
- Титлянова А.А., Самбуу А.Д. Сукцессии в травяных экосистемах. Новосибирск: Изд-во СО РАН, 2016. 191 с.
- Люри Д.И., Горячкин С.В., Караваева Н.А. и др. Динамика сельскохозяйственных земель России в ХХ веке и постагрогенное восстановление растительности и почв. М.: ГЕОС, 2010. 416 с.
- Kurganova I., Lopes de Gerenyu V., Kuzyakov Y. Large-scale carbon sequestration in post-agrogenic ecosystems in Russia and Kazakhstan // Catena. 2015. V. 133. P. 461–466.
- Караваева Н.А., Денисенко Е.А. Постагрогенные миграционно-мицеллярные черноземы разновозрастных залежей южной лесостепи ЕТР // Почвоведение. 2009. № 10. С. 1165–1176.
- Русанов А.М., Тесля А.В. Изменение основных свойств степных черноземов как результат их постагрогенной трансформации // Вестник Оренбургского ГУ. 2012. № 6(142). С. 98–102.
- Титлянова А.А., Тесаржова М. Режимы биологического круговорота. Новосибирск: Наука, 1991. 150 с.
- Сарула, Чэнь Х., Хоу С. и др. Запасы углерода в типичной степи при различном управлении выпасом // Почвоведение. 2014. № 11. С. 1365–1374.
- Титлянова А.А., Косых Н.П., Кыргыс Ч.С. и др. Продуктивность травяных экосистем Тувы // Почвы и окружающая среда. 2020. Т. 3. № 2. e110.
- Государственный (национальный) доклад о состоянии и использовании земель в Российской Федерации в 2019 году. М.: Федеральная служба государственной регистрации, кадастра и картографии Росреестр, 2020. 206 с.
- Посевные площади Российской Федерации в 2020 году. Информационно-аналитические материалы Федеральной службы государственной статистики. http://rosstat.gov.ru/.
- Титлянова А.А. Биологический круговорот углерода в травяных биогеоценозах. Новосибирск: Наука, 1977. 219 с.
- Гаджиев И.М., Королюк А.Ю., Титлянова А.А. и др. Степи Центральной Азии. Новосибирск: Изд-во СО РАН, 2002. 299 с.
- Титлянова А.А., Косых Н.П., Миронычева-Токарева Н.П., Романова И.П. Подземные органы растений в травяных экосистемах. Новосибирск: Наука, 1996. 128 с.
- Титлянова А.А. Чистая первичная продукция травяных и болотных экосистем // Сибирский экологический журнал. 2007. № 5. С. 763–770.
- Титлянова А.А., Шибарева С.В. Новые оценки запасов фитомассы и чистая первичная продукция степных экосистем Сибири и Казахстана // Изв. РАН. Сер. географическая. 2017. № 4. С. 43–55.
- Чимитдоржиева Г.Д., Егорова Р.А., Мильхеев Е.Ю., Цыбенов Ю.Б. Потоки углерода в степных экосистемах (на примере Южного Забайкалья) // Растительный мир Азиатской России. 2010. № 2(6). С. 33–39.
- Самбуу А.Д. Изменение чистой первичной продукции экосистем Тувы в связи с различным использованием земель // Вестник ТГУ. 2010. № 339. С. 172–177.
- Golubyatnikov L.L., Denisenko E.A., Svirezhev Yu.M. Model of the total exchange carbon flux for terrestrial ecosystems // Ecological Modelling. 1998. V. 108. P. 265–276.
- Raich J.W., Potter C.S., Bhagawatti D. Interannual variability in global soil respiration, 1980-94 // Global Change Biology. 2002. V. 8. P. 800–812.
- Team, R Core. R: A language and environment for statistical computing. Vienna, Austria: R Foundation for Statistical Computing, 2020. https://www.R-project.org/.
- Kurganova I.N. Carbon dioxide emission from soils of Russian terrestrial ecosystems. Interim Report, IR-02-070. Laxenburg, Austria: IIASA, 2003. 64 p.
- Murray-Smith D.J. Methods for the external validation of continuous system simulation models: a review // Mathematical and Computer Modelling of Dynamical Systems. 1998. V. 4. P. 5–31.
