Особенности роста кристаллов Cd3As2 методом вертикального парогазового транспорта и их свойства
- Autores: Нечушкин Ю.Б.1,2, Риль А.И.2, Овешников Л.Н.3, Давыдов А.Б.3, Васильев М.Г.2, Маренкин С.Ф.2
-
Afiliações:
- Национальный исследовательский технологический университет “МИСИС”
- Институт общей и неорганической химии им. Н. С. Курнакова Российской академии наук
- Физический институт им. П. Н. Лебедева Российской академии наук
- Edição: Volume 60, Nº 9-10 (2024)
- Páginas: 1082-1092
- Seção: Articles
- URL: https://ogarev-online.ru/0002-337X/article/view/291639
- DOI: https://doi.org/10.31857/S0002337X24090026
- EDN: https://elibrary.ru/LMMTSU
- ID: 291639
Citar
Texto integral
Resumo
Методом химических транспортных реакций с использованием вертикального варианта массопереноса выращены игольчатые, ограненные пластинчатые и рекордные по массе (до 25 г) и размерам объемные кристаллы Cd3As2. Расчеты массопереноса и скоростей роста на основе данных по парциальным давлениям паров Cd и As4 использовались для оптимизации эксперимента. Качество кристаллов контролировали с помощью рентгеновского анализа. На монокристаллах выполнены комплексные исследования магнитотранспортных свойств в диапазоне температур 80–300 К и в магнитных полях до 1 Тл. Показано, что синтезированные кристаллы Cd3As2 характеризуются металлическим характером температурной зависимости сопротивления и выраженным линейным вкладом в магнетосопротивление, амплитуда которого достигает 135%/Тл при Т = 80 К. При этом концентрация носителей заряда, определенная из эффекта Холла, оказалась заметно ниже типичных значений для поликристаллов Cd3As2. Линейный характер зависимости сопротивления от магнитного поля и значительная величина амплитуды данного эффекта представляют практический интерес для использования кристаллов Cd3As2 в качестве материалов магнитных сенсоров.
Palavras-chave
Texto integral
Введение
В последние годы наблюдается повышенный интерес к арсениду кадмия Cd3As2, а также тонким пленкам и сплавам на его основе [1], ввиду его уникальных электронных свойств. Первоначально это соединение рассматривалось как узкозонный полупроводник c аномально высокой подвижностью носителей заряда [2, 3]. Начиная с 2013 года в работах по теоретическим расчетам зонной структуры Cd3As2 было показано, что это соединение является дираковским полуметаллом, 3D-аналогом графена [4–7]. Теоретические работы стимулировали экспериментальные исследования электронных, транспортных и оптических свойств Cd3As2 [8–16], в рамках которых, в частности, были отмечены высокие характерные амплитуды магнетосопротивления и обнаружена низкотемпературная сверхпроводимость. Для исследования указанных свойств важными факторами являются однородность, минимальная пористость и бездефектность кристаллов, что, как правило, достигается при выращивании монокристаллов большого объема [17, 18]. Из методов получения монокристаллов Cd3As2 наиболее практичными являются методы получения из газовой фазы [19–23]. Получению монокристаллов из расплавов мешает значительное количество структурных превращений, согласно фазовой диаграмме Cd–As, при повышении температуры происходят следующие переходы между полиморфными модификациями: α-Cd3As2–α’-Cd3As2–α”-Cd3As2–β-Cd3As2 [19, 24, 25]. Для Cd3As2 имеет место реакция термической диссоциации [26–28]
(1)
Конгруэнтный характер диссоциации во многом определил выбор методики роста монокристаллов Cd3As2 – метод химических транспортных реакций. В работах по росту монокристаллов в основном использовали горизонтальный вариант метода химических транспортных реакций. Этим методом были выращены игольчатые, ограненные пластинчатые и объемные монокристаллы с максимальными размерами 7–10 мм [29]. При вертикальном массопереносе из-за меньшего радиального температурного градиента в ростовых ампулах увеличивается стабилизация транспортных потоков, возрастает стационарность процесса роста, что позволяет получать крупные объемные монокристаллы.
Цель работы – выращивание кристаллов Cd3As2 методом химических транспортных реакций в вертикальном варианте и исследование их свойств.
