Материалы на основе катион-замещенных трикальцийфосфатов
- Authors: Фадеева И.В.1, Дейнеко Д.В.2,3, Преображенский И.И.2, Лебедев В.Н.2
-
Affiliations:
- Институт металлургии и материаловедения им. А.А. Байкова Российской академии наук
- Московский государственный университет им. М.В. Ломоносова
- Кольский научный центр Российской академии наук
- Issue: Vol 60, No 9-10 (2024)
- Pages: 1039-1081
- Section: Articles
- URL: https://ogarev-online.ru/0002-337X/article/view/291632
- DOI: https://doi.org/10.31857/S0002337X24090012
- EDN: https://elibrary.ru/LMOVJG
- ID: 291632
Cite item
Full Text
Abstract
Настоящий обзор посвящен синтезу трикальцийфосфатов и гидроксиапатитов, допированных ионами серебра, стронция, цинка, магния, железа, меди, марганца, гадолиния, калия, натрия, силиката, одновременно двумя из вышеперечисленных ионов, а также получению, изучению фазового состава, микроструктуры и поведения в модельных жидкостях организма керамики, кальцийфосфатных цементов и композиционных материалов с полимерами, использующимися в медицине (метилцеллюлоза, альгинат натрия, поливиилпирролидон, полилактид).
Full Text
Введение
Интерес к катион-замещенным фосфатам кальция возрос в последние годы в связи с тем, что их активно используют для изготовления материалов медицинского назначения для восстановления костных тканей, поврежденных в результате травм и обширных операций, связанных с частичной утратой кости. Наиболее перспективным является регенеративный подход к лечению, в результате которого организм самостоятельно восстанавливает утраченные фрагменты костной ткани [1]. Наиболее важным аспектом является скорость биорезорбции матрикса, которая должна быть сравнима со скоростью образования новой костной ткани. Показано [2], что материалом матрикса, наиболее подходящим по скорости биорезорбции, является трикальцийфосфат (ТКФ, Ca3(PO4)2). Скорость резорбции ТКФ в организме превосходит скорость резорбции гидроксиапатита [3], однако все же оказывается меньше скорости образования новой костной ткани. Увеличить скорость биорезорбции керамики из ТКФ можно несколькими способами: уменьшением размера зерна керамики с одновременным увеличением пористости или химической модификацией ТКФ, а именно частичным замещением ионов кальция в структуре ТКФ на катионы других элементов. В результате такого замещения в кристаллической решетке ТКФ возникают локальные напряжения, приводящие к ее деформации и увеличивающие скорость резорбции замещенного ТКФ [4–7]. Кроме того, присутствие в материале допирующих ионов придает материалу полезные свойства. Так, благодаря присутствию ионов с антибактериальными свойствами – серебра, цинка, меди, железа, марганца, церия, гадолиния, силиката, перманганата, ванадата – материал приобретает антибактериальную активность. Материалы из стронций-замещенного ТКФ улучшают клеточную пролиферацию на их поверхности. В последние годы были получены и охарактеризованы двойные замещенные ТКФ, в которых каждый из допирующих ионов вносит свой вклад в модификацию свойств ТКФ.
Серебро-замещенные ТКФ
Были синтезированы серебро-замещенные ТКФ с различным содержанием серебра [8–10]. Показано, что токсический эффект проявляется при концентрации серебра более 0.5 мас.%. Представлены результаты исследований in vitro серебросодержащего ТКФ (Ag-ТКФ). Установлено, что биоматериал не проявляет радикалобразующей активности. Ag-ТКФ оказывает бактериостатическое действие на Staphylococcus haemolyticus и Escherichia coli. Доказан дозозависимый эффект Ag-ТКФ в отношении антибактериальных и цитотоксических свойств. Установлено, что ТКФ с расчетным замещением 0.5 мас.% характеризуется умеренной цитотоксичностью при сохранении антибактериальных свойств.
Из Ag-ТКФ были изготовлены спейсеры для фиксации коленного сустава [11]. Установка артикулирующего спейсера с антибактериальным химиопрепаратом (Ag-ТКФ) позволяет эффективно купировать воспаление, создать депо антибиотика до следующего этапа хирургической реабилитации, сохранить анатомо-функциональные взаимоотношения в суставе и конечности. Сочетание этих факторов позволяет обеспечить оптимальные условия для проведения замены сустава при условии ремиссии воспаления. Эффективность таких оперативных вмешательств составляет 87–94.2%, что позволяет назвать их “золотым стандартом” в лечении поздней глубокой перипротезной инфекции, но совершенствование технологий производства компонентов спейсеров с разработкой современных антибактериальных покрытий может увеличить эффективность оперативных вмешательств.
Из серебро-замещенного ТКФ были изготовлены покрытия на титановые имплантаты для увеличения биосовместимости последних и улучшения их остеоинтеграции с окружающей костной тканью [12]. Для борьбы с инфекциями и содействия интеграции предлагаются наноструктурированные антибактериальные и биоактивные тонкие пленки, впервые полученные методом ионизированного струйного осаждения (IJD) мишеней из замещенного серебром ТКФ на титане. Охарактеризованы морфология, состав и механические свойства покрытий, подтверждена концепция биосовместимости. Антимикробная эффективность исследована против четырех грамположительных и грамотрицательных бактериальных штаммов и против грибка C. albicans путем исследования модификаций роста планктонных бактерий в отсутствие и в присутствии серебра. Затем для всех бактериальных штаммов проверена способность пленки ингибировать бактериальную адгезию. Результаты показывают, что IJD позволяет точно контролировать состав и морфологию пленок, а также наносить пленки с подходящими механическими свойствами. Биологические исследования показывают хорошую эффективность против кишечной палочки, золотистого стафилококка, синегнойной палочки, энтерококка faecalis и против грибка Candida albicans с доказательствами значительного снижения адгезии бактериальных клеток. Для мезенхимальных стволовых клеток, полученных из жировой ткани лошадей (ADMSC), не обнаружено цитотоксических эффектов, поскольку не происходит снижения жизнеспособности клеток и не обнаружено вмешательство в дифференцировку клеток в направлении остеогенной линии в присутствии серебра (рис. 1).
Рис. 1. Результаты антимикробных испытаний культур четырех бактериальных возбудителей и гриба C. albicans на пластинках Ti в присутствии и в отсутствие (CTR-контроль) Ag-TКФ или TКФ [12].
Наоборот, благодаря наноструктурированию и биомиметическому составу покрытия из ТКФ способствуют жизнеспособности клеток, в том числе при замещении серебром. Эти результаты показывают, что наноструктурированные покрытия, замещенные серебром, перспективны для применения в ортопедических имплантатах.
Костные цементы из фосфата кальция (КФЦ) с антибактериальными свойствами востребованы в хирургии. В [13] с помощью энергодисперсионного фазового анализа изучено несколько составов серебросодержащих цементов (0, 0.6 и 1.0 мас.% Ag). Частичное превращение фазы β-ТКФ в дикальцийфосфат дигидрат (CaHPO4.2H2O, ДКФД) происходило во всех исследованных цементных системах.
В исходных цементных порошках обнаружено серебро в виде металла, тогда как в КФЦ-Ag с 0.6 и 1.0 мас.% Ag был обнаружен CaAg(PO3)3, а металлическое серебро отсутствовало.
Цемент, не содержащий серебра, имел прочность при сжатии 6.5–1.0 МПа, в то время как для легированных серебром цементов с 0.6 и 1.0 мас.% Ag приведенные значения прочности при сжатии составили 4.0 и 1.5 МПа соответственно. Выделение ионов серебра из КФЦ-Ag с 0.6 и 1.0 мас.% Ag, измеренное с помощью атомно-эмиссионной спектроскопии, соответствует средним значениям 25 и 43 мкг/л соответственно, выход на плато через 15 дней. Антибактериальный тест показал ингибирующий эффект в отношении патогенной кишечной палочки для цементов с содержанием серебра 0.6 и 1.0 мас.%, причем лучшие показатели наблюдаются у цемента с более высоким его содержанием.
Было показано, что добавление противомикробных агентов [14] улучшает прочность при изгибе традиционного костного цемента из ПММА, в то время как значения предела текучести демонстрируют снижение.
Костный цемент с добавлением противомикробного агента показал хорошую биосовместимость и возможность пролиферации остеобластов (тест МТТ) наряду с низким уровнем цитотоксичности (тест ЛДГ).
В статье [15] показано, что эфирное масло мяты перечной, включенное в гидроксиапатит, гентамицин и наночастицы серебра, включенные в керамическое стекло, ингибировали рост бактерий Staphylococcus aureus ATCC 25923 и Pseudomonas aeruginosa ATCC 27853.
В обзоре [16] проведен всесторонний анализ современного состояния покрытий на основе полипропилена, легированных ионами серебра, меди и цинка, для ортопедических и зубных имплантатов. В частности, оценивается влияние этих ионов на физико-химические, механические и биологические свойства кальций-фосфатных покрытий.
Для борьбы с инфекцией предлагаются наноструктурированные антибактериальные и биоактивные тонкие пленки, впервые полученные методом лазерной абляции Ag-TКФ на поверхности титана [12]. Охарактеризованы морфология, состав и механические свойства покрытий и показана концепция биосовместимости. Для всех штаммов бактерий также изучена способность пленки ингибировать бактериальную адгезию.
На рис. 2б приведены теоретические и экспериментальные значения брэгговских углов для мишеней Ag-TКФ, экстраполированные из литературных данных (β-TКФ, PCPDF #70-2065) и из экспериментальной дифракционной картины соответственно.
Рис. 2. Рентгенограмма порошка Ag-TКФ (пики идентифицированы с помощью картотеки PCPDF #70-2065) (а) и данные рентгеновской порошковой дифракции Ag-TКФ (б).
Формируется однородное покрытие Ag-ТКФ на подложке кремния без образования трещин (рис. 3а, г, е) [12]. На подложках Si в течение 20 и, в основном, 30 мин формируются более крупные кластеры (показано стрелкой на рис. 3е).
Рис. 3. Морфология поверхности тонких пленок Ag-TКФ на пластинах Si после осаждения в течение 10 (a–в), 20 (г–е) и 30 мин (ж–и) [12].
Сравнение роста пленок на подложках Si и Ti (рис. 3 и 4) показывает, что все пленки независимо от подложки и времени осаждения являются наноструктурированными, поскольку они состоят из наноразмерных сферических агрегатов, но определяющим фактором для морфологии поверхности является время осаждения. Увеличение времени осаждения до 20 мин, как для подложек Si, так и для Ti, приводит к образованию более крупных кластеров, увеличивая шероховатость поверхности и приводя к более высокой дисперсии в диаметре глобул. Этот эффект немного лучше виден для подложки Ti, хотя между субстратами не обнаружено существенных различий. С увеличением времени осаждения от 20 до 30 мин размеры агрегатов остаются практически неизменными, в то время как неоднородность уменьшается для обоих субстратов. Кроме того, по сравнению с Ti осаждение на Si приводит к образованию более крупных агрегатов и кластеров, что указывает на существенное влияние состава и топографии подложки на характеристики покрытий и более высокую однородность при нанесении на шероховатые подложки.
Рис. 4. Морфология поверхности тонких пленок на дисках из сплава Ti после 10 (a–в), 20 (г–е), 30 мин (ж–и) осаждения.
Шероховатость и АСМ-изображения показаны на рис. 5. Среднеквадратичные значения шероховатости 52 ± 6, 69 ± 27 и 78 ± 16 нм измерены для времени осаждения 10, 20 и 30 мин. Для всех образцов обнаружена высокая шероховатость, которая увеличивается с увеличением времени осаждения. Кроме того, данные АСМ, полученные через 20 мин, указывают на наличие изолированных агрегатов большего диаметра (рис. 5д). Наличие этих агрегатов существенно влияет на изменение шероховатости образца, о чем свидетельствует высокое стандартное отклонение на графике (рис. 5а).
Рис. 5. Шероховатость (а) и АСМ-изображения (б–д) образцов в зависимости от времени осаждения; на изображениях б и в – топография поверхности образцов, нанесенных в течение 10 и 30 мин (Si-10 и Si-30) соответственно; на изображениях г, д – топография поверхности Si-20, стрелка на рисунке (д) указывает на более крупные скопления, уже наблюдаемые FEG-SEM, определяющие изменение шероховатости образца [12].
Биоактивные покрытия ФК, содержащие Ag или Sr-Si, были получены методом микродугового оксидирования (MДO) [17]. Для синтеза покрытий, содержащих Sr-Si, использовали кислотный электролит, а для формирования покрытий, содержащих Ag, – щелочной электролит. Формирование покрытий происходило при различных приложенных напряжениях, и свойства покрытий существенно различались. Толщина покрытия Sr-Si-ФК экспоненциально увеличивалась с течением времени МДО, в то время как толщина покрытия Ag-ФК увеличивалась линейно.
Толщина и шероховатость у покрытий без присадочных элементов были ниже, чем в покрытиях Ag-ФК и Sr-Si-ФК. Таким образом, элементы Ag, Sr и Si участвовали в плазмохимических реакциях формирования микродуговых покрытий и интенсифицировали их.
Покрытия Ag-ФК содержали равномерно распределенные поры и изометрические частицы β-ТКФ. На поверхности покрытий Sr-Si-ФК наблюдались сфероидальные элементы и открытые поры.
Фазовый состав покрытий Ag-ФК включал следующие кристаллические фазы: β-ТКФ, α-ТКФ, ГФ, TiO2 (анатаз, рутил). Покрытия Sr-Si-ФК, нанесенные при 200 В, имели аморфную структуру. При увеличении приложенного напряжения до 350 В структура покрытий из аморфной трансформировалась в аморфно-кристаллическую. При этом образовывались Ca2P2O7, CaHPO4 и TiO2 (анатаз, рутил).
Плазменно-химическим методом на поверхность титана нанесены покрытия из серебросодержащих ТКФ [18]. Микроструктура поверхности покрытий из серебросодержащих ГА и ТКФ представлена на рис. 6.
Рис. 6. Микроструктура поверхности титана после нанесения покрытий из серебросодержащего ГА (а), серебросодержащего ТКФ (б).
