Электронное строение Cd-замещенных кремниевых клатратов

Мұқаба

Дәйексөз келтіру

Толық мәтін

Аннотация

Представлены результаты теоретического исследования электронного строения ряда Cd-замещенных клатратов на основе кремния. Расчет проводился методом линеаризованных присоединенных плоских волн. В результате расчета была получена зонная структура, полные и парциальные плотности электронных состояний. Проведен анализ влияния количества замещающих атомом кадмия и их кристаллографической позиции в элементарной ячейке на электронно-энергетический спектр клатратов.

Толық мәтін

ВВЕДЕНИЕ

Получение термоэлектрических материалов с оптимальными характеристиками является одной из актуальных задач современной науки. В 90-х годах прошлого века появилась гипотеза о том, что высокоэффективные термоэлектрические материалы могут быть получены на основе соединений, в которых слабо связанные атомы колеблются в ограниченном объеме [1]. В настоящее время наиболее перспективны с этой точки зрения так называемые клатратные кристаллы на основе элементов IV группы – кремния, германия и олова. Элементарная ячейка этих кристаллов строится из сфероидальных кластеров Si, Ge или Sn, внутри которых интеркалирован атом, стабилизирующий сфероид [2–4]. Благодаря такой специфической структуре появляется возможность модифицировать свойства клатратных кристаллов, изменяя сорт интеркалированного атома и/или замещая часть атомов клатратной подрешетки атомами другого сорта [5–12].

Способы оптимизации термоэлектрических свойств клатратов не разработаны. Например, установлено, что коэффициент Зеебека значительно изменяется при различных замещениях в клатратной подрешетке [13–15]. Однако причины этих изменений до сих пор не ясны. Величина коэффициента Зеебека связана с особенностями электронного строения кристалла, а точнее, с деталями электронной структуры и плотности состояний вблизи уровня Ферми, поэтому очевидно, что изучение электронного строения термоэлектрических клатратов является необходимым шагом на пути получения новых материалов с оптимальными термоэлектрическими характеристиками.

В данной работе представлены результаты расчета электронной структуры ряда Cd-замещенных клатратов на основе кремния. Клатрат Ba8Cd7Si39 впервые был синтезирован в 2009 г. [16], и его электронная структура не изучена ни экспериментально, ни теоретически. Представлены также результаты расчета электронной структуры клатратов Ba8Cd6Si40 и Ba8Cd8Si38, что позволило проанализировать влияние количества замещающих атомов Cd на электронно-энергетический спектр клатратов. Кроме того, для клатратов Ba8Cd7Si39 и Ba8Cd8Si38 были рассмотрены случаи с различным положением замещающих атомов в элементарной ячейке и на этой основе изучено влияние кристаллографической позиции замещающего атома на электронные свойства кристалла.

МЕТОД РАСЧЕТА

Расчет электронной структуры клатратов проводился методом линеаризованных присоединенных плоских волн (ЛППВ) [17] в рамках локального приближении функционала плотности с использованием обменно-корреляционного потенциала в аппроксимакции [18] и скалярно-релятивистского приближения [19]. В этом приближении учитываются все релятивистские эффекты, кроме спин-орбитального расщепления. Для расчетов электронной структуры использовался базис из 2500 ЛППВ. В разложении базисной функции по сферическим гармоникам учитывались вклады до lmax= 7.

Полученные в результате зонного расчета собственные функции øi,k(r) и собственные значения энергии Ei(k) использовались для расчета полных плотностей электронных состояний

nE=2ΩBZiΩBZδEEikdk

и локальных парциальных плотностей электронных состояний

nslE=2ΩBZiΩBZQslδEEikdk

(i – номер энергетической зоны, ΩBZ – объем первой зоны Бриллюэна, Qksl – заряд l-типа симметрии, содержащийся внутри атомной сферы, окружающей в элементарной ячейке атомы s-типа).