Экспериментальная часть
Рентгенофазовый анализ проводился на дифрактометре Bruker D8 Advance (CuKα-излучение, λ = 0.1541 нм, U = 40 кВ, I = 40 мА) в ЦКП ФМИ ИОНХ РАН. Рентгенограммы были получены в диапазоне углов от 10° до 75° с шагом 0.02° и выдержкой 1 с. Для обработки полученных рентгенограмм использовалось стандартное программное обеспечение дифрактометра (Diffrac.Suits software). Идентификация и анализ осуществлялись в программной среде Diffrac.SuiteEVA с использованием базы данных порошковой дифракции ICDD PDF-2.
Магнетотранспортные исследования проводились на постоянном токе на установке на базе электромагнита с максимальным полем 0.95 Тл и контролируемой разверткой. Образец монтировался на держатель, контакты к образцу делались посредством пайки. Держатель с образцом помещался в вакуумную вставку и охлаждался внешней емкостью с жидким азотом, что позволило провести измерения в диапазоне температур 80–300 К. Измерения проводились по стандартной четырехконтактной схеме с коммутацией измерительного тока через образец. Представленные данные были получены путем усреднения кривых для двух полярностей измерительного тока. Полевые зависимости продольного и холловского сопротивлений были симметризованы по полю для исключения паразитных вкладов, связанных с неидеальным расположением контактов.
Расчет скорости роста кристаллов
Для оптимизации технологических режимов был проведен расчет скоростей роста монокристаллов Cd3As2 по уравнениям Ленгмюра для молекулярных режимов переноса:
(2)
(3)
где M – молярная масса [г/см3], j – плотность потока пара [моль/(см2 с)], Fисп – площадь испарения [см2], L – среднее расстояние между областями испарения и конденсации паров [см], R – универсальная газовая постоянная. Скорость роста Wроста определяли по формуле
. (4)
Соответственно, плотность потоков испарения jисп определяли по уравнению (2), плотность потоков конденсации jконд – по уравнению (3). Данные по парциальным давлениям pпарц паров Cd и As4 были взяты из работы [30], в которой парциальные давления были измерены в интервале температур 560–840°С двумя независимыми методами: изотенископическим и с помощью манометра Бурдона. Константы испарения αисп и конденсации αконд были взяты равными 0.8 и 1.0 соответственно. Размер Fисп соответствовал площади поперечного сечения ростовой ампулы диаметром 2 см, а расстояние L взято равным среднему экспериментальному значению 8 см. Плотность Cd3As2 приняли ρ = 6.21 г/см3.
Результат расчета зависимости скорости роста от температуры испарения в диапазоне от 400 до 850°С представлен на рис. 1 черной сплошной линией. Ввиду того, что зоны конденсации паров имели достаточно высокие температуры, в расчетах также учитывался процесс испарения в горячей (“Испарение” на рис. 1) и в холодной (“Реиспарение” на рис. 1) зонах. На кривой красными кружками и синими квадратами обозначены скорости роста при температурах горячей и холодной зон соответственно, достигнутые в ходе экспериментов (табл. 1).
Таблица 1. Технологические режимы синтеза кристаллов Cd3As2
Эксперимент | Масса, г | t °С tисп, С | tконд, С | tград, °С/см | Время синтеза, ч | Скорость роста, нм/с | |
теор. | эксп. | ||||||
1 | 19.57 | 659 | 603 | 9.93 | 100 | 4.50 | 4.64 |
2 | 20.01 | 613 | 434 | 10.29 | 100 | 5.99 | 4.74 |
3 | 24.94 | 585 | 528 | 6.70 | 350 | 2.23 | 3.43 |
4 | 25.00 | 680 | 535 | 13.88 | 110 | 10.01 | 10.95 |
Рис. 1. Результаты расчетов скорости роста кристаллов Cd3As2 и сравнение с экспериментальными данными.
Температура холодной зоны конденсации кристалла в ходе экспериментов достигала температур от 434 до 603°С. В подобном методе роста кристаллов скорость испарения вещества в холодной области (реиспарение) существенным образом влияла на скорость роста и общее время синтеза кристаллов. Для всей серии экспериментов теоретическая скорость роста кристаллов рассчитывалась в виде разности скоростей испарения в горячей и холодной зонах ампулы. На вставке к рис. 1 фиолетовыми квадратами обозначены результирующие скорости роста кристаллов на основе расчетов, проведенных по вышеуказанному алгоритму, зелеными кружками представлены фактические значения скорости, полученные в ходе экспериментов.