Покрытия Ag-ГА, полученные плазменным напылением, состоят из частиц круглой плоской формы размером 10–100 мкм и наночастиц. На поверхности частиц наблюдаются поры правильной формы. Покрытие Ag-TКФ образовано мелкими частицами круглой формы размером до 60 мкм. На поверхности покрытия обнаруживаются наночастицы размером до 50 мкм. Покрытия обоих типов обладают гидрофильными свойствами. Адгезия покрытия из Ag-TКФ почти вдвое прочнее, чем Ag-ГA. Полученные покрытия представляют интерес как антимикробные для внутрикостных эндопротезов, а также для стоматологических и ортопедических целей.
Разработаны [19] костные цементы из магния и кальция фосфата (МКФЦ) на основе фаз струвита и ньюберита, обладающие антибактериальными свойствами благодаря присутствию ионов Ag+. При увеличении концентрации Ag+ от 0.5 до 1.0% существенно улучшаются механические свойства цементов: достигается прочность при сжатии 41 ± 2 МПа, при этом увеличивается зона ингибирования до 8 мм (тест на диффузию) против Escherichia coli и Staphylococcus aureus без токсичности по отношению к клеткам MG-63 in vitro. Анализы образцов МКФЦ после выдерживания в жидкости Кокубо, содержащей ионы серебра, показали образование покрытий на поверхности цемента, соответствующих фазе мерриллита, а через 28 дней выдерживания – фазе бобьеррита. Гистологическое исследование и анализ микро-КТ показали, что недавно разработанные MCPC являются остеокондуктивными, биоразлагаемыми и могут использоваться в качестве заменителя кости.
Цинк-замещенные ТКФ
Цинксодержащий брушитовый цемент на основе цинк-замещенного β-ТКФ описан в [20, 21]. Исследованы начальный и конечный фазовый состав (рис. 7), время схватывания, морфология, эволюция pH и прочности при сжатии цементов на основе β-ТКФ и Zn-ТКФ.
Рис. 7. Дифрактограммы цементов на основе TКФ (а) и Zn-ТКФ (б) до (1) и после (2) выдерживания в физиологическом растворе: * – β-Ca3(PO4)2 (TКФ) (card [09–169]), – CaHPO4·2H2O (брушит) (card [72–713]), ^ – Ca10(PO4)6(OH)2 (ГА) (card [72–1243]) [21].
После выдержки цементов в течение 60 суток в физиологическом растворе их фазовый состав представлен брушитом и апатитом (рис. 7а, дифрактограмма 2). Установлена антибактериальная активность цементов в отношении Enterococcus faecium, Escherichia coli и Pseudomonas aeruginosa. Доказано отсутствие цитотоксичности цементов на клетках фибробластов мыши NCTC L929. Разработанные цементы перспективны для применения в ортопедии и травматологии.
Разработан цинксодержащий магнийкальций-фосфатный цемент (Zn-МКФЦ) [22]. Были получены и исследованы цементные порошки с соотношением (Ca + + Mg) / P = 2, легированные Zn2+ в количестве 0.5 и 1.0 мас.%.
Исследование ИК-спектров цементных порошков показало присутствие полос, отнесенных к колебаниям фосфатных, нитратных и карбонатных групп (рис. 8).
Рис. 8. ИК-спектры порошков МКФЦ, содержащих ионы цинка [22].
После смешивания с цементной жидкостью исследовали структурно-фазовый состав, морфологию (рис. 9), время схватывания, прочность при сжатии, поведение при разложении, растворимость, антибактериальную активность и поведение цементных материалов in vitro.
Рис. 9. Микроструктура МКФЦ с различным содержанием цинка [22].
Высокая прочность при сжатии 48 ± 5 МПа была достигнута для цемента с 1.0 мас.%. Zn. Установлено, что введение катионов Zn2+. При перемешивании цементного теста заметной термической реакции не обнаружено.
Цементы характеризуются кислотностью, близкой к нейтральной, при выдержке в растворе более одних суток. Значение рН образцов с 40 мол.% Mg после 24 суток выдержки в дистиллированной воде составляет 7.2. Благодаря введению Zn2+ цементы проявляли антибактериальную активность в отношении штаммов Staphylococcus aureus и Escherichia coli с диаметром зоны ингибирования до 8 мм. Биологические исследования подтвердили, что разработанный цемент является цитосовместимым и перспективным в качестве потенциального заменителя кости в реконструктивной хирургии.
Исследованы композиционные материалы из КФЦ с полимерами [23–26]. В работе [23] изучены механические характеристики макропористых композиционных имплантатов на основе β-Ca3(PO4)2/полилактида и β-Ca3(PO4)2/поликапролактона, полученных методом термоэкструзионной 3D-печати. Описано влияние степени наполнения полимера, а также самой трехмерной конструкции фосфатным цементом на прочность, модуль Юнга и характер разрушения материала.
В работе [26] электроформованием получен композиционный материал на основе полигидроксибутирата (ПГБ), пропитанного брушитовым цементом (БЦ), содержащим ионы Zn2+ (Zn-БЦ). Фазовый состав композита представлен апатитом, брушитом и β-ТКФ (рис. 10).
Рис. 10. Дифрактограмма композита ПГБ с Zn-БЦ [26].
Прочность при изгибе полученных материалов составляла 3.1 ± 0.5 МПа. Биологические испытания на клетках фибробластов показали, что полученный материал не является цитотоксичным и проявляет антибактериальные свойства в отношении штаммов бактерий Escherichia coli и Staphylococcus aureus.
Медь-замещенные ТКФ
Разработан новый керамический материал на основе ТКФ с собственными антибактериальными характеристиками [27]. Выбор ионов меди в качестве заменителей кальция в ТКФ (Cu-ТКФ) связан с выраженными антибактериальными свойствами широкого спектра действия ионов меди. Методом механохимической активации синтезирован Cu-ТКФ с содержанием меди 1.4 и 0.1 мас.%. Как незамещенные, так и медьсодержащие ТКФ характеризуются структурой витлокита (β-ТКФ). Рентгенографический анализ и спектроскопия электронного парамагнитного резонанса (ЭПР) выявили частичную изовалентность при замещении ионов кальция ионами меди в решетке β-ТКФ. За счет снятия напряжения в октаэдре M(5)O6, обусловленного меньшей длиной связи Ca–O по сравнению с соответствующей суммой ионных радиусов, замещение кальция более мелкими ионами меди стабилизирует структуру β-ТКФ. Введение Cu предотвратило полиморфное превращение из β- в α-TКФ. МТТ-колориметрический анализ показал, что метаболическая активность мышиных фибробластов линии клеток NCTC L929 во время 24-часовой инкубации с 3-дневными экстрактами гранул Cu-TКФ (1.4 мас.%) и β-TКФ была аналогична отрицательному контролю, что указывает на отсутствие какого-либо ингибирующего воздействия на клетки. Рост стволовых клеток пульпы зуба человека на поверхности керамики Cu-TКФ (1.4 мас.%) и β-TКФ также показал отсутствие каких-либо признаков цитотоксичности. Микробиологически пробы продемонстрировали антибактериальную активность керамики Cu-ТКФ против Escherichia coli и Salmonella enteritidis, тогда как β-ТКФ такой активности не проявлял. В целом введение ионов меди в β-ТКФ улучшает его антибактериальные свойства, не уменьшая при этом биосовместимость материала, что делает его более привлекательным, чем чистый β-ТКФ, для клинических применений, таких как синтетические костные трансплантаты и ортопедические покрытия для имплантатов.
Медьсодержащий КФЦ с оптимальными самотвердеющими свойствами [28] был разработан на основе витлокита (β-TКФ), допированного ионами меди. Механизм и кинетика процесса затвердевания цемента были изучены с использованием энергодисперсионной рентгеновской дифракции. Установлено, что затвердевание сопровождалось фазовым переходом ТКФ в брушит согласно реакции
Ca3–xCux(PO4)2 + Ca(H2PO4)2 .
. H2O + 7H2O → 4Ca1–xCuxHPO4 . 2H2O. (1)
Уменьшение параметров решетки во всех кристаллографических направлениях в результате довольно низкой (1 : 180) степени замещения ионов кальция ионами меди объясняется различием ионных радиусов кальция и меди.
Более низкая катионная гидратация, возникающая в результате частичного замещения кальция на медь, способствует высвобождению ионов гидроксила и снижает энергию образования TКФ из предшественника апатита при повышенных температурах. Таким образом, добавление меди эффективно ингибировало образование апатита в качестве вторичной фазы.
Содержание Cu2+ в медь-замещенном порошке TКФ (Cu-TКФ) составляло 0.30 мас.% по результатам элементного анализа. Несоответствие между этим значением и рассчитанным по стехиометрии предшественников (2.05 мас.%) объясняется тем фактом, что в результате синтеза методом осаждения из водных растворов, хотя часть ионов Cu2+ замещала ионы Ca2+ в структуре TКФ, большая часть ионов Cu2+ образовали водорастворимые амминокомплексы с ионами аммония согласно реакции
(2)
Ионы меди остались в фильтрате в виде тетраамминокупрат-ионов. Полученное в результате синтеза соединение Cu-TКФ может быть представлено брутто-формулой Ca2.984Cu0.016(PO4)2. Это означает, что только один из ~180 атомов кальция был заменен на медь. Такая степень замещения ниже, чем обычно наблюдаемая в ГА, также из-за меньшей восприимчивости к вакансиям и деформации решетки TКФ. На рис. 11 показаны результаты рентгенофазового анализа. Все пики на двух дифрактограммах относятся к витлокиту, основной фазе после прокаливания при 900°C. Небольшое смещение всех дифракционных пиков к большим углам по шкале 2θ подтверждает гипотезу о замещении ионов кальция на ионы меди, поскольку коррелирует с меньшими межплоскостными расстояниями и меньшим объемом элементарной ячейки, что согласуется с меньшим размером ионов меди по сравнению с ионами кальция.
Рис. 11. Дифрактограммы цементов на основе β-ТКФ (черная линия) и Cu-ТКФ (красная линия) [28].
Уточнение дифрактограмм методом Ритвельда подтвердило замещение ионов Ca2+ ионами Cu2+ в кристаллической структуре TКФ. Параметры ячейки незамещенного TКФ составляют a = b = 10.429 Å и c = = 37.380 Å, в то время как параметры Cu-TКФ составляют a = b = 10.413 Å и c = 37.335 Å. Уменьшение параметров ячейки является дополнительным свидетельством замещения ионов Ca2+ (с большим ионным радиусом) ионами Cu2+ (с меньшим ионным радиусом).
Основной фазой цемента после твердения является витлокит, наряду с которым присутствует фаза ГА (рис. 11). В ИК-спектрах затвердевшего цемента обнаруживается полоса при 3570 см–1, соответствующая колебаниям гидроксильных групп, что связано с присутствием апатитовой фазы.
В порошках TКФ и Cu-TКФ было обнаружено небольшое количество апатитовой фазы (3–5%). Частичное замещение Ca2+ на Cu2+ в структуре TКФ не повлияло на кристалличность, так как не было обнаружено уширения пиков Cu-TКФ. Значения ОКР порошков TКФ и Cu-TКФ представлены в табл. 1. Более низкое значение ОКР для Cu-TКФ является косвенным подтверждением того, что ионы меди замещают ионы кальция в кристаллической решетке TКФ.
Таблица 1. Значения ОКР для ТКФ и Cu-TКФ
Соединение | ТКФ | Cu-TКФ |
ОКР, нм | 100 ± 7 | 84 ± 6 |
Спектры ИК (рис. 12) подтверждают, что витлокит является основной фазой, что согласуется с данными РФА. Дублет при 560–610 см−1 относится к вырожденному триплету ν4 фосфатной группы и типичен для структуры витлокита. Триплет в диапазоне 420–480 см−1 возникает из дважды вырожденного колебания ν2 фосфатной группы. Полосы поглощения при 962 и 875 см−1 представляют собой различные виды деформационного колебания ν1 фосфатной группы. Остатки нитратов обнаружены в виде полос при 820 и 1380 см−1. Узкая полоса при 3570 см−1 относится к группам ОН− в составе апатитовой фазы, присутствующей в незначительном количестве. Напротив, широкая полоса в диапазоне 2600–3600 см−1 возникает из адсорбированных неструктурных молекул воды. Интересно, что узкая полоса ν1(OH–) при 3570 см−1 наблюдалась только в спектре TКФ, что может указывать на присутствие апатитовой фазы. Полоса деформационных колебаний OH– при 630 см−1 также более интенсивна в порошках TКФ, не содержащих медь (полоса при 1640 см−1 Cu-TКФ относится к адсорбированным молекулам воды). Поскольку порошки, полученные осаждением из растворов как с медью, так и без меди, содержали апатит, способность меди снижать термическую устойчивость апатитовой фазы и способствовать переходу в фазу TКФ должна проявляться на стадии отжига. Термическая стабильность гидроксида меди значительно ниже: он превращается в оксид уже при 80°C по сравнению с 580°C для гидроксида кальция. Более низкая катионная гидратация, возникающая в результате частичного замещения кальция на медь, предполагает, что оно способствует высвобождению ионов гидроксила и, таким образом, снижает энергию образования TКФ из предшественника апатита при повышенных температурах. Тот же эффект может объяснить еще одно выраженное различие между ИК-спектрами TКФ и Cu-TКФ, а именно: отсутствие наиболее интенсивной карбонатной полосы, асимметричного дублета деформационных колебаний ν3 с центром при 1430 см–1, в ТКФ и его присутствие в Cu-TКФ. Другая карбонатная полоса при 870 см−1 не может быть выделена в спектрах, так как она перекрывается с полосой деформационных колебаний ν1(PO43−) при 875 см−1.
Рис. 12. ИК-спектры ТКФ (синяя линия) и Cu-TКФ (красная линия) [28].
Возможно, сжатая решетка, возникающая в результате катионного обмена больших ионов Ca2+ на меньшие ионы Cu2+, представляет собой дополнительный фактор, благоприятствующий замещению больших фосфатных групп на меньшие карбонатные группы.