Cd-замещенные кремниевые клатраты кристаллизуются в примитивную кубическую ячейку пр. гр. Pm3n [16]. На одну элементарную ячейку в этой структуре приходятся два полиэдра Si20 и шесть полиэдров Si24. Атомы бария заполняют пустоты в этих полиэдрах. В элементарной ячейке имеются две неэквивалентные кристаллографические позиции атомов бария – 2a и 6b и три неэквивалентные позиции атомов клатратной решетки – 6с, 16i и 24k (обозначения кристаллографических позиций даны в соответствии с [16]). В расчете использовались данные о параметрах кристаллической решетки и координатах атомов для клатрата Ba8Cd7Si39 из работы [16]. В этой работе сообщается о синтезе клатрата Ba8Cd7Si39, в котором шесть атомов кадмия замещают атомы кремния в позициях 6с и один атом – в позиции 24k (далее обозначается как Cd7(6c, 24k)-замещенный клатрат). Чтобы изучить влияние кристаллографической позиции замещающих атомов на электронно-энергетический спектр клатрата, было проведено также теоретическое исследование электронной структуры клатрата Ba8Cd7Si39, в котором шесть атомов кадмия занимают 6с-позиции, и один атом – 16i-позицию (Cd7(6c, 16i)-замещенный клатрат). Для изучения влияния числа замещающих атомов на электронные свойства клатрата была рассчитана электронная структура Cd6-замещенного клатрата Ba8Cd6Si40 и Cd8-замещенного клатрата Ba8Cd8Si38. В клатрате Ba8Cd6Si40 атомы кадмия замещают атомы кремния только в позициях 6с, для Cd8-замещенного клатрата рассматривались два варианта замещения: во-первых, когда шесть атомов Cd занимают позиции 6с, а еще два – позиции 16i (Cd8(6c,16i)-замещенный клатрат), во-вторых, когда шесть атомов Cd занимают позиции 6с, а еще два – позиции 24k (Cd8(6c, 24k)-замещенный клатрат).

РЕЗУЛЬТАТЫ И ОБСУЖДЕНИЕ

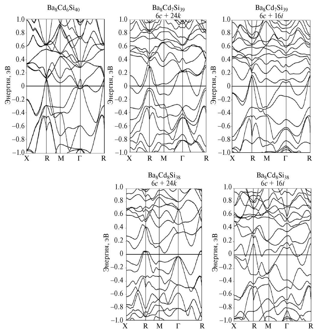
В валентной зоне Cd6-замещенного клатрата имеются 122 энергетические зоны, валентную зону Cd7-замещенных клатратов образуют 127 энергетических зон, а Cd8-замещенных – 132 зоны. Зонную картину рассматриваемых клатратов можно разделить на три группы энергетических зон (рис. 1), что характерно для клатратных кристаллов [20–23]. Расчет плотностей электронных состояний показал (рис. 2–4), что первая группа зон, находящаяся в низкоэнергетической части валентной зоны в интервале энергий от –12 до –6 эВ, включает Si 3s- и Cd 4d-зоны. Вторая группа, расположенная при энергиях от –6 эВ до энергии Ферми, включает зоны, заполненные Si 3p-электронами, а также Cd 5s- и Cd 5p-электронами. Третья группа зон практически полностью находится в зоне проводимости клатрата.

 

Рис. 1. Зонная структура Сd-замещенных кремниевых клатратов в окрестности уровня Ферми.

 

 

Рис. 2. Полная и парциальные плотности электронных состояний в клатрате Ba8Cd6Si40.

 

Рис. 3. Полная и парциальные плотности электронных состояний в клатрате Ba8Cd7Si39.

  

Рис. 4. Полная и парциальные плотности электронных состояний в клатрате Ba8Cd8Si38.

 