Результаты теоретических расчетов и фактические значения представлены в табл. 1. Хорошее совпадение расчетных и экспериментальных данных позволяло использовать данные расчета для оптимизации процессов получения монокристаллов.
Результаты эксперимента
Выращивание монокристаллов проводили из предварительно синтезированного поликристаллического Cd3As2, полученного, согласно методике [31, 32], сплавлением высокочистых элементов кадмия и мышьяка, взятых в стехиометрическом соотношении. Идентификацию синтезированных слитков проводили с помощью рентгенофазового анализа (РФА). На рис. 2а и 2б представлены внешний вид синтезированного слитка и его порошковая рентгенограмма соответственно. Слиток имел высокую плотность и минимальную пористость. На рентгенограмме наблюдаются 30 пиков, соответствующих только фазе α-Cd3As2 (ICDD PDF-2 [01-089-2239], пр. гр. I41cd).
Рис. 2. Внешний вид (а) и порошковая рентгенограмма (б) синтезированного поликристаллического слитка Cd3As2.
В отличие от обычного горизонтального метода химических транспортных реакций [17], для роста монокристаллов Cd3As2 использовали вертикальный вариант метода. Рост проводили в кварцевых ампулах с конусом в зоне конденсации. Такая форма ампулы минимизировала процесс зародышеобразования. Диаметр ампул составлял 2 см, общая длина 12–15 см. Технические режимы и данные по экспериментальным и расчетным скоростям роста представлены в табл. 1. Проведены четыре разных эксперимента при различных температурах зон испарения и конденсации.
В эксперименте 1 температуры зоны испарения tисп, зоны конденсации tконд и температурный градиент tград составляли 659°С, 603°С и 9.93°С/см соответственно. Общее время эксперимента составило 220 ч, из которых 100 ч ампула находилась при заданном градиенте температур (табл. 1). При этом значительную часть общего времени занимал отжиг полученных кристаллов. Использование низкой скорости охлаждения обеспечивало уменьшение термического напряжения, что улучшало структурное совершенство кристаллов. В результате эксперимента 1 были получены кристаллы игольчатого вида с гранями, соответствующими плоскостям (100), и с направлением роста, ориентированным вдоль кристаллографической оси с. Соответствующие данные представлены на рис. 3. Важно отметить, что для исследуемых кристаллов дифрактограммы были получены с объемных образцов, а не с порошка.
Рис. 3. Внешний вид игольчатого кристалла с ограненной плоскостью (100), с направлением роста вдоль оси с (а); рентгенограмма, полученная с верхней грани (б).
Эксперимент 2 проводился с увеличенной плотностью потока испарения, определяемого большим значением температурного градиента – 10.29°С/см. В результате были получены более крупные игольчато-пластинчатые ограненные кристаллы. Внешний вид и рентгенограмма, полученная с одной из граней образца, представлены на рис. 4. Положительным результатом этого эксперимента являлось увеличение характерных размеров кристаллов и появление более ярко выраженных ограненных поверхностей.
Рис. 4. Внешний вид игольчато-пластинчатого кристалла (а); рентгенограмма, полученная с верхней грани (б).
Эксперимент 3 проводился в существенно отличных технологических условиях. Так, масса шихты была увеличена до 24.94 г, а температура горячей зоны tисп была минимальной в рамках данной работы. При этом также был уменьшен температурный градиент, составивший 6.7°С/см, а время роста увеличено до 350 ч, согласно расчетам по данным массопереноса. Однако при этих технологических условиях не удалось получить единый монокристалл: в результате были получены хорошо ограненные пластинчатые монокристаллы размерами до 5 мм. Внешний вид и рентгенограмма этих кристаллов представлены на рис. 5.
Рис. 5. Внешний вид пластинчатого ограненного монокристалла (а); рентгенограмма, полученная с верхней грани (б).
Единый объемный монокристалл с Cd3As2 рекордными значениями по массе (25 г) и объему был получен при технологических условиях эксперимента 4. Форма кристалла повторяла форму ампулы. Внешний вид и рентгенограмма этого кристалла, снятая для спила в произвольной плоскости, представлены на рис. 6.
Рис. 6. Внешний вид объемного кристалла (а); рентгенограмма, полученная с поперечного спила (б).
Результаты эксперимента
Анализ рентгенограмм на рис. 3–6 показал, что все различимые пики являлись четкими и узкими, что свидетельствует о высоком структурном совершенстве полученных кристаллов.