Цемент на основе Cu-ТКФ проявлял антибактериальный эффект, хотя и исключительно в отношении грамотрицательных бактерий, включая E. coli, P. aeruginosa и S. enteritidis (рис. 12). Этот антибактериальный эффект был обусловлен ионами меди, о чем свидетельствует отсутствие антибактериального эффекта у цемента, не содержащего меди. Кроме того, антибактериальная активность медьсодержащего цемента была значительно выше, чем у порошка-предшественника. Поскольку не было существенной разницы между кинетикой высвобождения меди из порошка TКФ-предшественника и из конечной, брушитовой, фазы затвердевшего цемента, это позволяет предположить, что антибактериальный эффект был обусловлен не только ионами меди, но и синергией между катионной медью и определенной фазой и агрегатным состоянием ФК.
Несмотря на ингибирующее действие на бактерии, цемент, легированный медью, повышал жизнеспособность глиальных клеток E297 человека, мышиных остеобластов клеток K7M2 и особенно первичных фибробластов легких человека. О том, что этот эффект также обусловлен ионами меди, свидетельствует нулевое влияние на повышение жизнеспособности, проявляемое цементами, не содержащими медь. Различие в механизме защиты дегидратаз у прокариот и эукариот использовалось в качестве обоснования для объяснения избирательности в биологическом ответе. Это позволяет рассматривать медь в качестве дважды эффективного иона в сочетании с фосфатами кальция: токсичного для бактерий и полезного для здоровых клеток.
Железо-замещенные ТКФ
Результаты исследований керамики из железо-замещенных ТКФ представлены в [29]. Основной кристаллической фазой синтезированных порошков, по данным РФА, является витлокит. В качестве примесной фазы определяется до 3 мас.% α-Fe2O3. Значение ОКР, рассчитанное для Fe-ТКФ, составляет 10.6 нм. Это значение несколько ниже по сравнению с ТКФ-керамикой – 12 нм, что свидетельствует об уменьшении размера ОКР при введении железа. Это связано с искажениями кристаллической решетки, происходящими при замещении атомов кальция атомами железа с большим ионным радиусом. Данное значение сравнимо с ОКР для керамики из цинк-замещенного ТКФ – 10.2.
По данным элементного анализа, содержание железа составляет 1.09 мас.% для Fe-ТКФ1 и 0.49 мас.% для Fe-ТКФ2, что соответствует количеству железа, введенному в процессе синтеза.
Микроструктура керамики Fe-ТКФ1 неоднородна: присутствуют две разновидности кристаллов – крупные, хорошо ограненные кристаллы с оплавленными ребрами размером 1–2 мкм и мелкие кристаллы, менее 0.1 мкм (рис. 13а). Микроструктура керамики Fe-ТКФ2 более однородная, размер кристаллов 1–3 мкм. Неоднородность структуры Fe-ТКФ1 связана с тем, что при большем содержанием железа оксид железа выделяется в виде отдельной фазы α-Fe2O3.
Рис. 13. Микроструктура керамики, полученной спеканием при 1100°С: а – Fe-ТКФ1 (0.49 мас.% Fe), б – Fe-ТКФ2 (1.1 мас.% Fe) [29].
В результате спекания получены керамические диски, пористость которых, по данным гидростатического взвешивания, составляет 40–45%.
Железо в объеме образцов Fe-ТКФ1 и Fe-ТКФ2 распределено равномерно (рис. 14).
Рис. 14. Распределение элементов на сколе керамического образца Fe-ТКФ2 (красный – железо, фиолетовый – кальций, голубой – фосфор, зеленый – кислород) [29].
Поверхность керамики представлена на рис. 15: кристаллы на поверхности керамики Fe-ТКФ1 меньше по сравнению с Fe-ТКФ2, что связано с большими искажениями решетки ТКФ при замещении большего количества кальция на железо.
Рис. 15. Поверхность керамики: а – Fe-ТКФ1, б – Fe-ТКФ2 [29].
Исследование метаболической активности клеток NCTC L929 в присутствии вытяжек из исследуемых материалов было проведено с использованием МТТ-теста (рис. 16).
Рис. 16. Метаболическая активность клеток NCTC L929 по результатам МТТ-теста при инкубации 48 ч с 3-суточными вытяжками из материалов: ТКФ 1100 (1), FeI 1100 (2), FeII 1100 (3), контроль (4), DMSO (5); * – статистически значимые отличия с контролем по критерию Манна–Уитни (р < 0.05) [29].
Исследование метаболической активности клеток NCTC L929 с использованием МТТ-теста показало отсутствие значимых различий между опытом и контролем только у образца 1, что свидетельствует об отсутствии токсического действия 3-суточных вытяжек. В присутствии вытяжек из образцов 2 и 3 произошло незначительное снижение клеточной активности.
На основе железо-замещенного β-ТКФ был разработан и исследован железосодержащий КФЦ [30]. Концентрация ионов Fe3+ в ТКФ составила 0.49 и 1.09 мас.%. Процесс отверждения, который включал превращение Fe-TКФ в нанокристаллический брушит (уравнение (3)), был исследован in situ с использованием технологии энергодисперсионной рентгеновской дифракции. Время схватывания составляло 20 мин, а время затвердевания – 2 ч, но для полного затвердевания цемента потребовалось 50 ч. Компоненты цемента взаимодействуют согласно уравнению
Ca2.9Fe0.67(PO4)2 + Ca(H2PO4)2 .
. H2O + 7H2O → 4(Ca, Fe)HPO4 . 2H2O. (3)
Мессбауэровская спектрометрия показала, что атомы 57Fe в Fe-TКФ расположены в двух неэквивалентных кристаллографических узлах и распределены по позициям с сильным искажением кристаллов (рис. 17).
Рис. 17. Мессбауэровские спектры 57Fe (экспериментальные полые точки) 0.1Fe-TКФ (а) и 0.05Fe-TКФ (б), записанные при T = 298 К [30].
Выраженное присутствие ультрадисперсных кристаллов в конечной брушитовой фазе способствовало уменьшению пористости и тем самым приводило к повышению механической прочности. Прочность при сжатии затвердевших цементов увеличилась более чем в два раза при введении допирующих ионов Fe3+: с 11.5 ± 0.5 до 24.5 ± 2.0 МПа.
Количество железа, выделяемого из цементов в физиологических средах, стабилизировалось через 10 суток (рис. 18) и было на порядок ниже клинического порога, который вызывает токсическую реакцию. Цементы проявляли остеоиндуктивную активность, как видно из повышенных уровней экспрессии генов, кодирующих остеокальцин и Runx2, как в недифференцированных, так и в дифференцированных клетках MC3T3-E1, подвергнутых воздействию цементов.
Рис. 18. Кривая кумулятивного высвобождения железа, полученная для цемента из 0.05Fe-TКФ (относительная неопределенность для всех показателей составляет 1%; χ2 = ∼0.001 для расчетной подгонки (а); сравнение прочности при сжатии (измеренной на 5-е сутки после для расчетной подгонки формования) затвердевших цементов, полученных из TКФ и 0.05Fe-TКФ; *** = р < 0.001 (б) [21].
Остеоиндуктивный эффект был обратно пропорционален содержанию ионов Fe3+ в цементах, что указывает на то, что чрезмерное количество железа может оказывать пагубное влияние на индукцию роста кости остеобластами, контактирующими с цементом. Напротив, антибактериальная активность цемента в анализе на агаре увеличилась по сравнению со всеми четырьмя исследованными видами бактерий (E. coli, S. enteritidis, P. aeruginosa, S. aureus) в прямой пропорции с концентрацией в нем ионов Fe3+, что указывает на их ключевое влияние на усиление антибактериального эффекта в этом материале.
Этот эффект был менее выражен при анализе бульона. Эксперименты, включающие совместную инкубацию цементов с клетками в переменном магнитном радиочастотном поле в течение 30 мин, продемонстрировали хороший потенциал для использования этих магнитных цементов в лечении рака при гипертермии. В частности, популяция клеток глиобластомы человека уменьшилась в шесть раз за 24 ч после окончания обработки магнитным полем, в то время как популяция раковых клеток кости сократилась примерно в два раза. Анализ взаимодействия клеток MC3T3-E1 с цементом подтвердил влияние железа в цементе на экспрессию маркера роста костей, продемонстрировав признаки неблагоприятного воздействия на морфологию и пролиферацию клеток только для цемента, содержащего более высокую концентрацию ионов Fe3+ (1.1 мас.%). Биологическое тестирование показало, что воздействие железа полезно с точки зрения магнитной терапии и антибактериальной профилактики, но его концентрация в материале должна быть тщательно оптимизирована, чтобы избежать побочных эффектов, вызванных повышением определенного уровня концентрации железа.
Анализ взаимодействия клетки/частицы с культурой остеобластов MC3T3-E1 (рис. 19) подтвердил влияние железа, выделяемого из цемента, на экспрессию маркеров роста костей, а именно на их снижение из-за увеличения концентрации железа в цементе. Соответственно, в то время как контрольный образец фосфата кальция, наноразмерного ГА, не проявлял отрицательных эффектов при концентрации 5 мг/мл после 72 ч совместной инкубации, так же как и цемент 0.05Fe-TКФ, содержащий более низкую концентрацию Fe3+ (0.49 мас.%), неблагоприятные воздействия на клеточную морфологию и пролиферацию были очевидны при инкубации с цементом из 0.1Fe-TКФ, содержащим более высокую концентрацию Fe3+ (1.1 мас.%).
Рис. 19. Одноплоскостные конфокальные оптические микрофотографии флуоресцентно окрашенных остеобластных клеток MC3T3-E1 (цитоскелетный f-актин – красный, ядро – синий; цемент TКФ – зеленый) при взаимодействии с 5 мг/мл либо контрольного ГА (а), либо цементов из Fe-TКФ с различными концентрациями Fe3+: 0.49 (б), 1.1 мас.% (в) после 72-часовой инкубации с цементами [30].
Можно констатировать, что актиновые микрофиламенты перестали демонстрировать здоровый полосатый рисунок и приняли сгущенную и круглую апоптотическую морфологию вместе с ядром. Вполне возможно, что клетки могут снизить выработку активных форм кислорода в процессе Фентона только до определенного уровня, выше которого, т. е. при более высоких концентрациях железа, начинают проявляться негативные воздействия на клетки. Таким образом, воздействие железа благотворно сказывается на перспективах магнитной терапии гипертермии и антибактериальной профилактики или бактерицидных эффектов, но концентрация железа в материале должна быть тщательно оптимизирована, чтобы введение избыточной концентрации железа не привело к побочным эффектам.
Гадолиний-замещенные ТКФ
Гадолиний-замещенные ТКФ с содержанием гадолиния 0.51 мас.% (0.01Gd-ТКФ) и 5.06 мас.% (0.1Gd-ТКФ) синтезировали двумя методами: осаждением из водных растворов солей и с использованием механоактивации [31].
Исходными компонентами для синтезов осаждением из водных растворов солей служили нитрат кальция “х.ч.”, гидрофосфат аммония “ч.д.а.”, хлорид гадолиния “х.ч.”, 25%-ный водный раствор аммиака “ч.д.а.”. Взаимодействие реагентов происходило в соответствии с реакциями
2.9Ca(NO3)2 + 0.067GdCl3 + 2(NH4)2 HPO4 +
2NH4OH → Ca2.9Gd0.67(PO4)2 + 0.2NH4Cl +
+ 5.8NH4NO3 + 2H2O, (4)
2.99Ca(NO3)2 + 0.0067GdCl3 + 2(NH4)2 HPO4 +
2NH4OH → Ca2.99Gd0.067(PO4)2 + 0.02NH4Cl +
+ 5.98NH4NO3 + 2H2O. (5)
Механоактивацию проводили в планетарной мельнице ПМ-1. Количества реагентов были рассчитаны в соответствии с реакциями
2.9CaO + 0.067GdCl3 + 2(NH4)2 HPO4 →
→ Ca2.9Gd0.67(PO4)2 + 3.8NH3 +
+ 0.2NH4Cl + 2.9H2O, (6)
2.99CaO + 0.0067GdCl3 + 2(NH4)2 HPO4 →
→ Ca2.9Gd0.067(PO4)2 + 3.8NH3 +
+ 0.02NH4Cl + 2.9H2O. (7)
Поскольку происходит гетеровалентное замещение двухвалентного иона Са2+ на трехвалентный Gd3+, то реализуется следующий механизм:
(8)
Керамику из порошков гадолиний-замещенных ТКФ получали спеканием образцов, полученных одноосным двухсторонним прессованием при удельном давлении прессования 100 МПа. Процесс спекания проводили в камерной печи с силитовыми нагревателями в течение 2 ч при температуре 1100°С.
По данным РФА, преобладающей кристаллической фазой синтезированных соединений после обжига при 900°С является витлокит, или β-ТКФ. Обнаруживаются также две примесные фазы: ГА и β-пирофосфат кальция (ПФК, β-Ca2P2O7). Формирование апатитовой фазы связано с использованием хлорида гадолиния в качестве прекурсора. Присутствие в реакционной смеси хлорид-ионов способствует формированию термодинамически устойчивой фазы хлорапатита. ПФК образовался при обжиге из побочного продукта реакции – ДКФД (СаНРО4.2Н2О) согласно реакции
(9)
Фазовый состав 0.1Gd-ТКФ, полученного с применением механоактивации, не однородный: основной фазой является витлокит, содержание ПФК и ГА существенно выше по сравнению с 0.1Gd-ТКФ, полученным осаждением из растворов.
