Особенности формирования сферических мезопористых частиц кремнезема при температурах ниже комнатной
- Authors: Стовпяга E.Ю.1, Кириленко Д.A.1, Яговкина М.A.1, Курдюков Д.A.1
-
Affiliations:
- Физико-технический институт им. А.Ф. Иоффе Российской академии наук
- Issue: Vol 60, No 2 (2024)
- Pages: 183–192
- Section: Articles
- URL: https://ogarev-online.ru/0002-337X/article/view/274508
- DOI: https://doi.org/10.31857/S0002337X24020067
- EDN: https://elibrary.ru/LIFEZY
- ID: 274508
Cite item
Full Text
Abstract
Разработана методика управления параметрами внутренней структуры (удельная поверхность, объем, размер пор) сферических частиц аморфного кремнезема за счет варьирования температуры синтеза. Частицы получены гидролизом тетраэтоксисилана в спирто-водно-аммиачной смеси с добавлением цетилтриметиламмоний бромида при температурах от ‒20 до 50°С. Исследованы морфология и адсорбционно-структурные свойства синтезированных материалов, показано влияние температуры реакционной смеси на механизм формирования частиц. Синтезированные частицы диаметром 500 ‒ 1100 нм имеют поры размером от 3 до 50 нм, объемом до 0.8 см³/г и удельной поверхностью до 1000 м2/г. При температурах ниже комнатной формируются частицы типа ядро/оболочка.
Full Text
ВВЕДЕНИЕ
Пористые материалы на основе аморфного кремнезема (α-SiO₂) составляют основу многих адсорбентов, носителей катализаторов и лекарственных средств [1–3], что обусловлено такими уникальными характеристиками кремнезема, как высокая адсорбционная емкость, химическая инертность, термостойкость и низкая токсичность [4].
Классические методы получения мезопористых материалов типа MСМ-41 базируются на гидролизе органосиланов в присутствии катионных поверхностно-активных веществ (КПАВ) [5]. Длина углеводородной цепи КПАВ определяет конечный диаметр пор в синтезируемом кремнеземе. Наиболее часто используемым КПАВ является цетилтриметиламмоний бромид (ЦТАБ) ввиду своей коммерческой доступности [5]. Пористая структура сферических частиц кремнезема типа МСМ-41 представляет собой гексагональную упаковку цилиндрических наноканалов диаметром от 2 до 5 нм [6]. Различные способы модификации состава реакционной смеси и условия синтеза позволяют получить частицы кремнезема с управляемыми свойствами поверхности, формой, размером как самих частиц, так и пор [7]. В ряде работ исследовано влияние повышения температуры реакционной смеси от комнатной до 80°С на структуру и размер получаемых частиц [8–10]. Также были исследованы особенности роста штоберовских («непористых») частиц кремнезема [11–13] при понижении температуры реакционной смеси. Показано [11], что изменение температуры с 32.5 до 1.5°С приводит к увеличению конечного диаметра частиц с 150 до 400 нм, что обусловлено разным количеством центров зародышеобразования (при 32.5°С их в ⁓20 раз больше, чем при 1.5°С). В то же время, влияние понижения температуры смеси ниже комнатной на механизм роста пористых частиц кремнезема не изучено.
Модификация внутренней пористой структуры частиц кремнезема существенно расширяет их функциональные возможности. Так, частицы с комбинированной микро-мезопористой или мезо-макропористой структурой имеют повышенные удельную поверхность, объем пор и как следствие увеличенную адсорбционную способность [14, 15]. Частицы с более крупными мезопорами (десятки нанометров) перспективны для применения в медицине в качестве наноконтейнеров [16].
В настоящей работе предложен подход, позволяющий формировать в реакционной смеси кластеры плотноупакованных цилиндрических мицелл ЦТАБ, покрытых слоем гидратированного SiO₂, варьировать размер кластеров и осуществлять их коагуляцию в сферические агрегаты. Управление размером кластеров достигалось за счет изменения температуры реакционной смеси в диапазоне от –20 до 50°С. Установлено, что с понижением температуры размер кластеров увеличивается от ~10 до ~100 нм и формируются частицы со структурой типа ядро/оболочка. Варьирование температуры реакционной смеси позволило получить частицы, содержащие поры от 3 до 50 нм. Исследованы морфологические и адсорбционно-структурные свойства полученных материалов.
