Стохастическое моделирование кинетики гидратации β-CaSO4 · 0.5H2O
- Authors: Арасланкин С.В.1,2, Нипрук О.В.1
-
Affiliations:
- Национальный исследовательский Нижегородский государственный университет им. Н.И. Лобачевского
- ООО “Экспонента”
- Issue: Vol 60, No 8 (2024)
- Pages: 953-962
- Section: Articles
- URL: https://ogarev-online.ru/0002-337X/article/view/290794
- DOI: https://doi.org/10.31857/S0002337X24080054
- EDN: https://elibrary.ru/LNSIUK
- ID: 290794
Cite item
Full Text
Abstract
В статье рассматривается моделирование кинетики гидратации β-CaSO4 . 0.5H2O по данным кондуктометрических измерений. Приведен обзор существующих кинетических моделей и реализовано их использование для описания полученных результатов. Показано, что наилучшее соответствие экспериментальным данным достигается в случае стохастических моделей. Практическая значимость работы заключается в возможности прогнозирования сроков схватывания растворов на основе строительного гипса.
Full Text
ВВЕДЕНИЕ
Неорганические вяжущие являются широко используемыми материалами в строительной отрасли. Главная их особенность заключается в способности образовывать пластичные растворы, переходящие с течением времени в искусственный камень. Одним из представителей данных материалов является строительный гипс, твердение которого обусловлено гидратацией его основной фазы β-CaSO4 . 0.5H2O (β-CS̅H0.5) и образованием CaSO4 . 2H2O (CS̅H2) [1–3].
Как известно, гидратация β-CS̅H0.5 осуществляется посредством его растворения. Данное утверждение строится на различии в растворимости β-CS̅H0.5 и CS̅H2, что подтверждает справедливость кристаллизационной теории твердения, в соответствии с которой было предложено несколько кинетических моделей [4].
ТЕОРЕТИЧЕСКИЙ АНАЛИЗ
В целом выражение для скорости реакции гидратации β-CS̅H0.5 можно представить в виде dα/dτ = f(α), где dα/dτ – скорость реакции, f(α) – некоторая функция от степени гидратации [5].
На рис. 1 показан общий вид зависимости степени гидратации (α) от времени (τ) в виде сигмоидальной кривой, на которой можно выделить три временных участка: индукционный (α = 0), активный (0 < α < 0.9) и затухающий (α ≥ 0.9). При добавлении β-CS̅H0.5 в воду происходит его растворение с последующим пересыщением водного раствора относительно ионов кальция и сульфат-ионов, которое начинается в течение индукционного периода. В свою очередь нуклеация и кристаллизация CS̅H2 происходят в течение периода активной гидратации, а развитие кристаллизационной структуры – в течение затухающего периода [6].
Рис. 1. Общий вид кинетической кривой гидратации β-CSH0.5.
Предпринято значительное количество попыток математического описания кинетики рассматриваемого процесса, основные из которых показаны в табл. 1.
Таблица 1. Кинетические модели гидратации β-CS̅H0.5
Источник | Год | Авторы | Кинетическая модель | N |
[7] | 1937 | F.R. Himsworth | (1) | |
[8–10] | 1939–1941 | M. Avrami | (2) | |
[11] | 1958 | R.F. Conley | (3) | |
[12] | 1959 | M.J. Ridge | (4) | |
[13] | 1962 | K. Schiller | (5) | |
[14] | 1964 | M.J. Ridge | (6) | |
[15] | 1965 | J.H. Taplin | (7) | |
[16] | 1970 | E.C. Combe, D.C. Smith, M. Braden | (8) | |
[17] | 1982 | E. Karmazsin, C. Comel, M. Murat | (9) | |
2019 | A.F. Gualtieri | (10) |
Классическим выражением, описывающим кинетику реакции гидратации β-CS̅H0.5, принято считать уравнение Аврами (Джонсона–Мела–Аврами–Колмогорова) (2). Показатель степени n в уравнении (2) зависит от времени образования кристаллов CS̅H2 и характера их роста. В реальной системе закономерности роста кристаллов CS̅H2 могут изменяться в ходе протекания процесса. Данное обстоятельство приводит к дробным значениям n, получаемым на практике. Стоит также отметить, что уравнение (2) учитывает только стадию нуклеации и роста кристаллов CS̅H2 и не описывает период растворения β-CS̅H0.5, что обусловливает его ограниченную применимость [20].