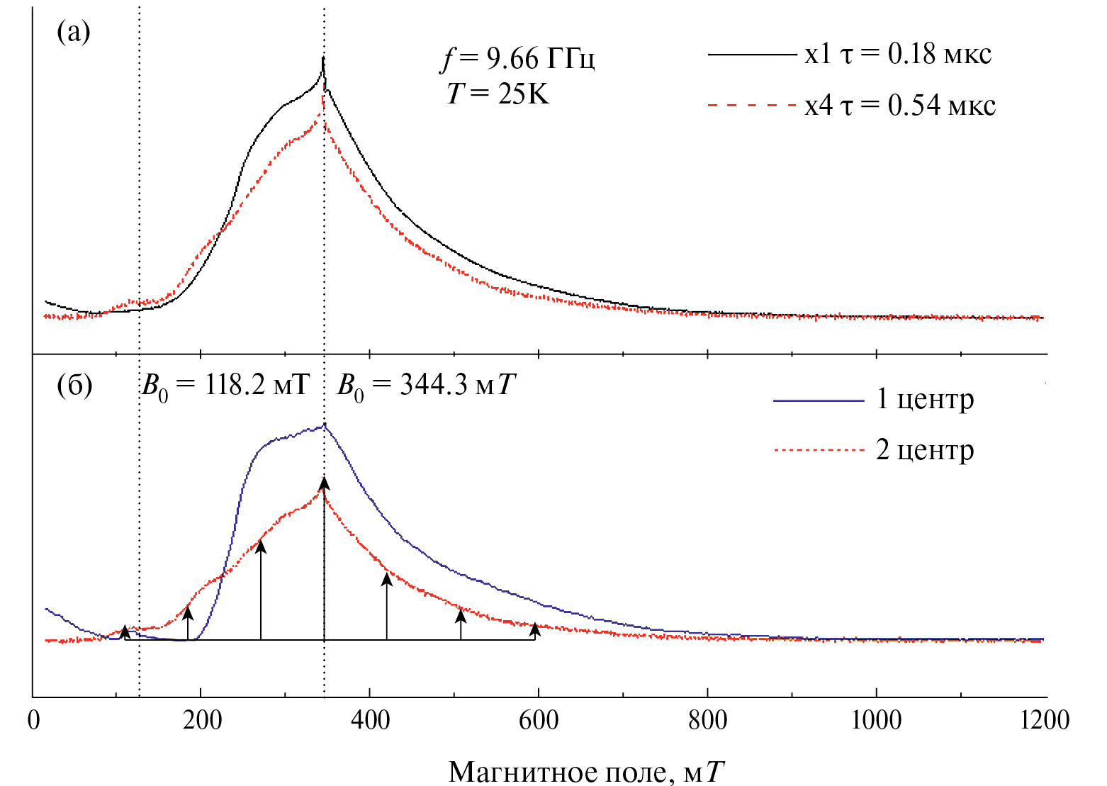
Были проведены измерения спектров ЭПР при температуре 25 К. Спектр, записанный при минимальном времени между p/2- и p-импульсами t = 0.18 мкс, показан на рис. 23а черной линией и соответствует спектру порошкового образца без явно выделенных отдельных линий. Измерения распада поперечной намагниченности выявили два экспоненциальных процесса с характерными временами T2 = 0.19 ± 0.01 и 1.0 ± 0.05 мкс. Для проверки природы появления двух процессов был записан спектр ЭПР при большем времени между p/2- и p-импульсами t = 0.54 мкс. В случае существования двух типов центров с разными временами релаксации при увеличении времени t будет наблюдаться сильное уменьшение компоненты спектра с коротким временем релаксации на фоне компоненты спектра с более длинным временем. Это приведет к трансформации формы спектра ЭПР (перераспределению интенсивностей), что можно увидеть на рис. 20а как разницу между черной и красной линиями. Простейшая математическая обработка позволяет разделить спектр на две компоненты: с быстрой (T2 = 0.19 ± 0.01 мкс) и медленной (T2 = 1.0 ± 0.05 мкс) поперечной релаксацией, показанные на рис. 20б синей и красной линиями соответственно.
Рис. 20. Спектры ЭПР образца ТКФ, содержащего 0.001% гадолиния: черная линия соответствует времени между импульсами τ = 0.18 мкс, спектр, показанный красной линией, увеличен по амплитуде в 4 раза и соответствует τ = 0.54 мкс (а); компоненты спектра ЭПР, отличающиеся временами распада T2 поперечной намагниченности: компонента, обозначенная синей линией, соответствует T2 = 0.19 ± 0.01 мкс, обозначенная красной линией – T2 = 1.0 ± 0.05 мкс [22] (б).
Редкоземельный ион гадолиния Gd3+ с 4f7-конфигурацией в основном состоянии 8S7/2 является парамагнитным и обладает электронным спином S = 7/2 с нулевым орбитальным моментом L = 0. Для данной спиновой системы спектр должен содержать 2S = 7 разных переходов, которые дают 7 линий в спектре ЭПР. Интенсивность каждой из таких линий будет пропорциональна квадрату матричного элемента , т.е. максимальна для перехода –1/2↔1/2 и минимальна для ± 7/2↔ ± 5/2, что дает возможность сопоставить переходы линиям исходя из их интенсивностей, даже когда спектр усредняется различными ориентациями частиц порошка в исследуемом образце.
Центр 2 с длинными временами релаксации обладает выраженной структурой из семи практически эквидистантных линий, чья интенсивность нарастает к центру спектра, что указывает на явно выраженную аксиальность кристаллической структуры, соответствующую кристаллам ТКФ.
Центр 1 с короткими временами релаксации не имеет такой структуры, и ширина линии у него существенно выше, чем у центра 2. Поэтому его можно отнести к примеси гадолиния в побочных фазах, малая кристалличность которых приводит к дополнительному уширению линий ЭПР.
При температуре 25 К была измерена скорость спин-решеточной релаксации для обоих центров: при магнитном поле B0 = 344.3 мТл в релаксацию дают вклады оба центра, при B0 = 118.2 мТл присутствует вклад только центра 2. Время спин-решеточной релаксации Gd3+ для обоих центров оказалось достаточно коротким: T1 = 30 ± 2 мкс, что соответствует релаксации гадолиния в других кристаллах [32]. Для измерений электрон-ядерных взаимодействий температура была понижена до 12 К, при которой T1 = 160 ± 8 мкс достаточно для последовательности HYSCORE.
Измерения электрон-ядерных взаимодействий с помощью последовательности HYSCORE были проведены при двух значениях индукции магнитного поля: B0 = = 344.3 и 118.2 мТл, которые позволяют наблюдать суммарный спектр HYSCORE (рис. 21а) и спектр только от второго центра (рис. 21б).
Рис. 21. Двумерный спектр электрон-ядерных взаимодействий, измеренный с помощью последовательности HYSCORE: пунктирными линиями показаны области ожидаемых взаимодействий с ядрами 1H, 31P и изотопами 155Gd, 157Gd; B0 = 344.3 (а), 118.2 мТл (б) [22].
Как можно видеть из рис. 21б, для второго центра наблюдается сильное взаимодействие с ядром фосфора. Пик, соответствующий этому взаимодействию, узкий, что указывает на отсутствие значительных разбросов в расстояниях Gd–P и малое искажение кристаллической структуры. В случае же суммы двух спектров HYSCORE электрон-ядерное взаимодействие с фосфором размывается, причем существенно сильнее, чем должно быть для перехода –1/2↔1/2, что также указывает на локализацию гадолиния в слабокристалличной фазе.
Микроструктура керамики из порошков, полученных осаждением из растворов, неоднородна: присутствуют как крупные конгломераты, состоящие из более мелких, спекшихся друг с другом зерен, так и более мелкие зерна размером от 1 до 49 мкм. Керамика, полученная из порошков, синтезированных с применением механоактивации, выглядит более однородной, размер зерна варьирует от 0.4 до 1.4 мкм (рис. 22, табл. 2).
Таблица 2. Средние размеры зерен керамики из 0.1Gd-ТКФ, спеченной при 1100°С
Образец | 0.1Gd-ТКФМА | 0.1Gd-ТКФос |
Минимальный, мкм | 0.416 | 1.235 |
Максимальный, мкм | 1.428 | 49.125 |
Средний, мкм | 0.8245 | 2.2345 |
Рис. 22. Микроструктура образцов 0.1Gd-ТКФ после спекания при 1100°С, полученных с использованием механоактивации (а, в), осаждением из растворов с последующей кальцинацией (б, г) [31] (масштаб линейки: а – 20 мкм, б – 10 мкм, в – 200 мкм, г – 50 мкм).
ИК-спектры гадолиний-замещенных ТКФ имеют вид, характерный для всех замещенных ТКФ (рис. 23). Отнесение полос колебаний представлено в табл. 3. По результатам ИК-спектроскопии подтверждается формирование примесной фазы ПФК, что согласуется с результатами РФА. Колебания гидроксильных групп проявляются только в образцах, полученных с использованием механоактивации. Положение OH-полос, отсутствие полосы при 633 см–1, а также расщепление колебаний гидроксильной группы (3644, 3544 см–1) для образца 0.1Gd-ТКФМА может свидетельствовать о вхождении в структуру апатитовой фазы ионов Cl–. Следует также отметить присутствие полос, отнесенных к карбонатной группе, что указывает на замещение части групп PO43– на CO32–.
Таблица 3. Данные ИК-спектроскопии Gd-ТКФ
Группа | Частота, см–1 | Тип колебания |
OH(Cl) | 3644, 3544 | Валентное |
PO4 | 973 | ν1 |
PO4 | 493, 432 | ν2 |
PO4 | 1123, 1044 | ν3 |
PO4 | 607, 574, 556 | ν4 |
P2O74– | 1212, 727 | Валентное P–O–P |
CO3 | 1490 | ν3 |
CO3 | 875 | ν2 |
Рис. 23. ИК-спектры гадолиний-замещенных ТКФ, синтезированных методами осаждения и гетерофазным после термообработки при 900°С [31].
Исследование метаболической активности клеток NCTC L929 с использованием МТТ-теста (рис. 24) показало отсутствие значимых различий между опытом и контролем у образцов, полученных методом осаждения, и у образцов ТКФ, содержащих 0.51 мас.% Gd, свидетельствующее об отсутствии токсического действия трехсуточных вытяжек. Вытяжки из образцов ТКФ, допированных гадолинием в количестве 0.51 мас.%, полученных с использованием механоактивации, оказывают угнетающее действие на фибробласты NCTC L929 (достоверность по U-критерию Манна–Уитни p < 0.01).
Рис. 24. Метаболическая активность клеток NCTC L929 по результатам МТТ-теста при инкубации в течение 24 ч с 3-суточными вытяжками из материалов с содержанием гадолиния 0, 0.51 и 5.06 мас.% (0, 0.01 и 0.1 соответственно) [31].
Однако посев клеток на поверхность исследуемых материалов и исследование их жизнеспособности (метод прямого контакта) позволили установить отсутствие токсического действия у образцов, содержащих гадолиний (рис. 25).
Рис. 25. Количество клеток DPSC, посеянных на поверхность образцов ТКФос (1), ТКФМА (2), 0.01Gd-ТКФос (3), 0.01Gd-ТКФМА (4), 0.1Gd-ТКФос (5), 0.1Gd-ТКФМА (6), контроль (7) (бар ошибок – стандартное отклонение) [31].
Исследование показало, что происходит снижение общего количества клеток на материалах, допированных ионами Gd3+, полученных с использованием механоактивации, по сравнению с контролем. Однако количество мертвых клеток на поверхности всех исследуемых материалов незначительное, что говорит об отсутствии цитотоксичности данных материалов.
Силикат-замещенные ТКФ
Силикат-замещенные ТКФ были исследованы в работах [33–37]. Силикат-замещенные фосфаты для инженерии костной ткани описаны в [37]. Силикат-замещенные ГА были синтезированы методами осаждения и с применением механохимической активации с использованием тетраэтоксисилана в качестве источника силикат-ионов. Установлено, что фазовый состав зависит от концентрации силиката: фаза апатита образуется при содержании силиката 0.09 мас.%, а витлокита – при увеличении концентрации силиката в 10 раз – до 0.90 мас.%.
Микроструктура керамики неоднородна (рис. 26). Керамика, спеченная из порошков, синтезированных с применением механоактивации, характеризуется более мелким размером зерна. Неоднородность и шероховатость поверхности материала увеличиваются с увеличением концентрации силиката. Увеличение содержания кремния в синтезированных TКФ повышает их термическую стабильность. Керамика из замещенных кремнием TКФ не проявляет цитотоксичности. Керамика TКФ, содержащая 0.9 мас.% силикат-ионов, обладает выраженной антибактериальной активностью в отношении штамма E. сoli, тогда как керамика из TКФ не проявляет антибактериальной активности.
Рис. 26. Микроструктура керамики, спеченной при 1100°С из порошков кремний-замещенных ТКФ, полученных методом осаждения из растворов солей (а), с использованием механоактвации (б) [37].
Двойные замещенные ТКФ
Известно [38], что одновременное замещение ионов кальция в ГА ионами цинка и стронция улучшает антибактериальные свойства материалов. Покрытие, нанесенное на металлические имплантаты, приобретает антибактериальные свойства и улучшенные матриксные свойства за счет введения допирующих ионов цинка и стронция. Результаты FTIR и XPS свидетельствуют о том, что полученные двойные замещенные стронцием и цинком ТКФ дегидроксилированы и являются дефицитными по кальцию. Только покрытие из незамещенного ГА и стронцийзамещенного ГА содержали дополнительно ионы CO32−. Результаты рентгенографии показывают, что ни одно из покрытий, полученных в этом исследовании, не содержит каких-либо других примесей. Все пики на дифрактограммах соответствуют ГА (картотека JCPDS, № 01-072-1243), хотя и наблюдаются смещения в область малых углов 2θ, что обусловлено замещением ионов кальция на ионы стронция в решетке ГА.
Описаны [39] двойные замещенные ТКФ с железом и цинком: соединения были синтезированы методом осаждения из водных растворов, изучено замещение от 1 до 5 мол.%. С помощью Рамановской спектроскопии показано, что двойное замещение Ca2+ на Fe3+ и Zn2+ вызывает искажения в кристаллической решетке ТКФ. Исследования in vivo керамики из этих замещенных ТКФ показали, что образцы не токсичны, однако их механические свойства не улучшились.
Твердые растворы Ca3–2x(MˊMˊˊ)x(PO4)2 (M = Zn2+, Cu2+, Mn2+ и Sr2+) были синтезированы твердофазным способом. Исследование рентгеновской дифракции порошка показывает образование структуры витлокита в качестве основной фазы во всех твердых растворах [40]. Кристаллические структуры (рис. 27) и химические составы были установлены с использованием инфракрасных спектров поглощения с преобразованием Фурье (FT-IR) и данных энергодисперсионной рентгеновской спектрометрии (EDX) соответственно.