ЭКСПЕРИМЕНТАЛЬНАЯ ЧАСТЬ
В работе использованы следующие вещества и реагенты: ЦТАБ, C₁₆H₃₃N(CH₃)₃Br, 99+% (Acros); аммиак водный NH₃, 24 мас.%, ≥99.99%; этиловый спирт C₂H₅OH, 95 мас.%; деионизованная вода Н₂О, 10 МОм; тетраэтоксисилан (ТЭОС) Si(OC₂H₅)₄, 99+% (Acros).
Мезопористые сферические частицы кремнезема синтезированы путем щелочного гидролиза ТЭОС в спирто-водно-аммиачной среде в присутствии ЦТАБ. Мольное соотношение реагентов ТЭОС : NH₃ : H₂O : C₂H₅OH : ЦТАБ составило 1 : 19 : 370 : 230 : 0.2 соответственно, объем раствора 0.5 л. Реакционная смесь (без ТЭОС) при перемешивании (200 об./мин) охлаждалась или нагревалась до заданной температуры в криостате LOIP FT-205-25, затем в смесь вливали ТЭОС, термостатированный при той же температуре. Температура смеси поддерживалась на протяжении всего синтеза; использованы следующие температуры: –20, 0, 10, 30 и 50°С, время синтеза частиц составило 24 ч. Для удаления органических веществ полученные частицы отжигались на воздухе при температуре 550°С в течение 5 ч.
Исследования методом азотной адсорбционной порометрии выполнены с помощью порозиметра Micromeritics 3FLEX при температуре 77 К. Значения удельной поверхности рассчитывались методом Брунауэра–Эммета–Теллера (SБЭТ) в области относительных давлений 0.05<p/p0<0.3. Распределение пор по размерам рассчитывалось с применением теории функционала плотности (ТФП) для оксидных поверхностей в предположении применимости модели цилиндрических пор, удельный объем пор (Vуд) рассчитывался при p/p0 = 0.994. Исследования внутренней структуры частиц проводились на просвечивающем электронном микроскопе JEOL JEM-2100F (ускоряющее напряжение 200 кВ, разрешение 0.19 нм), оборудованном рентгеновским энергодисперсионным (EDX) спектрометром Bruker XFlash 6 T-30. Гидродинамический диаметр полученных частиц регистрировали методом динамического светорассеяния (ДСР) на анализаторе Malvern Zetasizer Nano ZS при температуре 25°С. Исследования методом порошковой рентгеновской дифракции в области малых углов (2q = 1°–8°) проводились на установке D2 Phaser, Bruker (CuKα-излучение). Порошки частиц помещали в бесфоновую кремниевую кювету диаметром 20 и глубиной 0.1 мм.
РЕЗУЛЬТАТЫ И ОБСУЖДЕНИЕ
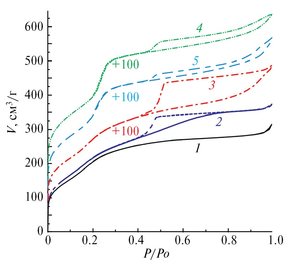
Рис. 1. Изотермы адсорбции азота при 77 K для частиц кремнезема, синтезированных при температуре реакционной смеси 50(1), 30 (2), 10 (3), 0 (4), –20°С (5).
На рис. 1 представлены изотермы адсорбции азота при 77 К для синтезированных частиц. Все изотермы имеют точку перегиба при p/p0 ≈ 0.3 (тип IV [17]), обусловленную капиллярной конденсацией азота в мезопорах размером 3 нм. Наличие гистерезиса в области 0.4<p/p0<0.99 (рис.1, кривые 2–5) связано с капиллярной конденсацией азота в мезопорах размером от 4 до 50 нм («крупных» мезопорах).
Рис. 2. Распределение пор по размерам для синтезированных частиц кремнезема, 1–5 – см. подпись к рис.1.
В распределении пор по размерам для всех частиц (рис.2 кривые 1–5) наблюдается выраженный пик с максимумом при 3.1 нм, характерный для материалов типа МСМ-41 [5], синтезируемых с использованием цилиндрических мицелл ЦТАБ в качестве порообразующего вещества. Для частиц, полученных при 50°C (рис.2, кривая 1), ширина данного пика на полувысоте является наименьшей и составляет 0.8 нм. По мере снижения температуры синтеза среднеквадратичное отклонение размеров пор растет, что обусловлено вкладом пор свыше 3 нм в их распределение по размерам, при этом общий объем пор также увеличивается (табл. 1). Частицы, синтезированные при 0°C, имеют наибольший объем пор (0.81 см³/г). Значения удельной поверхности SБЭТ, полного объема пор Vуд и объема пор размером свыше 3 нм сведены в табл. 1.