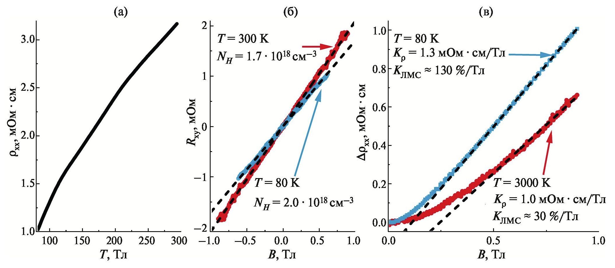
Из кристалла, синтезированного в эксперименте 4, были подготовлены образцы для исследования транспортных и магнетотранспортных свойств. На рис. 7а представлена температурная зависимость удельного сопротивления образца. Видно, что зависимость имеет выраженный металлический характер, при охлаждении сопротивление образца уменьшается более чем в 3 раза: с 3.2 мОм см при 300 К до 1.0 мОм см при 80 К. Такие результаты хорошо соотносятся с данными [9, 33] для кристаллов Cd3As2.
Рис. 7. Температурная зависимость удельного сопротивления кристалла, синтезированного в эксперименте 4 (а); полевые зависимости холловского (б) и продольного (в) сопротивлений кристалла при температурах 300 и 80 К (черными штрихпунктирными линиями показаны линейные аппроксимации данных, соответствующие параметры приведены на рис. (б) и (в)).
На рис. 7б представлены полевые зависимости холловского сопротивления при температурах 300 и 80 К. Зависимости являются линейными, что предполагает отсутствие нескольких групп носителей заряда с различными подвижностями. Из полученного графика по линейному наклону были оценены значения холловских концентраций электронов NH, представленные на рис. 7б. Видно, что охлаждение до азотной температуры приводит к довольно незначительному росту концентрации носителей заряда (примерно на 20%). Такое поведение может быть связано с небольшой вариацией зонной структуры ввиду сжатия кристаллической решетки при охлаждении; похожий тренд наблюдался, в частности, в ферромагнитном полуметалле MnSb [34] и композитах на его основе [35]. В целом полученное значение NH сопоставимо с данными [22, 36] для Cd3As2 и даже несколько ниже, чем в поликристалле Cd3As2, синтезированном ранее [33], а также с данными для кристаллов, полученных из газовой фазы [9], что, в принципе, указывает на меньшую плотность заряженных дефектов в исследуемом образце. Расчетные значения холловской подвижности оказываются в диапазоне 1100–3200 см2/(В с), что заметно ниже типичных значений и может указывать на неравномерное растекание тока в образце.
На рис. 7в представлены полевые зависимости амплитуды изменения продольного сопротивления исследуемого кристалла . Отчетливо виден монотонный характер магнетосопротивления положительного знака. При этом в области слабых полей вид зависимости напоминает классическую квадратичную форму, тогда как в более высоких полях характер становится выраженно линейным. Линейное магнетосопротивление (ЛМС) часто наблюдалось в кристаллах Cd3As2 [9, 36] и других топологических материалах, в частности в топологических изоляторах [37, 38]. В общем случае ЛМС может возникать ввиду наличия микроскопических пространственных флуктуаций подвижности электронов в системе (модель Париша–Литлвуда [39, 40]), достижения ультраквантового предела (модель Абрикосова [41, 42]) либо за счет гофрировки открытой поверхности Ферми в материале (модель Капицы [43, 44]). Существуют также более специфические модели для топологических материалов [45, 46], в частности, связывающие высокую амплитуду эффекта с подавлением топологической защиты нетривиальных состояний в Cd3As2 внешним магнитным полем [9]. Тем не менее единое мнение о причинах возникновения ЛМС в Cd3As2 на данный момент отсутствует. В частности, нет единого мнения о том, как правильно сравнивать амплитуду эффекта – в относительных или абсолютных единицах. В нашем случае видно (рис. 7в), что абсолютная амплитуда наблюдаемого ЛМС Kρ (то есть линейный наклон зависимости в единицах сопротивления) при охлаждении увеличивается всего на 30%, тогда как относительная амплитуда эффекта KЛМС (то есть линейный наклон зависимости магнетосопротивления ) в аналогичном температурном диапазоне увеличивается более чем в 4 раза. Тем не менее амплитуда наблюдаемого ЛМС хорошо согласуется с данными [9, 33, 36] для Cd3As2.