За исключением зон, соответствующих Cd 4d-состояниям, в валентной зоне каждого из рассматриваемых клатратов содержится одинаковое количество зон, а именно – 92 энергетические зоны. Причина этого заключается в том, что атомы решетки-хозяина стремятся к образованию тетраэдрических связей. Для этого необходимо заполнение Cd 5p-оболочек, т.е. атомы Cd должны иметь четырехэлектронную валентную конфигурацию. Атомы Ba являются донорами электронов для клатратной решетки. Каждый атом бария отдает решетке-хозяину по два валентных 6s-электрона. Таким образом, от восьми атомов бария клатратная подсистема получает 16 дополнительных электронов на элементарную ячейку. В Cd6-замещенном клатрате 12 из 16 полученных от атомов Ва электронов используются для образования тетраэдрических ковалентных связей атомов Cd с атомами Si, а оставшиеся четыре заполняют зоны у дна зоны проводимости. Поэтому в Cd6-замещенном клатрате уровень Ферми пересекает дно зоны проводимости, то есть этот клатрат обладает металлическими свойствами (рис. 1). В Cd7-замещенных клатратах имеются два избыточных электрона на элементарную ячейку, они заполняют зону у дна зоны проводимости. В Cd7(6c, 16i)-замещенном клатрате нижняя зона зоны проводимости пересекает уровень Ферми (рис. 1). В Cd7(6c, 24k)-замещенном клатрате уровень Ферми пересекают две зоны – нижняя зона зоны проводимости и верхняя зона валентной полосы (рис. 1). В Cd7-замещенных клатратах валентная зона и зона проводимости перекрываются по энергетической шкале, но не пересекаются, что характерно для полуметаллов. Такой вывод согласуется с экспериментальными данными о характере проводимости Cd7(6c, 24k)-замещенного клатрата [16]. В клатрате Ba8Cd8Si38 для образования атомами Cd тетраэдрических связей не хватает 16 электронов, поэтому все электроны, отданные атомами Ba, используются для образования связей Cd–Si. В Cd8(6c, 16i)-замещенном клатрате уровень Ферми пересекает потолок валентной зоны, а в Cd8(6c, 24k)-замещенном валентная зона и зона проводимости перекрываются, в результате чего уровень Ферми пересекают верхняя зона валентной полосы и нижняя зона зоны проводимости (рис. 1). Следовательно, оба Cd8-замещенных клатрата являются полуметаллами.

В (6с, 24k)-замещенных клатратах перекрытие валентной зоны и зоны проводимости более глубокое, чем в (6с, 16i)-замещенных, поскольку в (6c, 24k)-замещенных клатратах от основной части валентной зоны отщепляются верхние энергетические зоны: одна в Cd7(6c, 24k)-замещенном и две в Cd8(6c, 24k)-замещенном. Отщепленные зоны поднимаются вверх по энергии и обеспечивают более глубокое перекрытие валентной зоны и зоны проводимости. Происхождение отщепленных зон легко объяснить, если рассмотреть локальные парциальные плотности электронных состояний для атомов кадмия из неэквивалентных кристаллографических позиций (рис. 5). Ближайшее окружение 6с-атома состоит из трех 24k-атомов. Следовательно, в клатратах с 6c+24k-замещениями обязательно есть соседствующие атомы кадмия (6с-атом и 24k-атом). Как показал расчет, плотность 5p-состояний атомов кадмия, имеющих в своем окружении атомы кадмия, расщепляется около уровня Ферми (рис. 5). Плотность 5p-состояний таких атомов имеет два основных максимума: максимум при энергии ~ -1.5 эВ, соответствующий связям Cd–Si, и максимум непосредственно около уровня Ферми, который соответствует менее прочным связям Cd–Cd. В клатрате Ba8Cd7Si39 с 6c+24k-замещениями имеются только два соседствующих атома кадмия, т.е. одна связь Cd–Cd. Этой связи соответствует одна отщепленная энергетическая зона. В элементарной ячейке клатрата Ba8Cd8Si40 с 6c+24k-замещениями имеются две связи Cd–Cd, которым соответствуют две отщепленные энергетические зоны. В Cd(6c, 16i)-замещенных клатратах в ближайшем окружении 16i-атомов имеются три 24k-атома и один 16i-атом (рис. 5), следовательно, все замещающие атомы кадмия окружены только атомами кремния. Поэтому в плотности Cd 5p-состояний в этих клатратах отсутствует максимум на уровне Ферми, а значит, и отщепленные зоны у потолка валентной зоны.

 

Рис. 5. Координационные тетраэдры атомов клатратной решетки из неэквивалентных кристаллографических позиций и локальные парциальные плотности электронных состояний атомов кадмия из неэквивалентных кристаллографических позиций в клатратах Ba8Cd7Si39 и Ba8Cd8Si38.

 

Характерной особенностью электронного строения базовых (незамещенных) кремниевых и германиевых клатратов является наличие энергетической щели вблизи середины валентной зоны [20–23]. В Cd-замещенных кремниевых клатратах валентная зона непрерывна. Как показывает расчет парциальных плотностей состояний (рис. 2–4), в энергетическом интервале от –6 до –5 эВ происходит гибридизация валентных состояний кремния и Cd 4s-состояний, что и приводит к закрытию щели. Расчет локальных парциальных плотностей состояний показал, что в плотности Si 3s-состояний тех атомов кремния, которые не имеют в ближайшем окружении замещающих атомов кадмия, имеется энергетическая щель, аналогичная той, которая разделяет валентную зону незамещенных клатратов. В свою очередь наличие атома кадмия в ближайшем окружении атома кремния приводит к тому, что плотность его Si 3s-состояний непрерывно распределяется по валентной зоне. Для Si 3p-состояний такой закономерности нет – плотность 3p-состояний всех атомов кремния, независимо от наличия атомов Cd в ближайшем окружении, непрерывна.

