Особенности извлечения редкоземельных элементов из фосфогипса
- Авторы: Никулин И.С.1, Никуличева Т.Б.1, Гальцев А.В.1, Колесников Д.А.1, Захвалинский В.С.1, Вьюгин А.О.1, Аносов Н.В.1
-
Учреждения:
- Белгородский государственный национальный исследовательский университет
- Выпуск: Том 60, № 1 (2024)
- Страницы: 120-125
- Раздел: Статьи
- URL: https://ogarev-online.ru/0002-337X/article/view/274454
- DOI: https://doi.org/10.31857/S0002337X24010143
- EDN: https://elibrary.ru/MGRJYM
- ID: 274454
Цитировать
Полный текст
Аннотация
Работа посвящена исследованию влияния способа переработки гипсосодержащих отходов на степень извлечения из них редкоземельных металлов (РЗМ). Гипсосодержащие отходы производства фосфорной кислоты обрабатывали водными растворами различных кислот в интервале температур 25–140 °С при соотношении Т : Ж от 1 : 1 до 1 : 3. Установлено, что максимальное выделение РЗМ из фосфогипса достигается при обработке соляной и азотной кислотами при температуре кипения водных растворов соответствующих кислот. Преимущество отдается азотной кислоте, так как после кислотной обработки в гипсе образуется большое количество нитратов, которые можно использовать в качестве сельскохозяйственного удобрения. Обработка фосфогипса при повышенных температурах и давлении приводит к большему растворению гипса, но не увеличивает выход РЗМ из него. Максимальная экономическая эффективность выделения РЗМ из фосфогипса достигается при соотношении Т : Ж примерно 1 : 2, температуре обработки 103–105 °С и времени каскада не более 10 мин.
Полный текст
ВВЕДЕНИЕ
Фосфогипс является неизбежным крупнотоннажным отходом производства фосфорной кислоты, которая активно используется в пищевой, химической и других отраслях промышленности. Количество отвалов фосфогипса растет с каждым годом, и сегодня они занимают огромные площади в сотни квадратных километров неиспользуемых земель по всему миру. Поэтому комплексная переработка фосфогипса чрезвычайно важна и актуальна для рационального использования природных ресурсов [1].
Использование фосфогипса в чистом виде в качестве сырья для производства строительных материалов [2] и минеральных удобрений нерационально, а иногда и невозможно, поэтому создание безотходной технологии комплексной переработки является важной научной и экономической задачей. Одним из коммерческих продуктов переработки фосфогипса может быть концентрат редкоземельных металлов (РЗМ) [3]. РЗМ содержится в фосфогипсе в количестве 0.1 – 0.5 мас. % в зависимости от исходного сырья. Это в несколько раз меньше, чем в содержащих их горных породах, однако удобство заключается в том, что фосфогипс не нужно добывать из земной породы. Комплексная переработка фосфогипса может быть реализована рядом с производством фосфорной кислоты, что рационально, так как можно использовать существующие мощности готового предприятия [4].
Для извлечения редкоземельных металлов из содержащих их пород в настоящее время чаще всего используется серная кислота [5]. В нашем эксперименте была предпринята попытка определить параметры обработки, позволяющие наиболее эффективно, с экономической точки зрения, извлекать РЗМ из фосфогипса.
Для оптимизации были выбраны следующие параметры.
- Тип кислоты, в которой проводилась термообработка фосфогипса, а также ее концентрация.
- Температура и время обработки.
- Соотношение количества фосфогипса и водного раствора кислоты.
ЭКСПЕРИМЕНТАЛЬНАЯ ЧАСТЬ
В данной работе были проведены эксперименты по определению оптимальных параметров извлечения РЗМ из фосфогипса. В список параметров входили водные растворы различных кислот, их концентрации, температура и время обработки. Были подобраны режимы обработки, при которых был получен максимальный выход РЗМ из фосфогипса.
В эксперименте сравнивалось влияние серной, азотной и соляной кислот на извлечение РЗМ из фосфогипса [6]. Обработку кислотами проводили при температуре выше 105 °С в системе микроволнового разложения проб Speedwave XPERT (Berghof GmbH, Germany), которая позволяет проводить термообработку в кислотах до температуры 200 °С под давлением до 60 атм. [7]. В качестве контролируемого параметра была выбрана температура, давление не контролировалось. Температура измерялась со дна фторопластового автоклава, а температура внутри автоклава пересчитывалась по калибровочным графикам в ходе самого эксперимента. Точность измерений гарантировалась производителем на уровне ± 1.5–2 °C.