Заключение
В ходе проделанной работы отработана технология получения монокристаллов Cd3As2 методом вертикального химического газового транспорта. В работе представлены результаты расчета скорости роста кристаллов на основе термодинамических свойств Cd3As2, что было использовано при выборе оптимальных технологических условий для проведения экспериментов. Показано хорошее согласие расчета с экспериментальными данными.
Установлено, что для получения цельного кристалла арсенида кадмия необходимы разница в температурах зон испарения и конденсации не менее 220°С и достаточная масса прекурсора (25 г). Методом РФА показано высокое структурное совершенство полученных образцов. На основании анализа магнетотранспортных исследований показано, что кристаллы, выращенные методом вертикальных химических транспортных реакций, демонстрируют типичное поведение для кристаллов Cd3As2, зависимость удельного сопротивления образца имеет выраженный металлический характер. При охлаждении сопротивление образца уменьшалось более чем в 3 раза: с 3.2 мОм см (Т = 300 К) до 1.0 мОм см (Т = 80 К). Кривые магнетосопротивления показали наличие выраженного линейного вклада высокой амплитуды – 135%/Тл (Т = 80 К) и 45%/Тл (Т = 300 К). Малые значения холловских концентраций электронов NH = 1.7 × 1018 см–3 (Т = 300 К) и 2.0 × 1018 см–3 (Т = 80 К) указывают на небольшую плотность заряженных дефектов в исследуемом образце.
Полученные результаты вносят вклад в дальнейшее развитие технологии синтеза объемных кристаллов из газовой фазы, что представляет практический интерес при использовании кристаллов Cd3As2 в качестве магнитных сенсоров [47].
Благодарность
Рентгенофазовый анализ проводился на оборудовании ЦКП ФМИ ИОНХ РАН.
Финансирование работы
Исследования выполнены при финансовой поддержке гранта Российского научного фонда № 21-73-20220.
Sobre autores
Ю. Нечушкин
Национальный исследовательский технологический университет “МИСИС”; Институт общей и неорганической химии им. Н. С. Курнакова Российской академии наук
Autor responsável pela correspondência
Email: u.nechushkin@mail.ru
Scopus Author ID: u.nechushkin@mail.ru
Rússia, Ленинский пр., 4, Москва, 119049; Ленинский пр., 31, Москва, 119991
А. Риль
Институт общей и неорганической химии им. Н. С. Курнакова Российской академии наук
Email: u.nechushkin@mail.ru
Rússia, Ленинский пр., 31, Москва, 119991
Л. Овешников
Физический институт им. П. Н. Лебедева Российской академии наук
Email: u.nechushkin@mail.ru
Rússia, Ленинский пр., 53, Москва, 119991
А. Давыдов
Физический институт им. П. Н. Лебедева Российской академии наук
Email: u.nechushkin@mail.ru
Rússia, Ленинский пр., 53, Москва, 119991
М. Васильев
Институт общей и неорганической химии им. Н. С. Курнакова Российской академии наук
Email: u.nechushkin@mail.ru
Rússia, Ленинский пр., 31, Москва, 119991
С. Маренкин
Институт общей и неорганической химии им. Н. С. Курнакова Российской академии наук
Email: u.nechushkin@mail.ru
Rússia, Ленинский пр., 31, Москва, 119991
Bibliografia
- Ril’ A.I., Marenkin S.F. Cadmium Arsenides: Structure, Synthesis of Bulk and Film Crystals, Magnetic and Electrical Properties (Review) // Russ. J. Inorg. Chem. 2021. V. 66. № 14. P. 2005–2016. https://doi.org/10.1134/S0036023621140059
- Turner W., Fischer A., Reese W. Physical Properties of Several II–V Semiconductors // Phys. Rev. 1961. V. 121. № 3. P. 759–767. https://doi.org/10.1103/PhysRev.121.759
- Sreedhar A. Electrical Properties of the Solid Solution System Cd3As2+Zn3As2 // IETE J. Res. 2015. P. 268–270. https://doi.org/10.1080/03772063.1963.11486457
- Yu W., Rademacher D., Valdez N., Rodriguez M., Nenoff T., Pan W. Evidence of decoupling of surface and bulk states in Dirac semimetal Cd3As2 // Nanotechnology. 2022. V. 33. № 41. P. 415002. https://doi.org/10.1088/1361-6528/ac7c25