Несмотря на это обстоятельство, в работе [16] приводятся сведения в поддержку уравнения Аврами (2) при n = 3/2 в предположении, что реакция лимитируется диффузией. Однако в работах [20, 21] было показано, что уточненная кинетическая модель (8) не имеет существенных преимуществ и не соответствует расчетным данным.
Другие кинетические модели гидратации β-CS̅H0.5 ((1), (3)–(6)) были предложены в работах [7, 11–14]. Данные модели основываются на допущении, что скорости растворения β-CS̅H0.5 и кристаллизации CS̅H2 пропорциональны площади поверхности соответствующего кристалла. Учитывая игольчатую форму кристаллов CS̅H2, авторы [12] утверждали, что изменение площади их поверхности от времени осуществляется прямо пропорционально изменению массы. На основании данного утверждения была предложена кинетическая модель (4), которая предполагает увеличение скорости реакции в течение всего процесса, что не является таковым. Поскольку рост скорости происходит только в первой половине реакции, становится очевидным, что уравнение (4) может рассматриваться только для описания отдельного участка кинетической зависимости [4].
В работе [13] оспаривается утверждение о линейном изменении площади поверхности кристаллов от их массы, что предполагает допущение на геометрию кристаллов β-CS̅H0.5 и CS̅H2, которые рассматривались как сферы эквивалентного объема. В соответствии с данным предположением предложено уравнение (5).
Изменение характера скорости реакции гидратации учитывается в уравнении (1). Так, при α = 0.5 достигается максимальное значение скорости, после которого (α > 0.5) скорость реакции начинает уменьшаться. Несмотря на это, данная модель не получила подтверждения в силу асимметричности экспериментальных кинетических кривых.
Кристаллы β-CS̅H0.5 геометрически компактны, и изменение их площади поверхности пропорционально изменению массы в степени 2/3. В соответствии с данным утверждением, в работе [14] предложено выражение (6) для скорости реакции гидратации, учитывающее растворение и кристаллизацию путем рассмотрения площади поверхности.
Кинетические модели (5) и (6) строятся на допущении, что геометрия роста кристаллов не меняется со временем, что не является таковым. Учитывая данное обстоятельство, в работах [15, 17] предложены зависимости (7) и (9). Данные кинетические модели имеют существенный недостаток, связанный с введением дополнительных констант, необходимостью вычисления и установления их физического смысла. Кроме того, значения эмпирических констант не дают представления о физических изменениях геометрии кристаллов в процессе гидратации β-CS̅H0.5. Таким образом, уравнения (7) и (9) не имеют существенных преимуществ перед указанными выше и редко используются на практике [20, 21].
В работе [18] для описания кинетики реакции гидратации β-CS̅H0.5 была использована модель Гуальтьери (10) [19]. Исследования проводились с применением дифракции синхротронного рентгеновского излучения. Показано, что кинетическая модель (10) наилучшим образом описывает полученные экспериментальные данные. Однако до настоящего времени отсутствуют дополнительные исследования в пользу указанной кинетической модели.
Общепринято, что гидратация β-CS̅H0.5 осуществляется через стадию растворения, с учетом которой были получены различные кинетические зависимости. Однако ни одна из рассмотренных кинетических моделей не учитывает изменение геометрии кристаллов CS̅H2 в процессе их роста при гидратации β-CS̅H0.5 с использованием двух эмпирических констант, получение численных значений которых возможно из линеаризованных зависимостей. Учитывая вышеизложенное, вопрос об адекватном математическом описании реакции гидратации β-CS̅H0.5 все еще остается открытым. Так как данный процесс во многом зависит от случайных факторов, для его описания вполне обосновано использование стохастического подхода.
Целью настоящей работы является математическое описание реакции гидратации β-CS̅H0.5 с использованием некоторых существующих кинетических моделей и с применением стохастического подхода.
ЭКСПЕРИМЕНТАЛЬНАЯ ЧАСТЬ
Объектом исследования являлся β-CS̅H0.5, полученный путем неполной термической дегидратации CS̅H2 в сушильном шкафу TR 60 (Nabertherm, Германия) при температуре 118°C и атмосферном давлении [22, 23].