Рис. 27. Проекции структуры β-ТКФ вдоль оси [210]: слои только с B-столбцами (a), с A- и B-столбцами (б) [40].
Параметры элементарной ячейки и объем синтезированных образцов напрямую зависят от радиуса внедренных ионов. Пределы однофазности твердых растворов были определены на основе возможного заполнения кристаллических участков в структуре β-TКФ (рис. 28).
Рис. 28. Многогранники положений Ca(4) и Ca(5) в структурах типа β-ТКФ [40].
Для двухвалентных ионов с малыми радиусами предельный состав был найден как Ca2.571Mˊ0.429–xMˊˊx(PO4)2, где Mˊ и Mˊˊ – Cu2+ и Zn2+. Увеличение элементарной ячейки за счет введения Sr2+ позволяет увеличить предел твердых растворов до Ca2.5Sr0.5–x Mˊx(PO4)2 для Mˊ – Cu2+ или Mn2+.
На рис. 29 звездочками отмечены колебания, отнесенные к α- и/или β-Ca2P2O7.
Рис. 29. ИК-спектры образцов Cu-β-TКФ (1), (Cu+Zn)-β-TКФ (2), (Mn+Sr)-β-TКФ (3), (Cu+Sr)-β-TКФ (4) [40].
Антибактериальные свойства были изучены на четырех бактериях (S. aureus, P. aeruginosa, E. coli и E. faecalis) и грибе (C. albicans). Было показано, что совместно легированный образец Ca2.5Sr0.25Cu0.25(PO4)2 проявляет самую высокую антимикробную активность, что приводит к 92, 96 и 96%-ному подавлению роста S. aureus, P. aeruginosa и E. faecalis соответственно. Антимикробные свойства тесно связаны с заполнением кристаллических участков в структуре β-TКФ легирующими ионами.
В работе [41] показано, что цинк-силикат-замещенный ГА можно синтезировать быстрым механохимическим методом: однофазный наноразмерный цинк-силикат-замещенный ГА образуется за 30 мин. Установлено, что при данном двойном замещении в отожженных образцах ион цинка замещает ионы кальция.
В [42] представлены результаты исследования процесса механохимического синтеза апатитов с одновременным замещением кальция на лантан и фосфата на силикат. Реагенты реакционных смесей взяты таким образом, чтобы получить соединения, содержащие равные концентрации лантана и кремния. Синтез проведен в планетарной мельнице АГО-2. Показано, что при синтезе замещенного апатита полная конверсия исходных реагентов происходит за большее время, чем требуется для получения незамещенного ГА. Обнаружено, что для получения лантан-силикат-замещенного апатита со степенью замещения менее 6 молей длительность механохимического синтеза должна составлять 40 мин. При концентрации заместителей более 6 молей полная конверсия исходных реагентов происходит после 100 мин механического воздействия.
Мезопористое биоактивное стекло (МБС) – это широко изученный биоматериал, используемый для заживления костных дефектов. Его биологическое применение может быть адаптировано путем введения ионов металлов, таких как стронций и медь, которые могут усилить его функциональные возможности, включая остеогенетические, ангиогенетические и антибактериальные. В [43] ионы Cu2+ и Sr2+ были совместно введены (соотношение 1 : 1) с x = = 0.5, 1 и 2 мол.% каждый в стекло с предполагаемым номинальным составом 80SiO2– (15–2x)CaO–5P2O5–xCuO–xSrO. Синтез проводили с использованием золь–гельметода на основе техники самоорганизующегося испарения (EISA). Рентгенография подтвердила аморфную природу стекла, а анализ состава с использованием ICP-OES подтвердил требуемое количество легирующих ионов. ПЭМ-исследование порошков МБС выявило наличие полос, соответствующих образованию высокоупорядоченной мезопористой структуры. Образец МБС, легированный Cu+Sr, показал положительное влияние на образование апатита при погружении в SBF, хотя высвобождение ионов Cu и Sr было относительно медленным при содержании 1 мол.% каждой добавки, что свидетельствовало о стабильной сетчатой структуре стекла. Влияние ионов Cu и Sr исследовали на остеобластоподобную клеточную линию MG-63. При концентрации частиц 1 мас.%/об.% или ниже жизнеспособность клеток превышала 50%. Был проведен антибактериальный тест против грамотрицательных бактерий E. coli и грамположительных бактерий S. aureus. При последовательном увеличении содержания сопутствующих ионов в стекле зона ингибирования бактерий увеличивалась. Полученные результаты свидетельствуют о том, что легирование МБС ионами Cu и Sr в количестве до 2 мол.% может привести к специально подобранному замедленному высвобождению ионов для применения исследуемого стекла в качестве функционального биоматериала для регенерации костной ткани.
Бор-замещенные ТКФ
Известно, что бор и его соединения также проявляют антибактериальную активность [44–49]. Обзор [49] содержит описание борсодержащей керамики на основе фосфатов кальция, проявляющей антибактериальную активность.
Разработан борсодержащий брушитовый цемент для костной пластики [48]. Борсодержащий β-ТКФ (0.29B-ТКФ) с содержанием бора 1.03 мас.% для получения цементов синтезировали, как описано в [29], осаждением из водных растворов нитрата кальция и двухзамещенного фосфата аммония. В качестве затворяющей жидкости использовали 8%-ный водный раствор лимонной кислоты. Образцы цемента формовали в тефлоновой форме. Время схватывания цемента составило 4–5 мин, рН цемента сразу после смешивания составляло 5.5 и увеличивалось до 5.8–6.0 в течение 1 ч после замешивания, что наблюдалось ранее для аналогичных цементов [50]. По данным РФА, основными фазами борсодержащего цемента являются брушит и апатит.
Прочность цемента после формования увеличивалась со временем, что соответствует данным по прочности брушитового цемента на основе β-ТКФ [51].
Микроструктура борсодержащего цемента более равномерная и менее пористая по сравнению со структурой β-ТКФ (рис. 30).
Рис. 30. СЭМ-изображения брушитовых цементов: а – из β-ТКФ, б – из 0.29 В-ТКФ [48].
После выдерживания цементов в физиологическом растворе их фазовый состав и микроструктура претерпевают изменения. Происходит переход кристаллической фазы брушита (ДКФД) в апатит согласно уравнению
CaHPO4.2H2O + H2O →
→ Ca10(PO4)6(OH)2 + H3PO4. (10)
На дифрактограмме цемента после выдерживания в физиологическом растворе присутствуют отражения брушита, а также аморфная составляющая – по-видимому, плохо сформировавшийся апатит.
Изменение фазового состава сопровождается изменением микроструктуры (рис. 31). Изменяется форма и уменьшается размер частиц, из которых состоит цемент, прочность цемента снижается, и образец рассыпается на отдельные фрагменты.
Рис. 31. СЭМ-изображения цементов после выдерживания в физиологическом растворе: а – цемент на основе ТКФ; б – цемент на основе В-ТКФ [48].
Ход кривой разрушения типичен для хрупких материалов. При введении в структуру ТКФ бора происходит незначительное увеличение прочности до 23 МПа, что, возможно, связано с меньшей пористостью бор-содержащего цемента.
По результатам исследований in vitro, разработанные цементы на основе ТКФ и В-ТКФ являются биосовместимыми и перспективны для использования в хирургии костных тканей.
Исследования антибактериальной активности по отношению к грамотрицательному штамму E. coli и грамположительному штамму S. aureus ATCC25923 показали (рис. 32), что борсодержащий брушитовый цемент проявляет антибактериальную активность к этим штаммам, вызывая падение до нуля численности КОЕ штамма E. coli ATCC25922 уже через 3 ч инкубирования.
Рис. 32. Изменение уровня КОЕ штамма E. coli ATCC25922 при воздействии в течение 24 ч образцов цементов на основе В-ТКФ, а также в контроле (К) [48].
Марганец-замещенные ТКФ
Методом осаждения из водных растворов солей с последующей термообработкой получены марганец-замещенные ТКФ [52, 53] с содержанием марганца от 0.018 до 1.77 мас.%. В результате термообработок полученных соединений при температурах от 400 до 900оС формируются фосфаты со структурой витлокита (рис. 33).
Рис. 33. Дифрактограммы продуктов синтеза ТКФ и MnTКФ после прокаливания при 100 (а), 650 (б), 750 (в) и 900°С (г), а также ГA (PDF #96-901-4314) и β-TКФ (PDF #96-152-9467) [52].
По результатам РФА, прекурсоры всех четырех порошков после нагрева до 100°С были однофазными ГА (рис. 33а). Фазовый состав порошков сохраняется до 650°C. Примерно при 650°C (рис. 33б) начинается превращение ГА в β-ТКФ, и после отжига при 750°C, все порошки, кроме порошка с самым высоким содержанием Mn (0.1Mn-ТКФ), являлись двухфазными: ГA/β-TКФ (рис. 33в). Только порошок 0.1Mn-TКФ при этой температуре был однофазным β-ТКФ, что указывает на участие Mn в образовании β-TКФ. Косвенно это доказывает, что марганец входит в структуру β-TКФ. Все четыре образца после прокаливания при 900°C кристаллизуются в однофазный β-ТКФ (рис. 33г).
После прокаливания при 400°С ИК-спектр (рис. 34а) аналогичен ИК-спектру β-ТКФ. После прокаливания при 900°С (рис. 34б) в спектре увеличивается интенсивность полос, отнесенных к группе P2O74–.
Рис. 34. ИК-спектры образцов TКФ и Mn-TКФ, прокаленных при 400 (а) и 900°С (б) [52].
Спектры ЭПР Х-диапазона при комнатной температуре чистого TКФ и ТКФ, содержащих различные концентрации Mn2+, после прокаливания при 900°C представлены на рис. 35.
Рис. 35. Нормированные спектры непрерывного ЭПР Х-диапазона при комнатной температуре для MnxCa3−x(PO4)2 [52].
В целом спектры ЭПР соединений, содержащих Mn2+, достаточно сложные, особенно в низкосимметричных поликристаллических системах. Для них характерно нулевое расщепление поля. С увеличением содержания марганца наблюдаются два основных эффекта. Во-первых, спектральная интенсивность увеличивалась пропорционально концентрации допанта, что служит дополнительным доказательством того, что Mn2+ входит в кристаллическую решетку ТКФ. Во-вторых, спин-спиновое взаимодействие привело к расширению компонентов ЭПР. Следовательно, спектры ЭПР лучше разрешались при более низких концентрациях марганца (x = 0.001 в MnxCa3−x(PO4)2).
Митохондриальная активность ADMSC, измеренная как оптическая плотность при λ = 600 нм, свидетельствует о жизнеспособности клеток после различных обработок (рис. 36).
Рис. 36. Данные МТТ-теста для ТКФ и марганецсодержащих ТКФ [52].
Влияние ТКФ, без Mn и содержащего Mn, на дифференциацию ADMSC на остеогенные, адипогенные и хондрогенные было проанализировано с помощью окрашивания маркеров (рис. 37).
Эти маркеры включали кальцинированные минеральные узелки остеогенного ряда, липидные вакуоли адипогенной линии, а также внутри- и внеклеточные гликозаминогликаны хондрогенной линии. Как видно (рис. 37), добавление порошков ТКФ и Mn-ТКФ к ADMSCs, дифференцирующимся по остеогенному пути, увеличивает присутствие минералов внутри клеток и внутри внеклеточного матрикса.
Рис. 37. Флуоресцентное окрашивание контрольных ADMSC и ADMSC, дифференцированных в три разные линии: остеогенную, адипогенную и хондрогенную, с наличием и без присутствия образцов TКФ и Mn-TКФ [52].
Антибактериальная активность, по-видимому, является следствием взаимодействия материального объекта и микроорганизма и зависит от их свойств. Повышенная антибактериальная активность прямо пропорциональна концентрации Mn2+ внутри бактерий P. aeruginosa и E. fiecalis. Самая высокая концентрация Mn2+ (0.1Mn-TКФ) оказалась эффективна против всех пяти протестированных видов бактерий. TКФ и Mn-TКФ оказались более эффективными против грамположительных бактерий (рис. 38).
Рис. 38. Количество бактерий, нормализованное к контролю, для бульонов различных грамотрицательных и грамположительных микробов, обработанных в течение ночи (порошки TКФ и Mn-TКФ в соотношении 1:1000 мас./об.) [52].
Марганец-замещенные ТКФ в [53, 54] получали с использованием механоактивации. При содержании марганца 0.15 мас.% содержание фазы витлокита составило ~90 мас.%, ПФК – ~10 мас.%. При повышении содержания марганца до 1.49 мас.% содержание фазы витлокита составило ~70 мас.%, ПФК – ~30 мас.% (рис. 39).
Рис. 39. Дифрактограммы порошков Mn-ТКФ после обжига при 900°С [53].
Методом ИК-спектроскопии показано, что образцы, прокаленные при 400°С, обладают структурой апатита, тогда как повышение температуры прокалки до 900°С приводит к формированию структуры витлокита и ПФК.
Интенсификация процесса спекания начинается в интервале 920–1050°С. Повышение температуры обжига до 1200°С приводит к формированию плотноспеченной структуры с оплавленными участками и средним размером зерна 15–25 мкм (рис. 40). Увеличение содержания марганца в образцах приводит к снижению размера зерна полученной керамики.
Рис. 40. Микроструктура скола керамики из 0.01Mn-ТКФ (а–в) и 0.1Mn-ТКФ (г–е); температура обжига 1000 (а, г), 1100 (б, д) и 1200°С (в, е) [53].
По результатам исследований цитотоксических свойств установлено, что все образцы не являются цитотоксичными, поддерживают пролиферацию и распластывание клеток. Увеличение концентраций ПФК и марганца в образцах не оказывает влияния на цитотоксичность.
Из марганец-замещенных ТКФ, полученных с использованием механохимической активации, были нанесены покрытия на титановый субстрат [55, 56]. Описано нанесение покрытий методом плазменно-химического напыления [55]. По данным РФА с использованием метода Ритвельда, порошок Mn-TКФ состоял из двух фаз: Ca3(PO4)2 (около 70%) и ГА (около 30%), при этом фазовый состав нанесенных покрытий изменялся незначительно: TКФ (около 67%) и ГA (около 33%) (рис. 41).