- Шелкачев Н.М., Яржемский В.Г. Влияние кристаллической структуры и примесей 3d-элементов на электронное строение топологического материала Cd3As2 // Неорган. материалы. 2018. Т. 54. № 11. С. 1157–1162. https://doi.org/10.1134/S0002337X18110118
- Wang Z., Weng H., Wu Q., Dai X., Fang Z. Three-dimensional Dirac semimetal and quantum transport in Cd3As2 // Phys. Rev. B. 2013. V. 88. P. 125427. https://doi.org/10.1103/PhysRevB.88.125427
- Yi H., Wang Z., Chen C., Shi Y., Feng Y., Liang A., Xie Z., He S., He J., Peng Y., Liu X., Liu Y., Zhao L., Liu G., Dong X., Zhang J., Nakatake M., Arita M., Shimada K., Namatame H., Taniguchi M., Xu Z., Chen C., Dai X., Fang Z., Zhou X. Evidence of Topological Surface State in Three-Dimensional Dirac Semimetal Cd3As2 // Sci. Rep. 2014. V. 4. P. 6106. https://doi.org/10.1038/srep06106
- Crassee I., Sankar R., Lee W., Akrap A., Orlita M. 3D Dirac semimetal Cd3As2: A review of material properties // Phys. Rev. Mater. 2018. V. 2. № 12. P. 120302. https://doi.org/10.1103/physrevmaterials.2.120302
- Liang T., Gibson Q., Ali M., Liu M., Cava R., Ong N. Ultrahigh mobility and giant magnetoresistance in the Dirac semimetal Cd3As2 // Nat. Mater. 2014. V. 14. № 3. P. 280–284. https://doi.org/10.1038/nmat4143
- Oveshnikov L.N., Davydov A.B., Suslov A.V., Ril A.I., Marenkin S.F., Vasiliev A.L., Aronzon B.A. Superconductivity and Shubnikov– de Haas effect in polycrystalline Cd3As2 thin films // Sci. Rep. 2020. V. 10. № 1. P. 4601. https://doi.org/10.1038/s41598-020-61376-6
- Saypulaeva L.A., Gadzhialiev M.M., Alibekov A.G., Melnikova N.V., Zakhvalinskii V.S., Ril’ A.I., Marenkin S.F., Efendieva T.N., Fedorchenko I.V., Mollaev A.Yu. Effect of Hydrostatic Pressures of up to 9 GPa on the Galvanomagnetic Properties of Cd3As2–MnAs (20 mol% MnAs) Alloy in a Transverse Magnetic Field // Inorg. Mater. 2019. V. 55. P. 873–878. https://doi.org/10.1134/S0020168519090152
- Kochura A.V., Zakhvalinskii V.S., Htet A.Z., Ril’ A.I., Pilyuk E.A., Kuz’menko A.P., Aronzon B.A., Marenkin S.F. Growth of Thin Cadmium Arsenide Films by Magnetron Sputtering and Their Structure // Inorg. Mater. 2019. V. 55. P. 879–886. https://doi.org/10.1134/S002016851909005X
- Shoron O.F., Kealhofer D.A., Goyal M., Schumann T., Burkov A.A., Stemmer S. Detecting topological phase transitions in cadmium arsenide films via the transverse magnetoresistance // Appl. Phys. Lett. 2021. V. 119. P. 171907. https://doi.org/10.1063/5.0066252
- Kulatov E., Uspenskii Y., Oveshnikov L., Mekhiya A., Davydov A., Ril A., Marenkin S., Aronzon B. Electronic, magnetic and magnetotransport properties of Mn-doped Dirac semimetal Cd3As2 // Acta Mater. 2021. V. 219. P. 117249. https://doi.org/10.1016/j.actamat.2021.117249
- Conte A.M. Electronic and optical properties of topological semimetal Cd3As2 // Sci. Rep. 2017. V. 7. P. 45500. https://doi.org/10.1038/srep45500
- Zhou R., Ullah K., Hussain N., Fadhali M.M., Yang S., Lin Q., Zubair M., Iqbal M.F. Recent advances in photonics of three-dimensional Dirac semimetal Cd3As2 // Adv. Photonics Nexus. 2022. V. 1. P. 024001. https://doi.org/10.1117/1.APN.1.2.024001
- Lovett D. The growth and electrical properties of single crystal Cd3As2 platelets // J. Mater. Sci. 1972. V. 7. P. 388–392. https://doi.org/10.1007/BF00553761
- Feng J., Pang Y., Wu D., Wang Z., Weng H., Li J., Dai X., Fang Z., Shi Y., Lu L. Large linear magnetoresistance in Dirac semimetal Cd3As2 with Fermi surfaces close to the Dirac points // Phys. Rev. B: Condens. Matter. 2015. V. 92. № 8. P. 081306(R). https://doi.org/10.1103/physrevb.92.081306
- Маренкин С.Ф., Трухан В.М. Фосфиды, арсениды цинка и кадмия. Минск: Вараскин А.Н., 2010. 224 с.