Использование кондуктометрии для исследования кинетики реакции гидратации β-CS̅H0.5 обусловлено возможностью оценки каждого временного периода, высокой чувствительностью метода к изменениям, значительным объемом получаемых результатов, автоматизацией процесса регистрации и импорта экспериментальных данных.
Для измерений была использована кондуктометрическая ячейка с графитовыми электродами TetraCon 325 (WTW, Германия). Постоянная ячейки 0.475 см–1 ± 1.5%. Встроенный датчик температуры NTC 30 (30 кОм при 25°C). Диапазон измерений от 1 до 2 × 106 мкСм/см. Рабочая температура от –5 до 80°C.
Предварительно проводилась калибровка ячейки в стандартном растворе KCl с концентрацией 0.01 моль/л (WTW, Германия). Перед началом кондуктометрических измерений электрохимическая ячейка TetraCon 325 подключалась к прибору inoLab Cond 7310 (WTW, Германия) и закреплялась на штативе. Затем погружалась в деионизированную воду с удельной электропроводностью не более 0.10 мкСм/см и выдерживалась в ней около 5 мин. Далее кондуктометр включали и подключали к персональному компьютеру с предварительно установленным на нем программным обеспечением MultiLab Importer. Затем 100 мл деионизированной воды переносили с помощью пипетки Мора в химический стакан емкостью 150 мл, который размещали на рабочей поверхности магнитной мешалки Intelli-Stirrer MSH-300i (Biosan, Латвия). Затем в стакан вводили предварительно промытые деионизированной водой магнитный перемешивающий элемент с тефлоновым покрытием и датчик температуры магнитной мешалки. Все кондуктометрические измерения проводились при температуре 20°C, которую обеспечивали с помощью регулируемого нагрева, контролируемого датчиком температуры перемешивающего устройства. После включения перемешивания со скоростью 1000 об./мин и нагрева до температуры 20°C в воду погружали подключенную к кондуктометру электрохимическую ячейку. Далее с помощью навигационных кнопок прибор переводился в режим проведения измерений с интервалом между ними 5 с и импортом данных в персональный компьютер. Затем в перемешивающуюся воду вносили предварительно взвешенный на аналитических весах HT-124RCE (Vibra, Япония) β-CS̅H0.5 в количестве 5.0000 г. Измерения осуществляли до достижения постоянного значения удельной электропроводности раствора, не изменяющегося в течение 5 мин.
РЕЗУЛЬТАТЫ И ОБСУЖДЕНИЕ
На основании результатов кондуктометрических измерений вне индукционного периода, т.е. в рамках убывающего участка зависимости χ = f(τ), рассчитаны численные значения степени гидратации (ατ) в различный момент времени τ в соответствии с выражением
(11)
где χτ, χmax и χplat – удельная электропроводность раствора в момент времени τ, максимальное ее значение и не изменяющееся с течением времени соответственно, мкСм/см.
Учитывая, что в течение индукционного периода реакция гидратации β-CS̅H0.5 не протекает, в рамках возрастающего участка зависимости χ = f(τ) степень гидратации принята равной нулю.
Таким образом, результаты измерений удельной электропроводности и рассчитанные значения степени гидратации были использованы для построения соответствующих зависимостей, показанных на рис. 2. Видно, что в течение индукционного периода (α = 0) наблюдается значительный рост удельной электропроводности. Как известно, указанный период начинается с контакта частиц β-CS̅H0.5 с молекулами воды, что приводит к адсорбции последних на поверхности кристаллов β-CS̅H0.5 вследствие электростатического взаимодействия полярных молекул растворителя с активными центрами в поверхностном слое частиц исходной фазы. Именно возникновение указанного взаимодействия обусловливает значительный рост χ, связанный с переходом в раствор ионов кальция и сульфат-ионов с образованием гидратированных аквакомплексов по следующей схеме:
Рис. 2. Кинетические кривые гидратации β-CSH0.5 при 293 К: 1 – по данным кондуктометрических измерений, 2 – расчетные значения α.
В процессе разрушения поверхностного слоя кристаллов β-CS̅H0.5 помимо перехода в раствор отдельных ионов вероятен отрыв структурных единиц, поведение которых в растворе подобно отдельному кристаллу. Насыщение и последующее пересыщение водного раствора приводят к кластеризации гидратированных ионов, ведущей к образованию зародышей CS̅H2.