- Decostere B., De Craene J., Van Hoey S. et al. Validation of a microalgal growth model accounting with inorganic carbon and nutrient kinetics for wastewater treatment // Chemical Engineering Journal. 2016. V. 285. P. 189–197.
- Швиденко А.З., Щепащенко Д.Г. Углеродный бюджет лесов России // Сибирский лесной журнал. 2014. № 1. С. 69–92.
- Ведрова Э.Ф. Биогенные потоки углерода в бореальных лесах Центральной Сибири // Изв. РАН. Сер. биологическая. 2011. № 1. С. 77–89.
- Осипов А.Ф. Влияние межгодовых различий метеорологических характеристик вегетационного периода на эмиссию СО2 с поверхности почвы среднетаежного сосняка бруснично-лишайникового (Республика Коми) // Почвоведение. 2018. № 12. С. 1455–1463.
- Махныкина А.В., Прокушкин А.С., Меняйло О.В. и др. Влияние климатических факторов на эмиссию СО2 из почв в среднетаежных лесах Центральной Сибири: эмиссия как функция температуры и влажности почвы // Экология. 2020. № 1. С. 51–61.
- Алферов А.М., Блинов В.Г., Гитарский М.Л. и др. Мониторинг потоков парниковых газов в природных экосистемах. Саратов: Амирит, 2017. 279 с.
- Егоров В.П., Кривонос Л.A. Биологическая активность черноземов в агроценозах Курганской области // Почвы Западной Сибири и повышение их биологической активности. Омск: Изд-во ОмСХИ, 1983. С. 8–14.
- Sarzhanov D.A., Vasenev V.I., Vasenev I.I. et al. Carbon stocks and CO2 emissions of urban and natural soils in Central Chernozemic region of Russia // Catena. 2017. V. 158. P. 131–141.
- Курганова И.Н., Лопес де Гереню В.О., Жиенгалиев А.Т., Кудеяров В.Н. Углеродный бюджет степных экосистем России // Доклады АН. 2019. Т. 485. № 6. С. 732–735.
- Mukhortova L., Schepaschenko D., Moltchanova E. et al. Respiration of Russian soils: climatic drivers and response to climate change // Science of the Total Environment. 2021. V. 785. 147314.
- Craine F.M., Wedin D.A., Chapin III F.S. Predominance of ecophysiological controls on soil CO2 flux in a Minnesota grassland // Plant Soil. 1999. V. 207. P. 77–86.
- Buyanovsky G.A., Kucera C.L., Wagner G.H. Comparative analyses of carbon dynamics in native and cultivated ecosystems // Ecology. 1987. V. 68. P. 2023–2031.
- Gavrichkova O. Drivers of soil respiration of root and microbial origin in grasslands. Ph.D. thesis. Viterbo, Italy: University of Tuscia, 2009. 166 p.
- Subke J.-A., Inglima I., Cotrufo M.F. Trends and methodological impacts in soil CO2 efflux partitioning: a metaanalytical review // Global Change Biology. 2006. V. 12. P. 921–943.
- Ананьева Н.Д., Сушко С.В., Иващенко К.В., Васенев В.И. Микробное дыхание почв подтайги и лесостепи европейской части России: полевой и лабораторный подходы // Почвоведение. 2020. № 10. С. 1276–1286.
- Stolbovoi V. Soil respiration and its role in Russia’s terrestrial C flux balance for the Kyoto baseline year // Tellus. 2003. V. B55. P. 258–269.
- Perez-Quezada J.F., Saliendra N.Z., Akshalov K. et al. Land use influences carbon fluxes in northern Kazakhstan // Rangeland Ecology and Management. 2010. V. 63. P. 82–93.
- Frank A.B., Dugas W.A. Carbon dioxide fluxes over a northern semiarid, mixed-grass prairie // Agriculture Forestry Meteorology. 2001. V. 108. P. 317–326.
- Gilmanov T.G., Morgan J.F., Hanan N.P. et al. Productivity and CO2 exchange of Great Plains Ecoregions. I. Shortgrass steppe: flux tower estimates // Rangeland Ecology and Management. 2017. V. 70. P. 700–717.