- Sierański K., Szatkowski J., Misiewicz J. Semiempirical tight-binding band structure of II3V2 // Phys. Rev. B: Condens. Matter. 1994. V. 50. № 11. P. 7331–7337. https://doi.org/10.1103/physrevb.50.7331
- Sexer N. Sur quelques propriétés de Cd3As2 // J. Phys. Radium. 1961. V. 22. № 12. P. 807–810. https://doi.org/10.1051/jphysrad:0196100220 12080700
- Rosenman I. Effet Shubnikov de Haas dans Cd3As2: Forme de la surface de Fermi et modèle non parabolique de la bande de conduction // J. Phys. Chem. Solids. 1969. V. 30. № 6. P. 1385–1402. https://doi.org/10.1016/0022-3697(69)90200-5
- Kochura A.V., Oveshnikov L.N., Kuzmenko A.P., Davydov A.B., Gavrilkin S.Yu., Zakhvalinskii V.S., Kulbachinskii V.A., Khokhlov N.A., Aronzon B.A. Vapor-Phase Synthesis and Magnetoresistance of (Cd0.993Zn0.007)3As2 Single Crystals // JETP Lett. 2019. V. 109. № 3. P. 175–179. https://doi.org/10.1134/S0021364019030019
- Лазарев В.Б., Шевченко В.Я., Гринберг Я.Х., Соболев В.В. Полупроводниковые соединения группы AIIBV. М.: Наука, 1978. 256 с.
- Arushanov E.K. Crystal Growth and Characterization of II3V2 Compounds // Prog. Cryst. Growth Charact. 1981. V. 3. P. 211–255. https://doi.org/10.1016/0146-3535(80)90020-9
- Ril’ A.I., Marenkin S.F. Physicochemical Foundations of Modern Materials Science of Cadmium Arsenides (Review) // Russ. J. Inorg. Chem. 2022. V. 67. P. 2113–2126. https://doi.org/10.1134/S0036023622601684
- Silvey G., Lyons V., Silvestri V. The preparation and properties of some II–V semiconducting compounds // J. Electrochem. Soc. 1961. V. 108. № 7. P. 653–658. https://doi.org/10.1149/1.2428183
- Jayaraman A., Anantharaman T., Klement W. Melting and polymorphism of Zn3As2 and Cd3As2 at high pressures // J. Phys. Chem. Solids. 1966. V. 27. № 10. P. 1605–1609. https://doi.org/10.1016/0022-3697(66)90239-3
- Sankar R., Neupane M., Xu S., Butler C., Zeljkovic I., Muthuselvam I., Huang F., Guo S., Karna S., Chu M., Lee W., Lin M., Jayavel R., Madhavan V., Hasan M., Chou F. Large single crystal growth, transport property and spectroscopic characterizations of three-dimensional Dirac semimetal Cd3As2 // Sci. Rep. 2015. V. 5. № 1. P. 12966. https://doi.org/10.1038/srep12966
- Калевич Е.С., Маренкин С.Ф., Пономарев В.Ф., Шевченко В.Я. Термическая диссоциация Cd3As2 // Изв. АН СССР. Неорган. материалы. 1978. Т. 14. № 11. С. 1983–1985.