В течение последующего периода активной гидратации (0 < α < 0.9) происходит уменьшение χ (рис. 2). Данное обстоятельство объясняется протеканием реакции, сопровождающейся кристаллизацией CS̅H2 и уменьшением концентрации ионов кальция и сульфат-ионов в растворе. Стоит отметить, что в начале рассматриваемого периода наблюдается рост скорости реакции, которая достигает максимального значения при α = 0.55. В данном случае наблюдаемое отклонение от симметричности кинетической зависимости α = f(τ) вызвано влиянием стохастических факторов в условиях реального эксперимента. Последующее уменьшение скорости реакции происходит при α > 0.55. По мере приближения к α = 0.9 удельная электропроводность раствора все еще значительно изменяется. Достижение равновесной концентрации ионов кальция и сульфат-ионов в растворе происходит в течение затухающего периода реакции. При α ≥ 0.9 скорость процесса значительно уменьшается и в конечном итоге достигает значений, стремящихся к нулю.
Для описания экспериментальных данных использованы уравнения Аврами (2), Шиллера (5), Риджа (6) и Гуальтьери (10). Значения констант в моделях (2), (5) и (6) определялись посредством приведения указанных выражений к линейному виду (12), (13) и (14) соответственно:
(12)
(13)
(14)
В модели Гуальтьери (10) определение констант проводилось путем приближения расчетных значений функции к экспериментальным данным методом общего понижающего градиента исходя из условия
(15)
где N – общее количество измерений; τi – время i-го измерения, с; αi – экспериментальное значение степени гидратации в момент времени τi.
Учитывая игольчатую форму кристаллов CS̅H2, показатель степени n в выражении (10) был принят равным 1 по аналогии с работой [18].
Полученные таким образом численные значения эмпирических констант в уравнениях (2), (5), (6) и (10) представлены в табл. 2.
Таблица 2. Кинетические параметры в уравнениях Аврами, Шиллера, Риджа и Гуальтьери
Модель | Значения констант | τ0.5, с | τ0.9, с |
(2) | K = 1.45 × 10–7 с–1; n = 2.43 | 566 | 928 |
(5) | k1 = 2.48 × 10–3 с–1; k2 = 6.65 × 10–4 с–1 | 630 | 1194 |
(6) | k = 4.05 × 10–3 с–1; C = –6.59 | 710 | 1052 |
(10) | kg = 1.97 × 10–1 с–1; a = 5.74 × 102; b = 7.57 × 101 | 574 | 740 |
Примечание. τ0.5, τ0.9 – рассчитанные времена, соответствующие степени гидратации, равной 0.5 и 0.9.
Используя параметры, приведенные в табл. 2, построены диаграммы, отражающие соответствие рассчитанного времени (τcalc) значениям из эксперимента (τexp) (рис. 3), и кинетические кривые гидратации β-CS̅H0.5 (рис. 4), полученные из уравнений (2), (5), (6) и (10).
Рис. 4. Кинетические кривые гидратации β-CSH0.5 при 293 К: 1 – по данным эксперимента; 2, 3, 4, 5 – полученные из уравнения Аврами, Шиллера, Риджа и Гуальтьери соответственно.
Из рис. 3 и 4 видно, что результаты, полученные с использованием всех рассматриваемых моделей, в той или иной степени отклоняются от эксперимента. Так, уравнение Аврами имеет хорошее соответствие эксперименту только в области малых (α < 0.1) и средних (α ≈ 0.5) значений степени гидратации, что вызвано допущением на неизменность показателя степени n в выражении (2). При α < 0.3 кинетические кривые, полученные из уравнений Аврами и Шиллера, практически совпадают. Однако дальнейшее увеличение α приводит к появлению различий между ними и существенным отклонениям от эксперимента. В случае уравнения Риджа начальное значение степени гидратации отлично от нуля, что объясняется допущением указанной модели на наличие в растворе CS̅H2 в момент времени τ = 0. Данный подход позволяет описать закономерность изменения величины α в начале реакции. Однако, как видно на рис. 3 и 4, уравнение Риджа плохо соотносится с экспериментом и, как следствие, не может применяться для описания рассматриваемого процесса. Наилучшее приближение к экспериментальным данным получила модель Гуальтьери, которая достоверно описывает примерно 2/3 рассматриваемого процесса. Несмотря на это, уравнение Гуальтьери имеет недостатки. Помимо несоответствия экспериментальным данным в области первой трети реакции, указанная модель содержит четыре эмпирические константы, что в значительной степени затрудняет определение кинетических параметров.