Рис. 41. Дифрактограммы ТКФ и Mn-ТКФ: а – порошки до напыления, б – покрытия после напыления [55].
Спектр ЭПР порошка Mn-TКФ при комнатной температуре характеризуется типичным интенсивным сигналом в магнитном поле 300–400 Тл (рис. 42).
Рис. 42. Спектры ЭПР порошков Mn-TКФ до (1) и после (2) рентгеновского облучения [52].
Покрытия из ТКФ однородны и некомпактны из-за наличия мелких пор. Покрытия Mn-TКФ также шероховатые, с некоторыми кристаллическими включениями (рис. 43в, г).
Рис. 43. СЭМ-изображения покрытий ТКФ (а, б) и Mn-TКФ (в, г) [56].
После выдерживания покрытий в физиологическом растворе при рН 7.4 в течение 90 суток происходит растворение Mn-TКФ, сопровождающееся изменением элементного и фазового состава покрытий. С помощью EDX-анализа обнаружено соотношение Ca : P : C : O = 1 : 0 : 1.1 : 3.1, что соответствует карбонату кальция (CaCO3). Превращение фосфата кальция в карбонат кальция может происходить по схеме
Ca3(PO4)2 + 3CO2 + 3H2O →
→ 3CaCO3 + 2HPO42– + 4H+. (11)
Измерение краевых углов смачивания показало значительное изменение смачиваемости поверхности образцов титана, покрытых Mn-TКФ, по сравнению с титаном, покрытым TКФ. Среднее значение краевого угла смачивания поверхности уменьшилось с 90 ± 2 для ТКФ до 70 ± 5 для Мп-ТКФ. Таким образом, можно сделать вывод, что введение марганца в ТКФ приводит к гидрофилизации поверхности TКФ.
Стронций-замещенные ТКФ
Sr-ТКФ синтезированы [57] и охарактеризованы комплексом физико-химических методов (РФА, ИК-спектроскопия, СЭМ). Стронций-замещенные ТКФ с содержанием стронция 2.78 и 0.28 мас.% синтезированы двумя методами: осаждением из водных растворов с последующей кальцинацией и механоактивацией. Исследование фазового состава синтезированных порошков выявило, что основной фазой во всех образцах является витлокит. С увеличением содержания стронция увеличивается количество апатитовой фазы: от 0% в отсутствие стронция до 57% при содержании стронция 2.78 мас.%
По данным СЭМ, способ синтеза влияет на морфологию полученных порошков: в результате механоактивации образуются более мелкие порошки ТКФ и стронцийсодержащих ТКФ, чем при синтезе методом осаждения из водных растворов (рис. 44).
Рис. 44. СЭМ-изображения порошков TКФ (а, б), 0.1Sr-TКФ (в, г) и 0.5Sr-TКФ (д, е), прокаленных при 900°C [57].
В результате спекания при 1100°С порошков ТКФ и Sr-TКФ были получены образцы керамики (рис. 45).
Рис. 45. СЭМ-изображения керамики ТКФ (а, б), 0.1Sr-TКФ (в, г) и 0.5Sr-TКФ (д, е), спеченной при 1100°C [57].
С увеличением концентрации Sr2+ в ТКФ от 3.33 до 16.67 мол. % происходит припекание частиц друг к другу (рис. 45в, г), что указывает на процесс спекания. Размер зерна увеличивался с ростом концентрации Sr2+ (рис. 45д, е). По-видимому, для 0.5Sr-TКФ жидкая фаза образуется раньше и спекание протекает по жидкофазному механизму.
После выдерживания керамики из ТКФ и 0.5Sr-ТКФ в физиологическом растворе при рН 7.4 происходит изменение фазового состава (рис. 46). На дифрактограммах появляются пики при 4°, соответствующие 100%-ному пику октакальциевого фосфата (ОКФ). На СЭМ-снимках керамики после выдерживания в физиологическом растворе в течение 21 суток появляются кристаллы, собранные в “розетки”, характерные для ОКФ. Таким образом, в условиях живого организма происходит трансформация ТКФ в ОКФ.
Рис. 46. Дифрактограммы образцов ТКФ и 0.5Sr-ТКФ, спеченных при 1100°C, после выдерживания в физиологическом растворе в течение 21 суток [57].
Из стронций-замещенных β-ТКФ были изготовлены КФЦ [58]. Изучены кинетика изменения состава и морфология цементов (рис. 47–49).
Рис. 47. Дифрактограммы цементов через различные промежутки времени после смешивания [58]: а – цемент из β-ТКФ, б – цемент из Sr-ТКФ.
Рис. 48. СЭМ-изображения микроструктуры цементов TКФ и Sr-TКФ при разном времени, прошедшем после затворения [58].
Рис. 49. Зависимости плотности тока от продолжительности процесса осаждения покрытий Sr-ГА и Sr-ТКФ на подложке из сплава Mg0.8Ca, содержащего 80% кальция и 20% магния (а) а также шероховатости и толщины покрытий от приложенного напряжения (б) [59].
Как видно (рис. 47), интенсивность отражений, соответствующих фазе брушита, увеличивается со временем, прошедшим после затворения, а интенсивность отражений, соответствующих исходным компонентам (ТКФ и Ca(H2PO4)2.H2O) снижается.
Изменения фазового состава отражаются в изменении микроструктуры цементов (рис. 48). Через 200 ч после затворения превалируют частицы пластинчатой формы, характерные для брушита.
Прочность при сжатии цементов из ТКФ и Sr-TКФ увеличивалась в процессе твердения от 4.5 и 9.1 МПа через 2 ч после затворения, до 8.7 и 9.6 через 7 суток после затворения соответственно. Частичное замещение кальция на стронций в ТКФ способствовало увеличению прочности цементов при сжатии.
В результате выдерживания цементов в физиологическом растворе при рН 7.4 в течение 21 суток происходила химическая и фазовая трансформация цементов: ДКФД (фаза брушита) превращался в апатит.
Исследование метаболической активности фибробластов в присутствии экстрактов исследуемого цемента, проведенное с помощью МТТ-теста, показало, что оба цемента (на основе ТКФ и Sr-TКФ) являются биосовместимыми и между ними нет существенной разницы. Количество клеток, культивированных на поверхности цемента из Sr-TКФ, достоверно превышало количество клеток на цементе из ТКФ. Таким образом, частичное замещение кальция на стронций привело к улучшению клеточной пролиферации.
Из Sr-TКФ методом МДО были нанесены покрытия на биорезорбируемые имплантаты [59, 60].
Покрытия Sr-ГA характеризовались большими толщиной, шероховатостью Ra и размерами пор по сравнению с покрытиями из Sr-TКФ (рис. 49). Покрытия имели схожий фазовый состав и помимо аморфной фазы содержали кристаллические фазы: β-TКФ, α-TКФ, Mg3(PO4)2 и ГА. Оба типа покрытий продемонстрировали защитные свойства и высокую коррозионную стойкость. Однако покрытие Sr-ГA было менее растворимым и имело большую коррозионную стойкость, чем Sr-TКФ. В процессе растворения Sr-ГA pH среды несколько повышался, и выживаемость клеток была выше, чем в случае покрытия Sr-TКФ.
Барий-замещенные ТКФ
Синтезированы и изучены барий-замещенные ТКФ [61, 62]. Ва-ТКФ синтезировали методами осаждения из водных растворов и механохимическим [61, 62] с последующей кальцинацией. Количество ионов бария в обоих синтезах составляло от 0.4 до 4.3 мас.%. Согласно данным РФА, синтезированные соединения после термической обработки при 900°С характеризуются структурой витлокита. Керамические образцы для испытаний механической прочности получали спеканием при 1000, 1100 и 1200°С в камерной печи с силитовыми нагревателями в течение 2 ч. Установлено, что механическая прочность керамики Ва-ТКФ возрастает с увеличением температуры спекания. Микроструктура керамики однородная, размер зерна увеличивается при повышении температуры спекания от 1000 до 1200°С примерно в 10 раз. Растворимость керамики в физиологическом растворе оценивали, измеряя концентрацию ионов кальция. Выявлено, что растворимость керамики зависит от пористости и увеличивается с ростом содержания бария.
Магний-замещенные ФК
Магний является жизненно важным элементом, участвует в резорбции и формировании костной ткани [63]. В [64] рассмотрены синтез и свойства магний-замещенных ТКФ, которые могут использоваться для получения биоцементов. Синтез ТКФ проводили спеканием смеси СаСО3 и СаНРО4; спеканием той же смеси, но с частичной заменой СаСО3 на Мg(OН)2 и СаНРО4 на МgНРО4 (либо Мg2Р2О7) (при х ≠ 0). Прекурсоры СаНРО4 и МgНРО4 (либо Мg2Р2О7) были получены растворным синтезом с последующей термообработкой:
2Мg(СН3СОО)2 + 2(NH4)2HPO4 + 4Н2О →
→ МgHPO4.3H2O↓ +MgNH4PO4.H2O↓+
+ 3NH4СН3СОО+СН3СООН. (12)
Магний-замещенные цементы получали в ходе кислотно-основного взаимодействия. В качестве кислого компонента для получения цемента был выбран моногидрат монокальцийфосфата, в качестве основного – магний-замещенный ТКФ. Смешение данных компонентов с жидкостью затворения приводит к образованию кристаллогидратов ДКФД, имеющего структуру минерала брушита
Са(Н2РО4)2∙Н2О + β-MgxСа3–x(РО4)2 +
+ 7Н2О → 4Са(Mg)НРО4∙2Н2О. (13)
Твердение цемента обусловлено срастанием микрокристаллов образовавшихся кристаллогидратов.
Изучен синтез магний-замещенных ГА [65]: показано, что термическая устойчивость Mg-ГА уменьшается с увеличением содержания магния. Рост температуры от комнатной до 1000°С приводит к разложению ГА и возникновению фазы витлокита.
В [66] осуществлено варьирование параметров синтеза в системе MgO–CaO–P2O5 для получения продуктов разного состава. В качестве варьируемых параметров были выбраны pH раствора, температура синтеза, изначальное соотношение катионов кальция магния и фосфат-аниона. Доля магния в витлоките была определена с помощью метода Вегарда исходя из веществ со структурой витлокита. Путем аппроксимации было получено выражение для доли магния в витлоките.
В [67] представлено исследование бифазной керамики (БФК) на основе ГА-ТКФ. Показано, что частичное замещение кальция магнием приводит к образованию БФК с различным отношением ГА/β-ТКФ. Магний изоморфно замещает позиции атомов кальция. Ионы магния входят в структуру β-ТКФ, изменяя параметры элементарной ячейки β-ТКФ в связи с разными ионными радиусами магния и кальция. Параметры элементарной ячейки ГА не изменяются. Исследованиями кинетики растворения БФК в жидкости, моделирующей жидкость организма, установлено, что кинетика процесса растворения – многостадийна, соответствует кинетике гетерофазного растворения, описывается экспоненциальной зависимостью от времени. Выявлена зависимость параметров экспоненциальной функции, характеризующих скорость растворения, от состава БФК-керамики. Установлены особенности эволюции микроструктуры, фазового и химического состава БФК-керамики в процессе растворения.
Натрий- или калий-замещенные ТКФ
В [68] изучен синтез двойных фосфатов Ca3–xМ2x(PO4)2 (М = Na, K) для создания макропористой биокерамики со специальной архитектурой. Показано, что фазовые соотношения на квазибинарных разрезах Ca3(PO4)2–CaМPO4 (М = Na, K) характеризуются высокотемпературным изоморфизмом между глазеритоподобными фазами α’-Ca3(PO4)2 и α-CaМPO4. В области составов, близких к чистым компонентам, понижение температуры приводит к относительно быстрым фазовым превращениям I рода деформационного характера. В области средних составов понижение температуры сопровождается катионным упорядочением высокотемпературного твердого раствора на основе α-CaMPO4 с образованием индивидуальных фаз. В керамиках на основе β-CaNaPO4 и β-CaКPO4 быстро протекающее полиморфное превращение вызывает образование трещин в первом случае значительный положительный объемный эффект превращения может приводить к разрушению образцов. Для предотвращения этого явления предложено использовать материалы, содержащие высокотемпературные полиморфные модификации α-CaМPO4 нестехиометрического состава с Cа/М > 1 (М = Na, K). Впервые получены образцы макропористой керамики на основе смешанных фосфатов кальция и щелочных металлов с архитектурой Кельвина, обеспечивающие высокую остеокондуктивность и биорезорбируемость, а также характеризующиеся достаточной механической прочностью (до 10 МПа).
В работах [69–73] установлено, что существующий выше 700°С непрерывный ряд твердых растворов на основе α-Са(K,Na)РО4 при понижении температуры претерпевает эвтектоидный распад на твердые растворы на основе β-СаМРО4 (M = K или Na) и промежуточное соединение “С” – глазеритоподобную фазу переменного состава β-CaKyNa1–yPO4 с широкой областью гомогенности (y = 0.45–0.78 при 500°С). При температурах ниже 500°С в фазовых равновесиях участвуют твердые растворы на основе β-Ca3(PO4)2, β-CaNaPO4, β-CaK0.6Na0.4PO4 и β-CaKPO4. Показано, что практический интерес с точки зрения использования в качестве резорбируемой биокерамики представляют составы, принадлежащие при температуре спекания к однофазной области твердого раствора фазы “А”, двухфазной области “А”+β-ТКФ и трехфазной области “А”+“Х”+β-ТКФ. Установлено, что в системе CaKPO4–CaNaPO4 при увеличении доли калия прочность керамики, а также ее трещиностойкость увеличиваются, что связано с уменьшением изменения объема при фазовом переходе в СаМРО4 при увеличении доли калия. Основным механизмом упрочнения керамики является торможение трещин при достижении ими пор.
Финансирование работы
Работа выполнена при финансовой поддержке Госзадания № 075-00320-24-00 ИМЕТ РАН.