ЗАКЛЮЧЕНИЕ

В низкоэнергетической части валентной зоны Cd-замещенных кремниевых клатратов доминирует вклад Si 3s- и Cd 4d-состояний, а при более высоких энергиях преобладают Si 3p-состояния с заметным вкладом Cd 5s- и Cd 5p-состояний. Количество замещающих атомов кадмия влияет на электронно-энергетический спектр в прифермиевской области клатрата и определяет характер проводимости кристалла. Структура энергетических зон на уровне Ферми указывает на то, что Cd6-замещенный клатрат имеет металлический характер проводимости, а Cd7- и Cd8-замещенные являются полуметаллами.

ФИНАНСИРОВАНИЕ РАБОТЫ

Исследование выполнено при поддержке Министерства науки и высшего образования России в рамках соглашения № 075–15–2021–1351.

КОНФЛИКТ ИНТЕРЕСОВ

Авторы заявляют, что у них нет конфликта интересов.

×

Авторлар туралы

Н. Борщ

Воронежский государственный технический университет

Хат алмасуға жауапты Автор.
Email: n.a.borshch@ya.ru
Ресей, 394006 Воронеж, ул. 20-летия Октября, 84

Н. Переславцева

Воронежский государственный технический университет

Email: n.a.borshch@ya.ru
Ресей, 394006 Воронеж, ул. 20-летия Октября, 84

В. Радина

Воронежский государственный университет

Email: n.a.borshch@ya.ru
Ресей, 394018 Воронеж, Университетская пл., 1

С. Курганский

Воронежский государственный университет

Email: n.a.borshch@ya.ru
Ресей, 394018 Воронеж, Университетская пл., 1

Әдебиет тізімі

  1. Slack G.A. Design Concepts for Improved Thermoelectric Materials // MRS Proc. 1997. V. 478. P. 47–54. https://doi.org/10.1557/PROC-478-47
  2. Kasper J. S., Hagenmuller P., Pouchard M., Cros C. Clathrate Structure of Silicon Na8Si46 and NaxSi136 (x < 11) // Science. 1965. V. 150. P. 1713–1716. https://doi.org/10.1126/science.150.3704.1713
  3. Guloy A., Ramlau R., Tang Z., Schnelle M., Baitinger M., Grin Y. A Guest-Free Germanium Clathrate // Nature. 2006. V. 443. P. 320–323. https://doi.org/10.1038/nature05145
  4. Myles C. W., Dong J., Sankey O. F. Structural and Electronic Properties of Tin Clathrate Materials // Phys. Rev. B. 2001. V. 64. P. 165202–165212. https://doi.org/10.1103/PhysRevB.64.165202
  5. Shimizu F., Maniwa Y., Kume K., Kawaji K., Yamanaka S., Ishikawa M. NMR Study in the Superconducting Silicon Clathrate Compound NaxBaySi46 // Phys. Rev. B. 1996. V. 54. P. 13242–13246. https://doi.org/10.1103/physrevb.54.13242
  6. Tse J. S., Desgreniers S., Zhi-qiang L., Ferguson M. R., Kawazoe Y. Structural Stability and Phase Transitions in K8Si46 Clathrate under High Pressure // Phys. Rev. B. 2002. V. 89. P. 195507–195510. https://doi.org/10.1103/physrevlett.89.195507
  7. Fukuoka H., Kiyoto J., Yamanaka S. Superconductivity and Crystal Structure of the Solid Solutions of Ba8-δSi46-δGex (0 ≤ ≤ x ≤ 23) with Type I Clathrate Structure // J. Solid State Chem. 2003. V. 175. P. 237–244. http://dx.doi.org/10.1016/S0022-4596(03)00253-6
  8. Novikov V.V., Matovnikov A.V., Mitroshenkov N.V., Likhanov M.S., Morozov A.V., Shevelkov A.V. Temperature-Dependent Influence of Disorder on the Thermodynamic Properties of Sn20.53.5As20I8, a Vacancy-Driven Superstructure of the Type-I Clathrate // Philos. Mag. 2021. V. 101. № 19. P. 2092–2107. https://doi.org/10.1080/14786435.2021.1953177
  9. Kawasaki K., Kishimoto K., Asada H., Akai K. Synthesis and Some Properties of Ba24−x(Ga,Sn)136 (x~4) Type-II Clathrates // J. Solid State Chem. 2020. V. 290. P. 121540–121547. https://doi.org/10.1016/j.jssc.2020.121540