Учитывая вышеуказанные обстоятельства, для более достоверного описания экспериментальных данных в данной работе была предпринята попытка использования стохастического подхода, основанного на аппроксимации нелинейной зависимости степени гидратации от времени. Так как кривая α = f(τ) имеет S-образный вид, ее описание ограничивается семейством сигмоидальных функций, проверка которых показала наилучшую аппроксимацию для следующих выражений:
(16)
(17)
где kth, kirr – константы скорости в моделях (16) и (17), с–1; A, B – постоянные; αR – степень гидратации, соответствующая максимальной скорости процесса, т.е. при dα/dτ → max.
Значения констант в моделях (16) и (17) определялись путем линеаризации указанных выражений с приведением их к виду
(18)
(19)
Полученные значения эмпирических констант в уравнениях (16) и (17) представлены в табл. 3.
Таблица 3. Кинетические параметры в уравнениях (16) и (17)
Модель | Значения констант | τ0.5, с | τ0.9, с |
(16) | kth = 3.42 × 10–3 с–1; A = 1.97 | 576 | 897 |
(17) | kirr = 3.16 × 10–4 с–1; B = 1.87 × 10–1 | 592 | 729 |
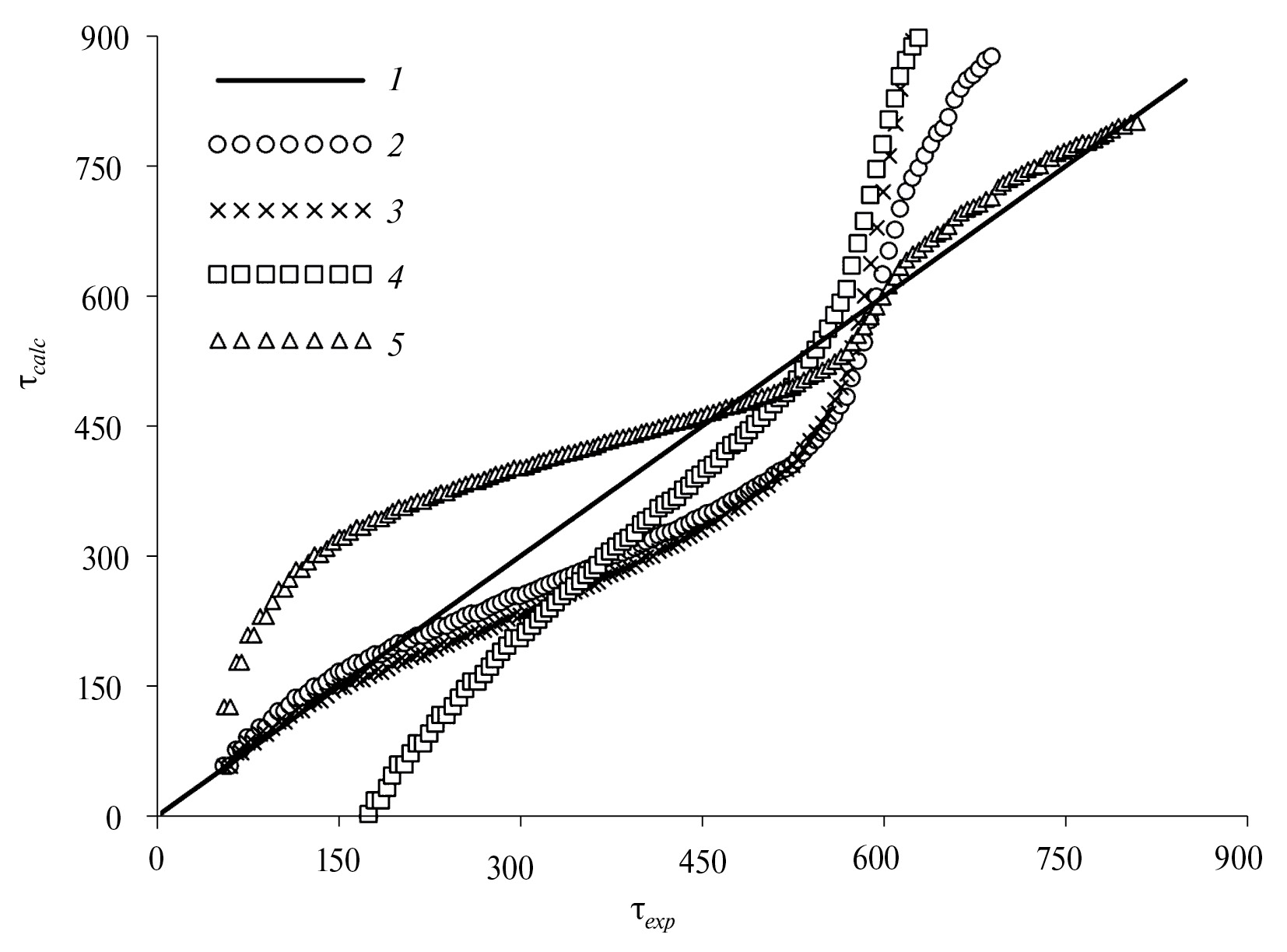
Используя параметры, показанные в табл. 3, построены зависимости τcalc = = f(τexp) (рис. 5) и кинетические кривые гидратации β-CS̅H0.5 (рис. 6), полученные из выражений (16) и (17).
Рис. 5. Диаграмма корреляции времени τcalc = f(τexp): 1 – τcalc = τexp; 2, 3 – время, рассчитанное из выражений (16) и (17).
Рис. 6. Кинетические кривые гидратации β-CSH0.5 при 293 К: 1 – по данным эксперимента; 2, 3 – полученные из выражений (16) и (17).
Как видно на рис. 5 и 6, наилучшее соответствие экспериментальным данным в диапазоне 0 < α ≤ 0.95 имеет кинетическая модель (17). На указанном участке α линейный вид модели (19) характеризуется R2 = = 0.999, что позволяет получить достоверные значения кинетических параметров. В случае модели (16) результаты оказались далеки от похожего описания. Однако стоит выделить лучшее соответствие данной модели эксперименту в сравнении с уравнениями (2), (5) и (6) (табл. 4).