Таблица 1. Параметры синтезированных частиц кремнезема
t,°C | Время до начала | D, нм | D, нм | Vуд, | Vмезо (d>3 | SБЭТ, |
50 | 1 | 500±15 | 530±15 | 0.49 | 0.12 (25%) | 760 |
30 | 3 | 1050±30 | 1070±35 | 0.58 | 0.19 (33%) | 808 |
10 | 7 | 1080±20 | 1100±40 | 0.68 | 0.27 (40%) | 818 |
0 | 15 | 750±55 | 790±85 | 0.81 | 0.2 (25%) | 982 |
–20 | 50 | 660±50 | 700±80 | 0.76 | 0.23 (30%) | 923 |
* Время начала реакции определялось по возникновению эффекта Тиндаля в реакционной смеси.
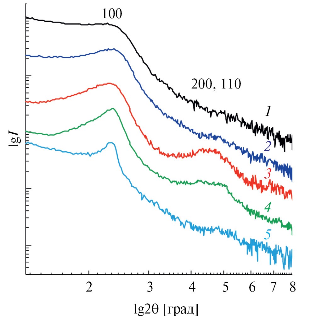
Результаты исследования частиц методом порошковой рентгеновской дифракции в области малых углов представлены на рис. 3. Для всех образцов на дифракционных кривых имеется интенсивный пик брэгговского отражения (2q ≈ 2.4°), идентичный пику, получаемому для материалов типа МСМ-41 [6].
Рис. 3. Дифракционные кривые для синтезированных частиц кремнезема, 1–5 – см. подпись к рис.1 (обозначены индексы Миллера наблюдаемых дифракционных рефлексов; для удобства кривые сдвинуты вдоль оси ординат).
Положение данного рефлекса для всех дифракционных кривых одинаково и соответствует межплоскостному расстоянию d100 ≈ 3.8 нм в системе плотноупакованных наноканалов с внешним диаметром 4.3 нм [10]. Ширины данных дифракционных пиков уменьшаются по мере уменьшения температуры синтеза, что свидетельствует об увеличении размера области когерентного рассеяния (ОКР). Кроме того, на дифракционных кривых частиц, синтезированных при температурах от –20 до 30°С, при бóльших углах 2θ присутствует широкая полоса, которая, предположительно, соответствует отражению от плоскостей (110) и (200) [6, 10], что также обусловлено ростом ОКР.
Распределение синтезированных частиц по размерам, измеренное методом ДСР, представлено на рис. 4. Видно, что при увеличении температуры реакционный смеси от 10 до 50°С средний диаметр частиц уменьшается с 1100 до 530 нм, что соответствует данным [10, 18]. При понижении температуры реакционной смеси от 10 до –20°С наблюдается также уменьшение гидродинамического диаметра частиц до ∼700 нм и увеличение среднеквадратичного отклонения размеров частиц.
Рис. 4. Распределение гидродинамических диаметров частиц кремнезема, измеренное методом ДСР, 1–5 – см. подпись к рис.1.
Полученные значения гидродинамических диаметров частиц (рис.4) согласуются с данными ПЭМ. На микрофотографиях (рис. 5, 6) видно, что внутренняя структура частиц, синтезированных при разных температурах, различна. Так, при t = 50°С получены частицы, имеющие одинаковую структуру вблизи поверхности и в объеме частицы, c порами размером, не превышающим 3 нм (рис. 5а–5в). Частицы, синтезированные при температурах 10 и 30°С, представляют собой «рыхлое» ядро, содержащее крупные мезопоры (размером 4–40 нм) и более плотную оболочку с порами размером 3 нм (рис.5г–5и). Частицы, полученные при температурах 0 и ‒20°С, имеют более «плотное ядро» и оболочку с, по-видимому, меньшей кажущейся плотностью (меньшим поглощением электронов), в которой есть как поры размером 3 нм, так и до 50 нм (рис. 6). Отметим, что структура частиц, полученных из данной реакционной смеси при 50°С, коррелирует с результатами, опубликованными ранее [10, 18]. Таким образом, наблюдаемые морфологические особенности обусловлены в первую очередь температурой синтеза частиц.
Рассмотрим различные механизмы образования частиц при i) 50°С, ii) при 10 и 30°С, iii) при 0 и ‒20°С.