  10. Barkalov O.I., Kuzovnikov M.A., Sholin I.A., Orlov N.S. Transformations of Silicon Clathrate Si136 Under High Hydrogen Pressure up to 11 GPa // Solid State Commun. 2021. V. 340. P. 114492–114498. https://doi.org/10.1016/j.ssc.2021.114492
  11. Gunatilleke W. D. C. B., Wong-Ng W., Zavalij P.Y., Zhang M., Chen Y.-S., Nolas G.S. Revealing Uncommon Transport in the Previously Unascertained Very Low Cation Clathrate-I Eu2Ga11Sn35 // Cryst. Eng. Common. 2023. V. 25. P. 48–52. https://doi.org/10.1039/D2CE01026G
  12. Ghosh K., Ovchinnikov A., Baitinger M., Krnel M., Burkhardt U., Grin Y., Bobev S. Lithium Metal Atoms Fill Vacancies in the Germanium Network of a Type-I Clathrate: Synthesis and Structural Characterization of Ba8Li5Ge41 // Dalton Trans. 2023. V. 52. P. 10310–10322. https://doi.org/10.1039/D3DT01168B
  13. Christensen M., Johnsen S., Iversen B. B. Thermoelectric Clathrates of Type I // Dalton Trans. 2010. V. 39. P. 978–992. https://doi.org/10.1039/B916400F
  14. Wang L.-H., Chang L.-S. Thermoelectric Properties of p-Type Ba8Ga16Ge30 Type-I Clathrate Compounds Prepared by the Vertical Bridgman Method // J. Alloys Compd. 2017. V. 722, P. 644–650. https://doi.org/10.1016/j.jallcom.2017.06.110
  15. Koga, K., Suzuki, K., Fukamoto, M., Anno H., Tanaka T., Yamamoto S. Electronic Structure and Thermoelectric Properties of Si-Based Clathrate Compounds // J. Electron. Mater. 2009. V. 38. P. 1427–1432. https://doi.org/10.1007/s11664-009-0730-6
  16. Nasir N., Grytsiv A., Melnychenko-Koblyuk N., Rogl P., Bauer E., Lackner R., Royanian E., Giester G., Saccone A. Clathrates Ba8{Zn,Cd}xSi46−x, x7: Synthesis, Crystal Structure and Thermoelectric Properties // J. Phys.: Condens. Matter. 2009. V. 21. № 38. P. 385404–385411. http://dx.doi.org/10.1088/0953-8984/21/38/385404
  17. Koelling D.D., Arbman G.O. Use of Energy Derivative of the Radial Solution in an Augmented Plane Wave Method: Application to Copper // J. Phys. F. 1975. V. 5. P. 2041–2054. https://doi.org/10.1088/0305-4608/5/11/016
  18. Vosko S.N., Wilk L., Nusair M. Accurate Spin-Dependent Electron Liquid Correlation Energies for Local Spin Density Calculations: a Critical Analysis // Can. J. Phys. 1980. V. 58. P. 1200–1211. https://doi.org/10.1139/p80-159
  19. MacDonald A.H., Pickett W.E., Koelling D.D. A Linearised Relativistic Augmented-Plane-Wave Method Utilising Approximate Pure Spin Basis Functions // J. Phys. C. 1980. V. 13. P. 2675–2683. https://doi.org/10.1088/0022-3719/13/14/009
  20. Курганский С. И., Борщ Н. А., Переславцева Н. С., Электронная структура и спектральные характеристики клатратов Si46 и Na8Si46 // Физика и техника полупроводников. 2005. Т. 39. № 10. С. 1218–1223.
  21. Борщ Н. А., Переславцева Н. С., Курганский С. И. Электронная структура и спектральные характеристики Zn-замещенных клатратных силицидов // Физика и техника полупроводников. 2011. Т. 45. № 6. С. 729–739.
  22. Борщ Н. А., Переславцева Н. С., Курганский С. И. Электронно-энергетический спектр в Pd-замещенных клатратных кристаллах на основе кремния // Физика твердого тела. 2012. Т. 54. № 2. С. 241–245.
  23. Борщ Н. А., Курганский С. И. Электронная структура четырехкомпонентных клатратных кристаллов системы Ba-Zn-Si-Ge // Физика и техника полупроводников. 2018. Т. 52. № 3. С. 299–303. https://doi.org/10.21883/FTP.2018.03.45612.8615a

Қосымша файлдар

Қосымша файлдар
Әрекет
1. JATS XML
2. Fig. 1. Zone structure of Cd-substituted silicon clathrates in the vicinity of the Fermi level.