Таблица 4. Остаточная сумма квадратов (RSS) для времени
RSS в диапазоне 0.05 ≤ α ≤ 0.95 | |||||
(2) | (5) | (6) | (10) | (16) | (17) |
2.15 × 106 | 9.15 × 106 | 4.88 × 106 | 6.15 × 105 | 1.63 × 106 | 8.95 × 103 |
ЗАКЛЮЧЕНИЕ
Результаты данной работы показывают несостоятельность детерминированных моделей с ограниченным количеством констант для описания результатов измерений. В данном случае использование стохастического подхода позволило наиболее точно описать экспериментальные данные, не прибегая к численным методам для нахождения значений эмпирических констант.
Практическая значимость работы заключается в возможности прогнозирования кинетики схватывания растворов на основе строительного гипса.
КОНФЛИКТ ИНТЕРЕСОВ
Авторы заявляют, что у них нет конфликта интересов.
About the authors
С. В. Арасланкин
Национальный исследовательский Нижегородский государственный университет им. Н.И. Лобачевского; ООО “Экспонента”
Author for correspondence.
Email: araslankin@bk.ru
Russian Federation, пр. Гагарина., 23, Нижний Новгород, 603022; ул. Станиславского, 26А, Рузаевка, 431448
О. В. Нипрук
Национальный исследовательский Нижегородский государственный университет им. Н.И. Лобачевского
Email: araslankin@bk.ru
Russian Federation, пр. Гагарина., 23, Нижний Новгород, 603022
References
- Коровяков В.Ф. Гипсовые вяжущие и их применение в строительстве // Рос. хим. журн. 2003. Т. 47. № 4. С. 18–25.
- Chen X., Wu Q., Gao J., Tang Y. Hydration Characteristics and Mechanism Analysis of β-Calcium Sulfate Hemihydrate // Constr. Build. Mater. 2021. V. 296. P. 1–11. https://doi.org/10.1016/j.conbuildmat.2021.123714
- Abu Zeitoun E., Pritzel C., Sakalli Y., Trettin R. The Mechanism of the First Hydration‐Dehydration Cycle of Pure α‐ and β‐CaSO4⋅0.5H2O // Adv. Mater. Sci. Eng. 2020. V. 2020. № 1. P. 1–11. https://doi.org/10.1155/2020/1732621
- Полак А.Ф., Бабков В.В., Андреева Е.П. Твердение минеральных вяжущих веществ. Уфа: Башкирское книжное изд-во, 1990. 216 с.