Сферические частицы кремнезема (как мезопористые [10, 18], так и «непористые»-штоберовские [19–21]) формируются по агрегативному механизму. Сначала в реакционной смеси посредством гидролиза ТЭОС и последующей поликонденсации его продуктов возникают первичные наночастицы SiO₂ [20] или SiO₂/ЦТАБ [10] соответственно. Затем происходит коагуляция первичных наночастиц в сферические агрегаты. Температура реакционной смеси влияет на:
Скорости реакций гидролиза и поликонденсации экспоненциально уменьшаются с понижением температуры [21, 22]. Процессы мицеллообразования определяются соотношением концентрации ЦТАБ (CЦТАБ) в реакционной смеси и критической концентрации мицеллообразования (ККМ) ЦТАБ. В смеси в термодинамическом равновесии находятся цилиндрические мицеллы, сферические мицеллы, премицеллярные ассоциаты, а также индивидуальные молекулы ЦТАБ [26]. Чем больше отношение CЦТАБ/ККМЦТАБ, тем больше размер цилиндрических мицелл в смеси. В настоящей работе реакционная смесь была аналогична описанной в работе [10], CЦТАБ в реакционной смеси в 10 раз превышала ККМЦТАБ при 25°С. По данным [23, 24], в диапазоне температур от 20 до 40°С, при увеличении температуры на 20°С, значение ККМ увеличивается в ∼1.5 раза [23, 24]. Аппроксимируя эти данные линейной зависимостью и экстраполируя в область более низких температур (вплоть до –20 С), получим, что при t = –20°С ККМЦТАБ будет от 4 [24] до 9 [23] раз меньше, чем при 50°С. Наконец, агрегативная устойчивость дисперсных систем увеличивается с понижением температуры и возрастанием вязкости дисперсионной среды [25].
В реакционной смеси, нагретой до 50°С, CЦТАБ в ~7 раз больше ККМ, поэтому в ней преимущественно присутствуют цилиндрические мицеллы ЦТАБ. В результате гидролиза ТЭОС формируемые в реакционной смеси мицеллы ЦТАБ покрываются слоем гидратированного SiO₂, затем покрытые кремнеземом мицеллы собираются в кластеры (SiO₂/ЦТАБ) [10, 18]. Коагуляция кластеров протекает достаточно быстро, частицы возникают в смеси спустя 1 мин после добавления ТЭОС (табл. 1). На рис. 5а–5в приведены увеличенные фрагменты мезопористых частиц кремнезема, на которых видна шероховатость поверхности частицы ~10 нм, данное значение, по-видимому, соответствует размеру кластера плотноупакованных наноканалов SiO₂. Один из кластеров, состоящий из семи наноканалов SiO₂, выделен на рис. 5е белым шестиугольником. По данным ПЭМ, размер пор составляет ~3 нм (рис. 5а–5в). По данным адсорбционной порометрии, частицы содержат только цилиндрические мезопоры размером 3 нм (рис. 1, кривая 1; рис. 2, кривая 1). Это также свидетельствует о том, что размер кластера мал (поры между кластерами в 10 нм, вероятно, тоже имеют размер ~ 3 нм). Наличие только одного рефлекса 100 на дифракционной кривой частиц, синтезированных при 50°С (рис.3, кривая 1), также подтверждает, что размер кластеров мал.
При температурах реакционной смеси 30 и 10°С СЦТАБ больше ККМ примерно в 10 и 15 раз соответственно, поэтому в смеси формируются кластеры (SiO₂/ЦТАБ) [10, 18], возможно, несколько большего размера, чем при 50°С. На дифракционных кривых данных частиц (рис. 3, кривые 2, 3) имеется полоса, соответствующая отражению от плоскостей (110) и отражению второго порядка от семейства плоскостей (100) [6, 10], что свидетельствует об увеличенном размере кластеров по сравнению с частицами, синтезированными при 50°С. Процесс формирования частиц идет медленнее, чем при t = 50°С, частицы появляются в смеси, находящейся при 30 и 10°С, спустя 3 и 7 мин после добавления ТЭОС соответственно (табл. 1). При более низкой температуре вследствие большей агрегативной устойчивости системы не каждое соударение кластеров приводит к их коагуляции, т.к. не у всех кластеров (броуновских частиц) хватает кинетической энергии для преодоления потенциального барьера, обусловленного электростатическим отталкиванием их двойных электрических слоев. В то же время вследствие большого количества кластеров в смеси (при объеме кластера мицелл ЦТАБ 1000 нм³ в 1 л смеси из 1 г ЦТАБ образуется ~1018 кластеров) можно допустить одновременное столкновение нескольких кластеров, часть из которых скоагулирует, а часть – нет. Это приводит к тому, что кластеры при температурах синтеза 10 и 30°С собираются в более «рыхлые» сферические агрегаты, чем при 50°С.