- Hrubý A., Petrová J. Preparation of Cd3As2 and CdAs2 crystals by transport reaction in vapour phase // Czech. J. Phys. 1971. V. 21. P. 890–895. https://doi.org/10.1007/BF01725133
- Kloc K., Żdanowicz W. Growth and morphology of Zn3P2, Cd3P2 and Cd3As2 crystals // J. Cryst. Growth. 1984. V. 66. № 2. P. 451–458. https://doi.org/10.1016/0022-0248(84)90229-x
- Oveshnikov L.N., Ril’ A.I., Mekhiya A.B., Davydov A.B., Marenkin S.F., Aronzon B.A. Low-field linear magnetoresistance and transport parameters of (Cd1–xMnx)3As2 polycrystals // Eur. Phys. J. Plus. 2022. V. 137. P. 374. https://doi.org/10.1140/epjp/s13360-022-02560-7
- Oveshnikov L.N., Granovsky A.B., Davydov A.B., Bogach A.V., Kharlamova A.M., Ril’ A.I., Aronzon B.A. Magnetic and magnetotransport properties of MnSb polycrystals near equatomic composition // J. Magn. Magn. Mater. 2022. V. 563. P. 169873. https://doi.org/10.1016/j.jmmm.2022.169873
- Oveshnikov L.N., Granovsky A.B., Jaloliddinzoda M., Morgun L.A., Davydov A.B., Gan’shina E.A., Perova N.N., Vasiliev A.L., Ovcharov A.V., Kharlamova A.M., Nekhaeva E.I., Ril’ A.I., Pripechenkov I.M., Kanazakova E.S., Marenkin S.F., Aronzon B.A. Characterization of the quenched GaSb–MnSb composites with high fraction of the ferromagnetic component // J. Magn. Magn. Mater. 2023. V. 565. P. 170242. https://doi.org/10.1016/j.jmmm.2022.170242
- Narayanan A., Watson M., Blake S., Bruyant N., Drigo L., Chen Y., Prabhakaran D., Yan B., Felser C., Kong T., Canfield P., Coldea A. Linear magnetoresistance caused by mobility fluctuations in n-doped Cd3As2 // Phys. Rev. Lett. 2015. V. 114. P. 117201. https://doi.org/10.1103/PhysRevLett.114.117201
- Singh S., Gopal R., Sarkar J., Pandey A., Patel B., Mitra C. Linear magnetoresistance and surface to bulk coupling in topological insulator thin films // J. Phys.: Condens. Matter. 2017. V. 29. № 50. P. 505601. https://doi.org/10.1088/1361-648X/aa97ba
- Zhang H., Li H., Wang H., Cheng G., He H., Wang J. Linear positive and negative magnetoresistance in topological insulator Bi2Se3 flakes // Appl. Phys. Lett. 2018. V. 113. № 11. P. 113503. https://doi.org/10.1063/1.5044686
- Parish M., Littlewood P. Non-saturating magnetoresistance in heavily disordered semiconductors // Nature. 2003. V. 426. P. 162–165. https://doi.org/10.1038/nature02073
- Parish M., Littlewood P. Classical magnetotransport of inhomogeneous conductors // Phys. Rev. B. 2005. V. 72. P. 094417. https://doi.org/10.1103/PhysRevB.72.094417
- Abrikosov A.A. Quantum magnetoresistance // Phys. Rev. B. 1998. V. 58. P. 2788–2794. https://doi.org/10.1103/physrevb.58.2788
- Abrikosov A.A. Quantum linear magnetoresistance // Europhys. Lett. 2000. V. 49. P. 789–793. https://doi.org/10.1209/epl/i2000-00220-2
- Kapitza P. The change of electrical conductivity in strong magnetic fields. Part I. – Experimental results // Proc. R. Soc. A, Math., Phys. Eng. Sci. 1929. V. 123. P. 292–341. https://doi.org/10.1098/rspa.1929.0072
- Kapitza P. The change of electrical conductivity in strong magnetic fields. Part II. – the analysis and the interpretation of the experimental results // Proc. R. Soc. A, Math., Phys. Eng. Sci. 1929. V. 123. P. 342–372. https://doi.org/10.1098/rspa.1929.0073
- Xiao D., Chang M., Niu Q. Berry phase effects on electronic properties // Rev. Mod. Phys. 2010. V. 82. P. 1959–2007. https://doi.org/10.1103/RevModPhys.82.1959
- Nandi D., Skinner B., Lee G., Huang K., Shain K., Chang C., Ou Y., Lee S., Ward J., Moodera J., Kim P., Halperin B., Yacoby A. Signatures of long-range-correlated disorder in the magnetotransport of ultrathin topological insulators // Phys. Rev. B. 2018. V. 98. P. 214203. https://doi.org/10.1103/PhysRevB.98.214203
- Morocho A., Pilyuk E., Zakhvalinskii V., Nikulicheva T., Yapryntsev M., Novikov V. AC conductivity of amorphous and polycrystalline Cd3As2 films on single crystal substrates of Al2O3 // Phys. B. 2022. V. 638. P. 413927. https://doi.org/10.1016/j.physb.2022.413927
Arquivos suplementares