Конфликт интересов
Авторы заявляют, что у них нет конфликта интересов.
About the authors
И. В. Фадеева
Институт металлургии и материаловедения им. А.А. Байкова Российской академии наук
Author for correspondence.
Email: fadeeva_inna@mail.ru
Russian Federation, Ленинский пр., 49, Москва, 119334
Д. В. Дейнеко
Московский государственный университет им. М.В. Ломоносова; Кольский научный центр Российской академии наук
Email: fadeeva_inna@mail.ru
химический факультет; Лаборатория арктической минералогии и материаловедения
Russian Federation, Ленинские горы, 1, Москва, 119991; ул. Ферсмана, 14, Апатиты, Мурманская обл., 184209И. И. Преображенский
Московский государственный университет им. М.В. Ломоносова
Email: fadeeva_inna@mail.ru
факультет наук о материалах
Russian Federation, Ленинские горы, 1, Москва, 119991В. Н. Лебедев
Московский государственный университет им. М.В. Ломоносова
Email: fadeeva_inna@mail.ru
химический факультет
Russian Federation, Ленинские горы, 1, Москва, 119991References
- Баринов С.М., Комлев В.С. Подходы к созданию пористых материалов на основе фосфатов кальция, предназначенных для регенерации костной ткани // Неорган. материалы. 2016. Т. 52. № 4. С. 383–391. https://doi.org/10.7868/S0002337X16040023
- Bose S., Tarafder S. Calcium phosphate ceramic systems in growth factor and drug delivery for bone tissue engineering: a review // Acta Biomater. 2012. V. 8. № 4. P. 1401–1421. https://doi.org/10.1016/j.actbio.2011.11.017
- Samavedi S., Whittington A.R., Goldstein A.S. Calcium phosphate ceramics in bone tissue engineering: a review of properties and their influence on cell behavior // Acta Biomater. 2013. V. 9. № 9. P. 8037–8045. https://doi.org/10.1016/j.actbio.2013.06.014
- Fadeeva I.V., Gafurov M., Kiiaeva I.A., Orlinskii S., Kuznetsova L.M., Filippov Ya.Yu., Fomin A., Davydova G.A., Selezneva I.I., Barinov S.M. Tricalcium Phosphate Ceramics Doped with Silver, Copper, Zinc, and Iron (III) Ions in Concentrations of Less than 0.5 wt.% for Bone Tissue Regeneration // Bionanoscience. 2017. V. 7. № 2. P. 434–438. https://doi.org/10.1007/s12668-016-0386-7
- Cheng G., Deng C., Wu C., Yin H., Ruan Y., Sun Y., Xie Q., Wu X. Effects of Mn-doping on the structural evolution of β-Tricalcium Phosphate by Rietveld refinement and Raman spectroscopy // Mater. Lett. 2019. V. 235. P. 236–238. https://doi.org/10.1016/j.matlet.2018.10.031
- Yin X., Calderin L., Stott M. J., Sayer M. Density functional study of structural, electronic and vibrational properties of Mg- and Zn-doped tricalcium phosphate biomaterials // Biomaterials. 2002. V. 23. № 20. P. 4155–4163. https://doi.org/10.1016/S0142-9612(02)00199-0
- Dong G., Zheng Y., He L., Wu G., Deng C. The effect of silicon doping on the transformation of amorphous calcium phosphate to silicon-substituted α-tricalcium phosphate by heat treatment // Ceram. Int. 2016. V. 42. № 1. P. 883–890. https://doi.org/10.1016/j.ceramint.2015.09.013
- Khon V.E., Zagorodniy N.B., Mamonov V.E., Glasko E.N., Petrakova N., Shalbev A.N., Pkhakadze T.Ya., Komlev V.S. Study of Biocompatibility and Antibacterial Properties of Argentum-Tricalcium Phosphate In Vivo // N.N. Priorov J. Traumatol. Orthop. 2014. № 3. P. 56–61. https://doi.org/10.32414/0869-8678-2014-3-56-61
- Hoover S., Tarafder S., Bandyopadhyay A., Bose S. Silver doped resorbable tricalcium phosphate scaffolds for bone graft applications // Mater. Sci. Eng., C. 2017. V. 79. P. 763–769. https://doi.org/10.1016/j.msec.2017.04.132
- Chen S., Zhu P., Mao L., Wu W., Lin H., Xu D., Lu X., Shi J. Piezocatalytic Medicine: An Emerging Frontier using Piezoelectric Materials for Biomedical Applications // Adv. Mater. 2023. V. 35. № 25. https://doi.org/10.1002/adma.202208256
- Шпиняк С.П., Барабаш А.П., Лясникова А.В. Применение спейсеров в лечении инфекционных осложнений тотального эндопротезирования коленного сустава // Современные проблемы науки и образования. 2015. №. 5.
- Graziani G., Barbaro K., Fadeeva I.V., Ghezzi D., Fosca M., Sassoni E., Vadala G., Cappelletti M., Valle F., Baldini N., Rau J. V. Ionized jet deposition of antimicrobial and stem cell friendly silver-substituted tricalcium phosphate nanocoatings on titanium alloy // Bioact. Mater. 2021. V. 6. № 8. P. 2629–2642. https://doi.org/10.1016/j.bioactmat.2020.12.019
- Rau J.V., Fosca M., Graziani V., Egorov A.A., Zobkov Yu. V., Fedotov A.Yu., Ortenzi M., Caminiti R., Baranchikov A.E., Komlev V.S. Silver-Doped Calcium Phosphate Bone Cements with Antibacterial Properties // J. Funct. Biomater. 2016. V. 7. № 2. P. 10. https://doi.org/10.10.3390/jfb7020010
- Robu A., Antoniac A., Ciocoiu R., Grosu E., Rau J.V., Fosca M., Krasnyuk I.I., Pircalabioru G.G., Manescu V., Antoniac I.V., Gradinaru S. Effect of the Antimicrobial Agents Peppermint Essential Oil and Silver Nanoparticles on Bone Cement Properties // Biomimetics. 2022. V. 7. № 3. P. 137. https://doi.org/10.3390/biomimetics7030137
- Robu A., Antoniac A., Grosu E., Vasile E., Raiciu A.D., Iordache F., Antoniac V.I., Rau J.V., Yankova V.G., Ditu L.M., Saceleanu V. Additives Imparting Antimicrobial Properties to Acrylic Bone Cements // Materials. 2021. V. 14. № 22. P. 7031. https://doi.org/10.3390/ma14227031
- Fosca M., Streza A., Antoniac I.V., Vadalà G., Rau J.V. Ion-Doped Calcium Phosphate-Based Coatings with Antibacterial Properties // J. Funct. Biomater. 2023. V. 14. № 5. P. 250. https://doi.org/10.3390/jfb14050250
- Sedelnikova M.B., Komarova E.G., Sharkeev Y., Ugodchikova A.V., Tolkacheva T.V., Rau J.V., Buyko E., Ivanov V.V., Sheikin V.V. Modification of titanium surface via Ag-, Sr- and Si-containing micro-arc calcium phosphate coating // Bioact. Mater. 2019. V. 4. P. 224–235. https://doi.org/10.1016/j.bioactmat.2019.07.001
- Lyasnikova A.V., Markelova O.A. Dudareva O.A., Grishina I.P., Lyasnikov N.V. “Titanium–Silver-Substituted Calcium Phosphates” Plasma Coatings: Properties, Comparison, and Prospects of Application // Metallurgist. 2018. V. 62. № 7–8. P. 831–836. https://doi.org/10.1007/s11015-018-0726-7
- Krokhicheva P.A., Goldberg M.A., Fomin A.S., Khayrutdinova D.R., Antonova O.S., Baikin A.S., Konovalov A.A., Leonov A.V., Mikheev I.V., Merzlyak E.M., Kirsanova V.A., Sviridova I.K., Sergeeva N.S., Barinov S.M., Komlev V.S. Enhanced bone repair by silver-doped magnesium calcium phosphate bone cements // Ceram. Int. 2023. V. 49. № 11. P. 19249–19264. https://doi.org/10.1016/j.ceramint.2023.03.052
- Graziani V., Fosca M., Egorov A.A., Zobkov Yu.V., Fedotov A.Yu., Baranchikov A.E., Ortenzi M.A., Caminiti R., Komlev V.S., Rau J.V. Zinc-releasing calcium phosphate cements for bone substitute materials // Ceram. Int. 2016 V. 42. № 15. P. 17310–17316. https://doi.org/10.1016/j.ceramint.2016.08.027
- Fadeeva I.V., Goldberg M.A., Preobrazhensky I.I., Mamin G.V., Davydova G.A., Agafonova N.V., Fosca M., Russo F., Barinov S.M., Cavulu S., Rau J.V. Improved cytocompatibility and antibacterial properties of zinc-substituted brushite bone cement based on β-tricalcium phosphate // J. Mater. Sci.: Mater. Med. 2021. V. 32. № 9. P. 99. https://doi.org/10.1007/s10856-021-06575-x
- Krokhicheva P.A., Goldberg M.A., Fomin A.S., Khayrutdinova D.R., Antonova O.S., Baikin A.S., Leonov A.V., Merzlyak E.M., Mikheev I.V., Kirsanova V.A., Sviridova I.K., Akhmedova S.A., Sergeeva N.S., Barinov S.M., Komlev V.S. Zn-Doped Calcium Magnesium Phosphate Bone Cement Based on Struvite and Its Antibacterial Properties // Materials. 2023. V. 16. № 13. P. 4824. https://doi.org/10.3390/ma16134824
- Зуев Д.М., Климашина Е.С., Евдокимов П.В., Филиппов Я.Ю., Путляев В.И. Механические характеристики композиционных материалов на основе β-Ca3(PO4)2/поли(D, L-лактид)а и β-Ca3(PO4)2/поли(ε-капролактон)а // Материаловедение. 2018. Т. 5. С. 31–35. https://doi.org/10.1134/S2075113319010416
- Гольдберг М.А., Крохичева П.А., Хайрутдинова Д.Р., Фомин А.С, Ихлова А.М., Комлев В.С. Подходы к созданию инжектируемых костных цементов // Перспективные технологии и материалы. Севастополь. 2021. C. 137–139.
- Кульпина С.О., Форысенкова А.А. Брушитовый цемент на основе β-трикальцийфосфата с поливинилпирролидоном для реконструкции поврежденных костных тканей // Молодые ученые России. Сб. статей Всерос. науч.-практ. конф. Пенза. 2020. С. 14–20.
- Fadeeva I.V., Deyneko D.V., Knotko A.V., Olkhov A.A., Slukin P.V., Davydova G.A., Trubitsyna T.A., Preobrazhenskiy I.I., Gosteva A.N., Antoniac I.V., Rau J.V. Antibacterial Composite Material Based on Polyhydroxybutyrate and Zn-Doped Brushite Cement // Polymers. 2023. V. 15. № 9. P. 2106. https://doi.org/10.3390/polym15092106
- Fadeeva I.V., Lazoryak B.I., Davydova G.A., Murzakhanov F., Gabbasov B.F., Petrakova N., Fosca M., Barinov S.M., Vadala’ G., Uskokovic V., Zheng Y., Rau J.V. Antibacterial and cell-friendly copper-substituted tricalcium phosphate ceramics for biomedical implant applications // Mater. Sci. Eng., C. 2021. V. 129. P. 112410. https://doi.org/10.1016/j.msec.2021.112410
- Rau J.V., Wu V.M., Graziani V., Fadeeva I.V., Fomin A.S., Fosca M., Uskokovic V. The Bone Building Blues: Self-hardening copper-doped calcium phosphate cement and its in vitro assessment against mammalian cells and bacteria // Mater. Sci. Eng., C. 2017. V. 79. P. 270–279. https://doi.org/10.1016/j.msec.2017.05.052
- Фадеева И.В., Селезнева И.И., Давыдова Г.А., Фомин А.С., Антонова О.С., Филиппов Я.Ю., Баринов С.М. Керамика из железозамещенных трикальцийфосфатов // Доклады Академии наук. 2016. Т. 468. № 2. С. 171–174. https://doi.org/10.7868/S0869565216140139
- Uskoković V., Graziani V., Wu V.M., Fadeeva I.V., Fomin A.S., Presniakov I.A., Fosca M., Ortenzi M., Caminiti R., Rau J.V. Gold is for the mistress, silver for the maid: Enhanced mechanical properties, osteoinduction and antibacterial activity due to iron doping of tricalcium phosphate bone cements // Mater. Sci. Eng., C. 2019. V. 94. P. 798–810. https://doi.org/10.1016/j.msec.2018.10.028
- Fadeeva I.V., Deyneko D.V., Barbaro K., Davydova G.A., Sadovnikova M.A., Murzakhanov F.F., Fomin A.S., Yankova V.G., Antoniac I.V., Barinov S.M., Lazoryak B.I., Rau J.V. Influence of Synthesis Conditions on Gadolinium-Substituted Tricalcium Phosphate Ceramics and Its Physicochemical, Biological, and Antibacterial Properties // Nanomaterials. 2022. V. 12. № 5. P. 852. https://doi.org/10.3390/nano12050852
- Clayton J.A., Keller K., Qi M., Wegner J., Koch V., Hintz H., Godt A., Han S., Jeschke G., Sherwin M.S., Yulikov M. Quantitative analysis of zero-field splitting parameter distributions in Gd (III) complexes // Phys. Chem. Chem. Phys. 2018. V. 20. № 15. P. 10470–10492. https://doi.org/10.1039/C7CP08507A
- Van Rijt S., De Groot K., Leeuwenburgh S.C.G. Calcium Phosphate and Silicate-Based Nanoparticles: History and Emerging Trends // Tissue Eng., Part A. 2022. V. 28. № 11–12. P. 461–477. https://doi.org/10.1089/ten.tea.2021.0218
- Solonenko A.P., Blesman A.I., Polonyankin D.A., Gorbunov V.A. Synthesis of Calcium Phosphate and Calcium Silicate Composites // Russ. J. Inorg. Chem. 2018. V. 63. № 8. P. 993–1000. https://doi.org/10.1134/S0036023618080211
- Чайкина М.В., Булина Н.В., Просанов И.Ю., Ищенко А.В., Медведко О.В., Аронов А.М. Механохимический синтез гидроксилапатита с SiO44–-замещениями // Химия в интересах устойчивого развития. 2012. T. 20. № 4. C. 477–489.