Рис. 5. ПЭМ-изображения частиц кремнезема, синтезированных при 50 (а–в), 30 (г–е), 10°C (ж–и) (белым шестиугольником обозначен кластер плотноупакованных наноканалов кремнезема).
Наличие оболочки у частиц, синтезированных при 30 и 10°С, можно объяснить следующим образом. После того как большинство кластеров скоагулирует, система становится еще более устойчивой, вследствие уменьшения концентрации дисперсной фазы [25]. Поэтому в смеси прекращается коагуляция кластеров друг с другом. Согласно расчетам, приведенным в работе [27], коэффициент коагуляции маленькой частицы с большой в разы выше, чем с частицей сопоставимого размера. Вследствие этого оставшиеся в смеси кластеры и ассоциаты SiO₂/ЦТАБ коагулируют только с поверхностью агрегатов микронного размера. Аналогичным образом формируется более плотный приповерхностный слой у штоберовских сферических частиц кремнезема [20]. В результате получаются сферические частицы кремнезема типа ядро/оболочка, в которых в центральной части имеются крупные мезопоры размером до ~40 нм, которые видны на ПЭМ-изображениях в виде областей светлого контраста (рис. 5г–5и). При этом ближе к поверхности частиц имеется более плотная оболочка, содержащая поры размером в единицы нанометров (рис. 5г–5и). Наличие крупных мезопор в ядре частиц и их отсутствие в оболочке подтверждается результатами адсорбционной порометрии. Так, на изотерме адсорбции частиц, синтезированных при 10°С (рис. 1, кривая 3), наблюдается резкий подъем в области относительных давлений p/p0 > 0.8–0.95, обусловленный капиллярной конденсацией азота в крупных мезопорах внутри ядра (d~10–40 нм, расчет по уравнению Кельвина при 0.8< p/p0<0.95), размер которых коррелирует с данными ПЭМ. При этом между изотермой адсорбции и изотермой десорбции имеется широкий гистерезис вплоть до p/p0 ~ 0.4. Вероятно, это вызвано тем, что при в диапазоне 0.4<p/p0<1.0 мезопоры размером ~3 нм в оболочке полностью заполнены азотом, что затрудняет его десорбцию из крупных пор ядра частиц при понижении давления.
При температуре –20°С концентрация ЦТАБ в реакционной смеси в ~50 раз превышает ККМ. Равновесие между молекулами, ассоциатами и мицеллами смещено в сторону образования более длинных цилиндрических мицелл ЦТАБ по сравнению с положительными температурами. Кроме того, при –20°C замедляется броуновское движение, что дополнительно способствует образованию длинных мицелл и их плотноупакованных кластеров большего размера.
Время, через которое в смеси при t = –20°С появляются частицы, на два порядка больше времени их возникновения при 50°С (табл. 1). По-видимому, процесс роста частиц лимитирован скоростью гидролиза ТЭОС, экспоненциально зависящей от температуры. Длинные мицеллы ЦТАБ и кластеры плотноупакованных мицелл ЦТАБ достаточно медленно (в течение часа) покрываются продуктами гидролиза ТЭОС. Находясь при столь низкой температуре, реакционная смесь становится более агрегативно устойчива, и коагуляция кластеров происходит значительно медленнее по сравнению с вышеописанными синтезами. В результате формируются частицы, состоящие из кластеров SiO₂/ЦТАБ размером до 100 нм. Типичный крупный кластер плотноупакованных наноканалов SiO₂ выделен белым треугольником (рис. 6е). На ПЭМ- изображениях видно, что некоторые частицы имеют несферическую форму (рис. 6), вероятно, их ядро состоит из нескольких крупных несферических кластеров. Покрытие образовавшихся частиц оболочкой, по-видимому, осуществляется так же, как в случае температур синтеза 10 и 30°С. Частицы, синтезированные при 0°С, вероятно, имеют схожий механизм формирования с частицами, полученными при t = ‒20°С, поскольку их морфология идентична (рис.6).
Рис. 6. ПЭМ-изображения частиц кремнезема, синтезированных при 0 (а–в), –20°C (г–е) (белым треугольником обозначен кластер плотноупакованных наноканалов кремнезема).