- Кузнецова Т.В., Кудряшов И.В., Тимашев В.В. Физическая химия вяжущих материалов. М.: Высшая школа, 1989. 384 с.
- Singh N., Middendorf B. Calcium Sulphate Hemihydrate Hydration Leading to Gypsum Crystallization // Prog. Cryst. Growth Charact. Mater. 2007. V. 53. № 1. P. 57‒77. https://doi.org/10.1016/j.pcrysgrow.2007.01.002
- Dunn J.S. The Setting of Calcium Sulphate Plasters // J. Soc. Chem. Ind. 1938. V. 57. № 7. P. 144–148. https://doi.org/10.1002/jctb.5000570703
- Avrami M. Kinetics of Phase Change. I General Theory // J. Chem. Phys. 1939. V. 7. № 12. P. 1103–1112. https://doi.org/10.1063/1.1750380
- Avrami M. Kinetics of Phase Change. II Transformation‐Time Relations for Random Distribution of Nuclei // J. Chem. Phys. 1940. V. 8. № 2. P. 212–224. https://doi.org/10.1063/1.1750631
- Avrami M. Granulation, Phase Change, and Microstructure Kinetics of Phase Change. III // J. Chem. Phys. 1941. V. 9. № 2. P. 177–184. https://doi.org/10.1063/1.1750872
- Conley R.F. The Hydration Reaction of Anhydrite. Doctor’s Thesis. Indiana University, 1958.
- Ridge M.J. Acceleration of the Set of Gypsum Plaster // Aust. J. Appl. Sci. 1959. V. 10. P. 218–231.
- Schiller K. Mechanism of Re‐crystallisation in Calcium Sulphate Hemihydrate Plasters // J. Appl. Chem. 1962. V. 12. № 3. P. 135–144. https://doi.org/10.1002/jctb.5010120310
- Ridge M.J. Hydration of Calcium Sulphate Hemihydrate // Nature. 1964. V. 204. № 4953. P. 70–71. https://doi.org/10.1038/204070a0
- Taplin J.H. Hydration Kinetics of Calcium Sulphate Hemihydrate // Nature. 1965. V. 205. № 4974. P. 864–866. https://doi.org/10.1038/205864a0
- Combe E.C., Smith D.C., Braden M. Kinetics of Hydration of Autoclaved Calcium Sulphate Hemihydrate // J. Appl. Chem. 1970. V. 20. № 9. P. 287–292. https://doi.org/10.1002/jctb.5010200905
- Karmazsin E., Comel C., Murat M. Proceedings of the 7th International Conference on Thermal Analysis. Ontario, 1982. P. 148.
- Gurgul S.J., Seng G., Williams G.R. A Kinetic and Mechanistic Study into the Transformation of Calcium Sulfate Hemihydrate to Dihydrate // J. Synchrotron Rad. 2019. V. 26. № 3. P. 774–784. https://doi.org/10.1107/S1600577519001929
- Gualtieri A.F. Synthesis of Sodium Zeolites from a Natural Halloysite // Phys. Chem. Miner. 2001. V. 28. P. 719–728. https://doi.org/10.1007/s002690100197
- Hand R. The Kinetics of Hydration of Calcium Sulphate Hemihydrate: A Critical Comparison of the Models in the Literature // Cem. Concr. Res. 1994. V. 24. № 5. P. 885‒895. https://doi.org/10.1016/0008-8846(94)90008-6
- Beretka J., Touw J.W. Hydration Kinetics of Calcium Sulphate Hemihydrate: A Comparison of Models // J. Chem. Technol. Biotechnol. 1989. V. 44. № 1. P. 19–30. https://doi.org/10.1002/jctb.280440104
- Карякин Ю.В., Ангелов И.И. Чистые химические вещества. М.: Химия, 1974. 408 с.
- Ключников Н.Г. Неорганический синтез. М.: Просвещение, 1988. 240 с.
Supplementary files