- Gilmanov T.G., Svejcar T.J., Johnson D.A. et al. Long-term dynamics of production, respiration, and net CO2 exchange in two sagebrush-steppe ecosystems // Rangeland Ecology and Management. 2006. V. 59. P. 585–599.
- Belelli-Marchesini L. Analysis of the carbon cycle of steppe and old field ecosystems of Central Asia. Ph.D. thesis. Viterbo, Italy: University of Tuscia, 2007. 212 p.
- Frank A.B. Carbon dioxide fluxes over a grazed prairie and seeded pasture in the northern Great Plains // Environmental Pollution. 2002. V. 116. P. 397–403.
- Virkkala A.-M., Aalto J., Rogers B.M. et al. Statistical upscaling of ecosystem CO2 fluxes across the terrestrial tundra and boreal domain: regional patterns and uncertainties // Global Change Biology. 2021. V. 27. P. 4040–4059.
- Marushchak M.E., Kiepe I., Biasi C. et al. Carbon dioxide balance of subarctic tundra from plot to regional scales // Biogeosciences. 2013. V. 10(1). P. 437–452.
- Русанов А.М. Естественное восстановление агроландшафтов степной и лесостепной зон Оренбургской области // Степной бюллетень. 2012. № 36. С. 8–12.
- Титлянова А.А., Шибарева С.В. Изменение чистой первичной продукции и восстановление запасов углерода в почвах залежей // Почвоведение. 2022. № 4. С. 500–510.
- Карелин Д.В., Люри Д.И., Горячкин С.В. и др. Изменение почвенной эмиссии диоксида углерода в ходе постагрогенной сукцессии в черноземной лесостепи // Почвоведение. 2015. № 11. С. 1354–1366.
- Замолодчиков Д.Г., Грабовский В.И., Коровин Г.Н. и др. Бюджет углерода управляемых лесов Российской Федерации в 1990–2050 гг.: ретроспективная оценка и прогноз // Метеорология и гидрология. 2013. № 10. С. 73–94.
- Филипчук А.Н., Малышева Н.В., Золина Т.А., Югов А.Н. Бореальные леса России: возможности для смягчения изменения климата // Лесохозяйственная информация: электронный сетевой журнал. 2020. № 1. С. 92–114. http://lhi.vniilm.ru.
- Ciais P., Canadell J.G., Luyssaert S. et al. Can we reconcile atmospheric estimates of Northern terrestrial carbon sink with land-based accounting? // Curr. Opin. Environ. Sustain. 2010. V. 2. P. 225–230.
- Kurganova I.N., Kudeayrov V.N., Lopes de Gerenyu V.O. Updated estimate of carbon balance on Russian territory // Tellus. 2010. V. B62. P. 497–505.
- Dolman H., Shvidenko A.Z., Schepaschenko D.G. et al. An estimate of the terrestrial carbon budget of Russia using inventory based, eddy covariance and inversion methods // Biogeosciences. 2012. V. 9. P. 5323–5340.
- Li S.G., Asanuma J., Eugster W. et al. Net ecosystem carbon dioxide exchange over grazed steppe in central Mongolia // Global Change Biology. 2005. V. 11. P. 1941–1955.
- Nagy Z., Pinter K., Czobel Sz. et al. The carbon budget of semi-arid grassland in a wet and a dry year in Hungary // Agriculture, Ecosystems and Environment. 2007. V. 121. P. 21–29.
- Gilmanov T.G., Wylie B.K., Tieszen L.L. et al. CO2 uptake and ecophysiological parameters of the grain crops of midcontinent North America: estimates from flux tower measurements // Agriculture, Ecosystems and Environment. 2013. V. 164. P. 162–175.
- Gilmanov T.G., Verma S.B., Sims P.L. et al. Gross primary production and light response parameters of four Southern Plains ecosystems estimated using long-term CO2-flux tower measurements // Global Biogeochemical Cycles. 2003. V. 17(2). 1071.
- Suyker A.E., Verma S.B. Year-round observations of the net ecosystem exchange of carbon dioxide in a native tallgrass prairie // Global Change Biology. 2001. V. 7. P. 279–289.
Supplementary files