На дифрактограммах (рис. 3, кривые 4, 5) частиц, синтезированных при 0 и –20°С, наблюдается дальнейшее сужение пика 100 по сравнению с дифрактограммами частиц, синтезированных при более высоких температурах. Это свидетельствует о наибольшем размере кластеров (размере ОКР) в данных частицах, что коррелирует с данными ПЭМ (рис. 6). Вторая полоса в области 4°<2q<6° также наблюдается на дифракционных кривых, но ее интенсивность ниже для частиц, синтезированных при ‒20°С, что, вероятно, обусловлено дефектностью крупных кластеров в них. Так, на ПЭМ изображениях частиц видно (рис. 6г–6е), что наноканалы преимущественно ориентированы от центра частицы к ее внешней поверхности.
Рис. 7. Увеличенное ПЭМ-изображение частицы (температура синтеза – 0°С).
На увеличенном фрагменте ПЭМ-изображения частиц, синтезированных при 0°С (рис.7), видно, что ядро состоит из крупных кластеров с регулярно расположенными каналами, в оболочке размер структурных элементов значительно меньше (единицы нанометров). Видно, что между ядром и оболочкой имеются светлые области, вероятно, обусловленные наличием пор. На EDX-картах распределения Si, O в частицах, полученных при –20°C (рис. 8), также видно, что между оболочкой и ядром имеются более темные области размером в десятки нанометров. По-видимому, в данных областях находятся крупные мезопоры и вследствие этого содержание Si и O в них меньше, чем в ядре и оболочке.
Рис. 8. EDX-поэлементные карты O и Si для частиц, синтезированных при ‒20°С.
Возможно, данные поры есть и внутри ядра, но они на ПЭМ- изображениях (рис. 5, 6) не видны, поскольку упорядоченные наноканалы внутри ядра обладают большим контрастом и светлые области (поры) на фоне таких наноканалов видны хуже, чем в неупорядоченном ядре частиц, полученных при 10°C.
Толщина оболочки частиц, синтезированных при 0 и –20°C, составляет ~100 нм. Некоторое отличие морфологии оболочек частиц, полученных в интервалах 10–30°С и от 0 до –20°С (рис. 5, 6), вероятно, обусловлено различным размером, формой и количеством структурных элементов, формирующих оболочки. Чем ниже температура синтеза, тем, по-видимому, больше в оболочке кластеров и меньше премицеллярных ассоциатов вследствие большего отношения CЦТАБ/ККМЦТАБ. Наличие крупных мезопор в ядре частиц подтверждается результатами порометрии. На изотермах адсорбции частиц, синтезированных при 0 и ‒20°С (рис. 1, кривые 4, 5) наблюдается подъем в области p/p0 > 0.9–0.96, обусловленный капиллярной конденсацией азота в порах размером 20 ‒ 50 нм, а между изотермами адсорбции и десорбции имеется гистерезис до p/p0 ~ 0.4 (рис. 1). Следовательно, доступ в крупные мезопоры ядра осуществляется через поры оболочки, имеющие меньший размер.
ЗАКЛЮЧЕНИЕ
Реализована методика контролируемой модификации пористой структуры кремнезема за счет изменения температуры синтеза частиц от ‒20°С до 50°С. При температуре 50°С получаются сферические частицы, содержащие только поры размером 3 нм. В интервале температур от ‒20°С до 30°С образуются частицы со структурой ядро/оболочка. Мы полагаем, что формирование ядра происходит благодаря коагуляции кластеров SiO₂/ЦТАБ размером от 10 до 100 нм в зависимости от температуры синтеза. Далее рост оболочки осуществляется за счет коагуляции сформировавшихся микронных сферических агрегатов с оставшимися в смеси нанометровыми кластерами и ассоциатами продуктов гидролиза ТЭОС с молекулами ЦТАБ. В результате в ядре формируются мезопоры размером до 50 нм, при этом в оболочке размер пор составляет в основном ∼3 нм. Удельная поверхность и объем пор синтезированных частиц достигают ~1000 м²/г и ~0.8 см³/г соответственно. Полученная структура и адсорбционные характеристики частиц делают синтезированные материалы перспективными в качестве адсорбентов.
БЛАГОДАРНОСТЬ
Исследования методами порошковой рентгеновской дифракции и просвечивающей электронной микроскопии выполнены с использованием оборудования федерального ЦКП «Материаловедение и диагностика в передовых технологиях».