Жүктеу (155KB)
3. Fig. 2. Total and partial densities of electronic states in Ba8Cd6Si40 clathrate.

Жүктеу (6KB)
4. Fig. 3. Total and partial densities of electronic states in Ba8Cd7Si39 clathrate.

Жүктеу (14KB)
5. Fig. 4. Total and partial densities of electronic states in Ba8Cd8Si38 clathrate.

Жүктеу (87KB)
6. Fig. 5. Coordination tetrahedra of clathrate lattice atoms from non-equivalent crystallographic positions and local partial densities of electronic states of cadmium atoms from non-equivalent crystallographic positions in Ba8Cd7Si39 and Ba8Cd8Si38 clathrates.

Жүктеу (57KB)

© Russian Academy of Sciences, 2024

Согласие на обработку персональных данных с помощью сервиса «Яндекс.Метрика»

1. Я (далее – «Пользователь» или «Субъект персональных данных»), осуществляя использование сайта https://journals.rcsi.science/ (далее – «Сайт»), подтверждая свою полную дееспособность даю согласие на обработку персональных данных с использованием средств автоматизации Оператору - федеральному государственному бюджетному учреждению «Российский центр научной информации» (РЦНИ), далее – «Оператор», расположенному по адресу: 119991, г. Москва, Ленинский просп., д.32А, со следующими условиями.

2. Категории обрабатываемых данных: файлы «cookies» (куки-файлы). Файлы «cookie» – это небольшой текстовый файл, который веб-сервер может хранить в браузере Пользователя. Данные файлы веб-сервер загружает на устройство Пользователя при посещении им Сайта. При каждом следующем посещении Пользователем Сайта «cookie» файлы отправляются на Сайт Оператора. Данные файлы позволяют Сайту распознавать устройство Пользователя. Содержимое такого файла может как относиться, так и не относиться к персональным данным, в зависимости от того, содержит ли такой файл персональные данные или содержит обезличенные технические данные.

3. Цель обработки персональных данных: анализ пользовательской активности с помощью сервиса «Яндекс.Метрика».

4. Категории субъектов персональных данных: все Пользователи Сайта, которые дали согласие на обработку файлов «cookie».

5. Способы обработки: сбор, запись, систематизация, накопление, хранение, уточнение (обновление, изменение), извлечение, использование, передача (доступ, предоставление), блокирование, удаление, уничтожение персональных данных.

6. Срок обработки и хранения: до получения от Субъекта персональных данных требования о прекращении обработки/отзыва согласия.

7. Способ отзыва: заявление об отзыве в письменном виде путём его направления на адрес электронной почты Оператора: info@rcsi.science или путем письменного обращения по юридическому адресу: 119991, г. Москва, Ленинский просп., д.32А

8. Субъект персональных данных вправе запретить своему оборудованию прием этих данных или ограничить прием этих данных. При отказе от получения таких данных или при ограничении приема данных некоторые функции Сайта могут работать некорректно. Субъект персональных данных обязуется сам настроить свое оборудование таким способом, чтобы оно обеспечивало адекватный его желаниям режим работы и уровень защиты данных файлов «cookie», Оператор не предоставляет технологических и правовых консультаций на темы подобного характера.

9. Порядок уничтожения персональных данных при достижении цели их обработки или при наступлении иных законных оснований определяется Оператором в соответствии с законодательством Российской Федерации.

10. Я согласен/согласна квалифицировать в качестве своей простой электронной подписи под настоящим Согласием и под Политикой обработки персональных данных выполнение мною следующего действия на сайте: https://journals.rcsi.science/ нажатие мною на интерфейсе с текстом: «Сайт использует сервис «Яндекс.Метрика» (который использует файлы «cookie») на элемент с текстом «Принять и продолжить».