- Сурменева М.А., Сурменев Р.А., Чайкина М.В., Качаев А.А., Пичугин В.Ф., Эппле М. Исследование фазового и элементного состава покрытий на основе кремнийсодержащего гидроксиапатита для медицинских имплантатов, полученных методом ВЧ-магнетронного распыления // Физика и химия обработки материалов. 2012. № 3. С. 51–60.
- Fadeeva I.V., Filippov Y.Y., Antonova O.S., Selezneva I.I., Fomin A.S., Barinov S.M., Davydova G.A., Shaposhnikov M.E., Poltavtseva R.A., Zaraiskii E.I., Mikheev A.Y., Akhemetov L.I. Synthesis of micro and nanosized bioresorbing silicon-substituted tricalcium phosphates for bone tissue engineering and their biological safety using mesenchymal stem cells // Nanosci. Technol.: Int. J. 2015. V. 6. № 4. P. 305–317. https://doi.org/10.1615/NanomechanicsSciTechnolIntJ.v6.i4.50
- Kannan S., Goetz-Neunhoeffer F., Neubauer J., Ferreira J. Cosubstitution of Zinc and Strontium in β-Tricalcium Phosphate: Synthesis and Characterization // J. Am. Ceram. Soc. 2011. V. 94. № 1. P. 230–235. https://doi.org/10.1111/j.1551-2916.2010.04070.x
- Sinusaite L., Popov A., Antuzevics A., Mazeika K., Baltrunas D., Yang J.C., Horng J.L., Shi S., Sekino T., Ishikawa K., Kareiva A., Zarkov A. Fe and Zn co-substituted beta-tricalcium phosphate (β-TCP): Synthesis, structural, magnetic, mechanical and biological properties // Mater. Sci. Eng., C. 2020. V. 112. P. 110918. https://doi.org/10.1016/j.msec.2020.110918
- Deyneko D.V., Fadeeva I.V., Borovikova E.Yu., Dzhevakov P.B., Slukin P.V., Zheng Y., Xia D., Lazoryak B.I., Rau J.V. Antimicrobial properties of co-doped tricalcium phosphates Ca3-2(MˊMˊˊ)(PO4)2 (M = Zn2+, Cu2+, Mn2+ and Sr2+) // Ceram. Int. 2022. V. 48. № 20. P. 29770–29781. https://doi.org/10.1016/j.ceramint.2022.06.237
- Макарова С.В., Булина Н.В., Чайкина М.В. Механохимический синтез цинк-силикат-замещенного гидроксиапатита // Наука. Технологии. Инновации. 2019. Т. 3. С. 98–101.
- Макарова С.В., Булина Н.В., Просанов И.Ю., Ищенко А.В., Чайкина М.В. Механохимический синтез апатита с одновременным замещением кальция на лантан и фосфата на силикат // Журн. неорган. химии. 2020. Т. 65. № 12. С. 1626–1632. https://doi.org/10.31857/S0044457X20120119
- Anand A., Sengupta S., Kaňková H., Švančárková A., Beltrán A.N., Galusek D., Boccaccini A.R., Galusková D. Influence of Copper-Strontium Co-Doping on Bioactivity, Cytotoxicity and Antibacterial Activity of Mesoporous Bioactive Glass // Gels. 2022. V. 8. № 11. P. 743. https://doi.org/10.3390/gels8110743
- Mukheem A., Shahabuddin S., Akbar N., Miskon A., Sarih N.M., Sudesh K., Khan N.A., Saidur R., Sridewi N. Boron Nitride Doped Polyhydroxyalkanoate/Chitosan Nanocomposite for Antibacterial and Biological Applications // Nanomaterials. 2019. V. 9. № 4. P. 645. https://doi.org/10.3390/nano9040645
- Unal S., Ekren N., Sengil A.Z., Oktar F.N., Irmak S., Oral O., Sahin Y.M., Kilic O., Agathopoulos S., Gunduz O. Synthesis, characterization, and biological properties of composites of hydroxyapatite and hexagonal boron nitride // J. Biomed. Mater. Res., Part B. 2018. V. 106. № 6. P. 2384–2392. https://doi.org/10.1002/jbm.b.34046
- Jodati H., Tezcaner A., Alshemary A.Z., Şahin V., Evis Z. Effects of the doping concentration of boron on physicochemical, mechanical, and biological properties of hydroxyapatite // Ceram. Int. 2022. V. 48. № 16. P. 22743–22758. https://doi.org/10.1016/j.ceramint.2022.04.058
- Aslan N., Aksakal B., Aksoy M. Boron-incorporated biocomposite coatings on 316L and NiTi alloys: Enhanced structural, antibacterial activity, and cell viability performances // Proc. Inst. Mech. Eng., Part H. 2022. V. 236. № 10. P. 1572–1580. https://doi.org/10.1177/09544119221122061
- Фадеева И.В., Фузайлова Ш., Дуденков И.В., Слукин П.В., Андреева Н.А., Кнотько А.В., Дейнеко Д.В. Брушитовый бор-содержащий цемент с антибактериальными свойствами // Перспективные материалы. 2024. T. 4. P. 31–37. https://doi.org/10.30791/1028-978X-2024-4-31-37
- Yilmaz B., Evis Z. Boron-Substituted Bioceramics: A Review // J. Boron. 2016. V. 1. № 1. P. 6–14.
- Rau J.V., Wu V.M., Graziani V., Fadeeva I.V., Fomin A.S., Fosca M., Uskoković V. The Bone Building Blues: Self-hardening copper-doped calcium phosphate cement and its in vitro assessment against mammalian cells and bacteria // Mater. Sci. Eng., C. 2017. V. 79. P. 270–279. https://doi.org/10.1016/j.msec.2017.05.052
- Фомин A.C., Фадеева И.В., Филиппов Я.Ю., Ковальков В.К., Григорьева М.А., Шворнева Л.И., Баринов С.М. Брушитовый цемент на основе β-трикальцийфосфата для ортопедии // Перспективные материалы. 2016. № 9. С. 45–50.
- Rau J.V., Fadeeva I.V., Fomin A.S., Barbaro K., Galvano E., Ryzhov A.P., Murzakhanov F., Gafurov M., Orlinskii S., Antoniac I., Uskoković V. Sic Parvis Magna: Manganese-Substituted Tricalcium Phosphate and Its Biophysical Properties // ACS Biomater. Sci. Eng. 2019. V. 5. № 12. P. 6632–6644. https://doi.org/10.1021/acsbiomaterials.9b01528
- Фадеева И.В., Фомин А.С., Баринов С.М., Давыдова Г.А., Селезнева И.И., Преображенский И.И., Русаков М.К., Фомина А.А., Волченкова В.А. Синтез и свойства марганецсодержащих кальцийфосфатных материалов // Неорган. материалы. 2020. Т. 56. № 7. С. 738–745. https://doi.org/10.31857/S0002337X20070052
- Русаков М.К., Фадеева И.В., Фомин А.С., Преображенский И.И. Марганец-содержащие кальцийфосфатные материалы для остеопластики // X конференция молодых ученых по общей и неорганической химии. Москва. 2020. T. 1. C. 157–158.
- Fadeeva I.V., Kalita V.I., Komlev D.I., Radiuk A.A., Fomin A.S., Davydova G.A., Fursova N.K., Murzakhanov F.F., Gafurov M.R., Fosca M., Antoniac I.V., Barinov S.M., Rau J.V. In Vitro Properties of Manganese-Substituted Tricalcium Phosphate Coatings for Titanium Biomedical Implants Deposited by Arc Plasma // Materials. 2020. V. 13. № 19. P. 4411. https://doi.org/10.3390/ma13194411
- Фадеева И.В., Волченкова В.А., Фомина А.А., Мамин Г.В., Шуртакова Д.В., Калита В.И. Исследование покрытий на титане из марганецсодержащего трикальцийфосфата, нанесенных плазменно-химическим методом // Неорган. материалы. 2021. Т. 57. № 9. С. 1018–1024. https://doi.org/10.31857/S0002337X21090074
- Fadeeva I.V., Deyneko D.V., Forysenkova A.A., Morozov V.A., Akhmedova S.A., Kirsanova V.A., Sviridova I.K., Sergeeva N.S., Rodionov S.A., Udyanskaya I.L., Antoniac I.V., Rau J.V. Strontium Substituted β-Tricalcium Phosphate Ceramics: Physiochemical Properties and Cytocompatibility // Molecules. 2022. V. 27. № 18. P. 6085. https://doi.org/10.3390/molecules27186085
- Rau J.V., Fadeeva I.V., Forysenkova A.A., Davydova G.A., Fosca M., Filippov Y.Yu., Antoniac A., D’Arco A., Di Fabrizio M., Petrarca M., Lupi S., Di Menno Di Bucchianco M., Yankova V.G., Putlayev V.I., Cristea M.B. Strontium Substituted Tricalcium Phosphate Bone Cement: Short and Long‐Term Time‐Resolved Studies and In Vitro Properties // Adv. Mater. Interfaces. 2022. V. 9. № 21. P. 2200803. https://doi.org/10.1002/admi.202200803
- Sedelnikova M.B., Sharkeev Y.P., Tolkacheva T.V., Khimich M.A., Bakina O.V., Fomenko A.N., Kazakbaeva A.A., Fadeeva I.V., Egorkin V.S., Gnedenkov S.V., Schmidt J., Loza K., Prymak O., Epple M. Comparative Study of the Structure, Properties, and Corrosion Behavior of Sr-Containing Biocoatings on Mg0.8Ca // Materials. 2020. V. 13. № 8. P. 1942. https://doi.org/10.3390/ma13081942
- Sedelnikova M.B., Sharkeev Yu., Komarova E.G., Kazakbaeeva A.A., Fadeeva I.V., Schmidt Ju., Valkovska V., Arāja A. Effect of the process voltage and electrolyte composition on the structure and properties of Sr-incorporated micro-arc calcium phosphate coatings formed on Mg–0.8Ca // AIP Conf. Proc. 2018. V. 2051. P. 020269. https://doi.org/10.1063/1.5083512
- Русаков М.К., Фадеева И.В., Фомин А.С., Баринов С.М. Керамика из барийзамещенных трикальцийфосфатов: синтез и свойства // Новые материалы и перспективные технологии. Москва. 2020. Т. 1. С. 421.
- Раджабова Г.Т., Русаков М.К. Керамические порошки из барий-и стронций-замещенных трикальцийфосфатов для медицины // Молодые ученые России. 2020. C. 21–26.
- Скальный А.В., Рудаков И.А. Биоэлементы в медицине. М.: Мир, 2004. С. 272.
- Артюкова А.Н., Лукина Ю.С., Сивков С.П., Свентская Н.В. Синтез и исследование свойств магнезиально-брушитовых биоцементов // Успехи в химии и хим. технологии. 2014. Т. 28. № 8. С. 11–14.
- Фадеева И.В., Шворнева Л.И., Баринов С.М., Орловский В.П. Синтез и структура магнийсодержащих гидроксиапатитов // Неорган. материалы. 2003. T. 39. № 9. C. 1102–1105.
- Подлягин В.A., Голубчиков Д.О., Путляев В.И. Исследование зависимости фащового состава порошков в системе MgO–CaO–P2O5 от условий синтеза для получения фазы витлокита // Сб. тез. XXII всерос. школы-конференции молодых ученых “Актуальные проблемы неорганической химии: энергия + ” Красновидово. 2023. C. 141–142.
- Кубарев О.Л. Формирование микроструктуры и свойств керамики на основе гидроксиапатита и трикальцийфосфата: дис. канд. хим. наук. 05.17.11. Москва. 2007. C. 124.
- Евдокимов П.В. Синтез двойных фосфатов Ca(3–x)М2x(PO4)2 (М = Na, K) для создания макропористой биокерамики со специальной архитектурой: дис. канд. хим. наук 02.00.21. Москва. 2014. C. 159.
- Орлов Н.К., Киселева А.К., Милькин П.А., Евдокимов П.В., Путляев В.И., Лиу Я. Экспериментальное изучение высокотемпературной области системы Ca3(PO4)2–CaKPO4–CaNaPO4 // Журн. физ. химии. 2021. Т. 95. № 7. С. 982–986. https://doi.org/10.31857/S0044453721070190
- Orlov N.K., Kiseleva A.K., Milkin P.A., Evdokimov P.V., Putlayev V.I., Günster J., Biesuz M., Sglavo V.M., Tyablikov A. Sintering of mixed Ca–K–Na phosphates: Spark plasma sintering vs flash-sintering // Open Ceram. 2021. V. 5. P. 100072. https://doi.org/10.1016/j.oceram.2021.100072
- Орлов Н.К., Киселева А.К., Милькин П.А., Евдокимов П.В., Путляев В.И., Günster J. Возможности реакционного спекания при получении прочной макропористой керамики на основе замещенных фосфатов кальция // Неорган. материалы. 2020. Т. 56. № 12. C. 1371–1379. https://doi.org/10.31857/S0002337X20120143
- Orlov N.K., Evdokimov P.V., Milkin P.A., Garshev A.V., Putlayev V.I., Grebenev V.V., Günster J. Phase equilibria in CaNaPO4–CaKPO4 system and their influence on formation of bioceramics based on mixed Ca–K–Na phosphates // J. Eur. Ceram. Soc. 2019. V. 39. № 16. P. 5410–5422. https://doi.org/10.1016/j.jeurceramsoc.2019.07.044
- Орлов Н.К., Путляев В.И., Евдокимов П.В., Сафронова Т.В., Климашина Е.С., Милькин П.А. Резорбция кальцийфосфатной биокерамики Ca3–xM2x(PO4)2 (M = Na, K) в модельных растворах // Неорган. материалы. 2018. Т. 54. № 5. C. 523–531. https://doi.org/10.7868/S0002337X18050147
Supplementary files


















