ФИНАНСИРОВАНИЕ РАБОТЫ
Работа выполнена с использованием средств госбюджета по теме госзадания FFUG-2024-0017.
КОНФЛИКТ ИНТЕРЕСОВ
Авторы заявляют, что у них нет конфликта интересов.
About the authors
E. Ю. Стовпяга
Физико-технический институт им. А.Ф. Иоффе Российской академии наук
Author for correspondence.
Email: kattrof@gvg.ioffe.ru
Russian Federation, 194021 Санкт-Петербург, Политехническая ул., 26
Д. A. Кириленко
Физико-технический институт им. А.Ф. Иоффе Российской академии наук
Email: kattrof@gvg.ioffe.ru
Russian Federation, 194021 Санкт-Петербург, Политехническая ул., 26
М. A. Яговкина
Физико-технический институт им. А.Ф. Иоффе Российской академии наук
Email: kattrof@gvg.ioffe.ru
Russian Federation, 194021 Санкт-Петербург, Политехническая ул., 26
Д. A. Курдюков
Физико-технический институт им. А.Ф. Иоффе Российской академии наук
Email: kattrof@gvg.ioffe.ru
Russian Federation, 194021 Санкт-Петербург, Политехническая ул., 26
References
- Coasne B., Galarneau A., Pellenq R.J.M., Renzoa F.Di. Adsorption, Intrusion and Freezing in Porous Silica: The View from the Nanoscale // Chem. Soc. Rev. 2013. V. 42. P. 4141-4171. https://doi.org/10.1039/C2CS35384A
- Castillo R.R., Vallet-Regí M. Functional Mesoporous Silica Nanocomposites: Biomedical Applications and Biosafety // Int. J. Mol. Sci. 2019. V. 20. P. 929. https://doi.org/10.3390/ijms20040929
- Matter F., Niederberger M. The Importance of the Macroscopic Geometry in Gas-phase Photocatalysis // Adv. Sci. 2022. P. 2105363. https://doi.org/10.1002/advs.202105363
- Mehmood A., Ghafar H., Yaqoob S., Gohar U. F., Ahmad B. Mesoporous Silica Nanoparticles: A Review // J. Develop. Drugs. 2017. V. 6. P. 1000174. https://doi.org/10.4172/2329-6631.1000174
- Kresge C.T., Leonowicz M.E., Roth W.J., Vartuli J.C., Beck J.S. Ordered Mesoporous Molecular Sieves Synthesized by a Liquid-Crystal Template Mechanism // Nature. 1992. V. 359. P. 710-712. https://doi.org/10.1038/359710a0
- Beck J.S., Vartuli J.C., Roth W.J., Leonowicz M.E., Kresge C.T., Schmitt K.D., Chu T.W.C., Olson D.H., Sheppard E.W. A New Family of Mesoporous Molecular Sieves Prepared with Liquid Crystal Templates // J. Am. Chem. Soc. 1992. V. 114. P. 10834. https://doi.org/10.1021/ja00053a020
- Shinde P.S., Suryawanshi P.S., Patil K.K., Belekar V.M., Sankpal S.A., Delekar S.D., Jadhav S.A. A Brief Overview of Recent Progress in Porous Silica as Catalyst Supports // J. Compos. Sci. 2021. V. 5. P. 75. https://doi.org/10.3390/jcs5030075
- Sajjadi S.A., Izadbakhsh A., Niknam K. Effect of Synthesis Conditions on Textural Properties of Silica MCM-41 // J. Petrol. Technol. 2016. V. 3. № 1. P. 59-82. https://doi.org/10.22034/jogpt.2016.43249
- Borowka A., Skrzypiec K. Effects of Temperature on the Structure of Mesoporous Silica Materials Templated with Cationic Surfactants in a Nonhydrothermal Short-term Synthesis Route // J. Solid State Chem. 2021. V. 299. P. 122183. https://doi.org/10.1016/j.jssc.2021.122183
- Trofimova E.Yu., Kurdyukov D.A., Yakovlev S.A., Kirilenko D.A., Kukushkina Y.A., Nashchekin A.V., Sitnikova A.A., Yagovkina M.A., Golubev V.G. Monodisperse Spherical Mesoporous Silica Particles: Fast Synthesis Procedure and Fabrication of Photonic-crystal Films // Nanotechnology. 2013. V. 24. P. 155601. https://doi.org/10.1088/0957-4484/24/15/155601
- Масалов В.М., Сухинина Н.С., Емельченко Г.А. Коллоидные частицы диоксида кремния для формирования опалоподобных структур // ФТТ. 2011. Т. 53. № 5. С. 1072-1076.
- Liang X., Lian L., Liu Y., Kong Q., Wang L. Controlled Synthesis of Monodisperse Silica Particles // Micro Nano Lett. 2016. V. 11. P. 532–534. https://doi.org/10.1049/mnl.2016.0189
- Zárate-Reyes J.-M., Flores-Romero E., Cheang-Wong J.-C. Systematic Preparation of High-Quality Colloidal Silica Particles by Sol–Gel Synthesis Using Reagents at Low Temperature // Int. J. Appl. Glass. Sci. 2021. P. 1–9. https://doi.org/10.1111/ijag.16108
- Dou B., Li J., Hu Q., Ma C., He C., Li P., Hu Q., Hao Z., Qiao S. Hydrophobic Micro/Mesoporous Silica Spheres Assembled from Zeolite Precursors in Acidic Media for Aromatics Adsorption // Micropor. Mesopor. Mater. 2010. V. 133. P. 115–123. https://doi.org/10.1016/j.micromeso.2010.04.023
- Kim K.-D., Cho Y.K., Han S.W., Park E.J., Kim D.H., Jeong M.-G., Kim Y.D., Hong J.M.E., Lim D.C. Porous Silica Particles as Oil Absorbents: Comparison of Meso-, Macro-, and Meso/Macro-Structures // Bull. Korean Chem. Soc. 2015. V. 36. P. 1751–1757. https://doi.org/10.1002/bkcs.10330
- Carrozza D., Malavasi G., Ferrari E. Very Large Pores Mesoporous Silica as New Candidate for Delivery of Big Therapeutics Molecules, Such as Pharmaceutical Peptides // Materials. 2023. V. 16. Р. 4151. https://doi.org/10.3390/ma16114151
- Грег С., Синг К. Адсорбция, удельная поверхность, пористость. М.: Мир, 1984. 310 с.
- Трофимова Е.Ю., Курдюков Д.А., Кукушкина Ю.А., Яговкина М.А., Голубев В.Г. Синтез монодисперсных мезопористых сфер аморфного кремнезема субмикронного размера // Физика и химия стекла. 2011. T. 37. № 4. C. 510-517.
- Stöber W., Fink A., Bohn E. Controlled Growth of Monodisperse Silica Spheres in the Micron Size Range // J. Colloid Interface Sci. 1968. V. 26. P. 62-69.
- Карпов И.А., Самаров Э.Н., Масалов В.М., Божко С.И., Емельченко Г.А. О внутренней структуре сферических частиц опала // ФТТ. 2005. Т. 47. № 2. С. 334-338.
- Bogush G.H., Zukoski C.F. Studies of the Kinetics of the Precipitation of Uniform Silica Particles through the Hydrolysis and Condensation of Silicon Alkoxides // J. Colloid Interface Sci. 1991. V. 142. № 1. P. 1-16.
- Chen S.-L., Dong P., Yang G.-H., Yang J.-J. Kinetics of Formation of Monodisperse Colloidal Silica Particles Through the Hydrolysis and Condensation of Tetraethylorthosilicate // Ind. Eng. Chem. Res. 1996. V. 35. P. 4487-4493.
- Basnet N. Cetrimonium Bromide: The Micellization Behaviors and Applications // Damak Campus J. 2020. V. 8. P. 47-55.
- Поверхностно-активные вещества. Справочник /Под. ред. Абрамзона А.А. и Гаевого Г. М. Л.: Химия, 1979. 376 с.
- Adair J.H., Suvaci E., Sindel J. Surface and Colloid Chemistry // Encyclopedia of Materials: Science and Technology (Second Edition). 2001. P. 1–10. https://doi.org/10.1016/B0-08-043152-6/01622-3
- Stovpiaga E.Yu., Eurov D.A., Kurdyukov D.A., Glebova N.V., Kirilenko D.A., Tomkovich M.V., Golubev V.G. Formation of Spherical Microporous Silica Particles from Organosilane and Quat Molecules // Colloids Surf. A. 2022. V. 650. P. 129633. https://doi.org/10.1016/j.colsurfa.2022.129633
- Kürten A., Williamson C., Almeida J., Kirkby J., Curtius J. On the Derivation of Particle Nucleation Rates from Experimental Formation Rates // Atmos. Chem. Phys. 2015. V. 15. P. 4063–4075. https://doi.org/10.5194/acp-15-4063-2015
Supplementary files