Экстракция РЗМ при температурах ниже 100 °C проводилась в реакторе, где были предусмотрены технологические отверстия для размещения термоизмерительного датчика, нагревательного элемента, а также для загрузки и извлечения образцов и реагентов (рис. 1).
Рис. 1. Схема реактора для переработки фосфогипса
Кинетическая зависимость выхода РЗМ из фосфогипса определялась путем анализа проб фильтрата, промывочной жидкости и сухого остатка образцов, которые извлекались из реактора через 3, 6, 9, 15, 20 и 30 мин кипячения водного раствора кислоты.
Состав фильтрата и сухого остатка исследовали на содержание РЗМ. Извлечение РЗМ определялось как отношение суммарного содержания РЗМ в фильтрате и промывных водах к содержанию РЗМ в исходном фосфогипсе. Состав фосфогипса, фильтратов и сухого остатка определяли на оптико-эмиссионном спектрометре с индуктивно связанной плазмой Avio 220 Max (PerkinElmer Inc., USA).
В качестве инертного газа использовался аргон чистотой 99.996 %. Его расход устанавливался на уровне 16 л/мин. Скорость потребления анализируемого раствора устанавливалась на уровне 1 мл/мин. Анализ каждого образца повторялся не менее трех раз.
РЕЗУЛЬТАТЫ И ОБСУЖДЕНИЕ
На рис. 2 приведена гистограмма распределения РЗМ в фосфогипсе (г. Балаково) с общим содержанием РЗМ.
Рис. 2. Содержание РЗМ в фосфогипсе (г. Балаково)
На рис. 3 приведены графики извлечения РЗМ из фосфогипса (г. Балаково) для трех кислот в зависимости от соотношения Т : Ж. Установлено, что выделение РЗМ при обработке соляной и азотной кислотами выше, чем при обработке серной кислотой. [8] В дальнейшем для экспериментов была выбрана азотная кислота, которая дешевле соляной и менее токсична. Кроме того, соли азотной кислоты используются в качестве азотистых удобрений [9]. Это позволяет повысить рентабельность производства РЗМ при дальнейшей переработке отходов.
Рис. 3. Зависимости извлечения суммарных РЗМ после обработки растворами кислот от соотношения Т : Ж
Исследование влияния концентрации раствора азотной кислоты на выделение РЗМ из гипса [10, 11] показало, что выделение РЗМ возрастает с увеличением концентрации азотной кислоты в растворе (рис. 4). Однако, поскольку на кислоту приходится половина затрат при получении концентрата РЗМ, рекомендуется использовать растворы от 1.5 до 2 моль/л.
Рис. 4. Зависимости общего содержания РЗМ в фильтрате (а), в сухом остатке (б) от концентрации раствора азотной кислоты при температурах 100, 120 и 140 °C
Следует также отметить, что порошок фосфогипса не перемешивался в микроволновом реакторе для растворения образца. Использование мешалки в реакторе при атмосферном давлении приводит к одинаковому выходу РЗМ из фосфогипса при всех отношениях Т : Ж и достигает значения около 60% [12]. Температурная зависимость выхода РЗМ из фосфогипса указывает на нецелесообразность использования автоклавов для переработки фосфогипса при температурах выше 102–105 °С (температура кипения раствора азотной кислоты при нормальных условиях). Исследование температурной зависимости извлечения РЗМ из фосфогипса при температурах ниже 100 °C показало, что извлечение РЗМ из фосфогипса увеличивается с ростом температуры вплоть до температуры кипения раствора азотной [13] кислоты. Использовался 2 М раствор азотной кислоты.
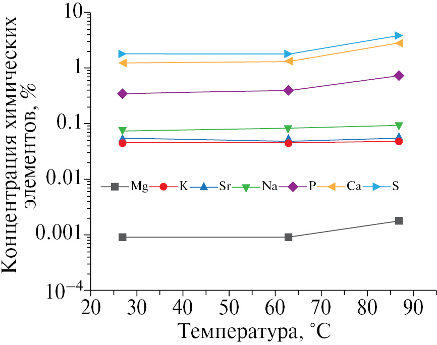
На рис. 5 и 6 приведены температурные зависимости содержания РЗМ и других элементов [14] соответственно в фильтрате и промывных водах после обработки фосфогипса 2 М раствором азотной кислоты. В табл. 1 приведены содержания P, Ca, Sr, K, Na, Mg и S в фильтрате. Как видно, содержание P, Ca, Sr, K, Na и S увеличивается с повышением температуры, что свидетельствует о большем растворении фосфогипса при более высоких температурах [15].
Рис. 5. Температурные зависимости общего содержания РЗМ в фильтрате и промывных водах, а также в сухом остатке после обработки фосфогипса 2 М раствором азотной кислоты
Рис. 6. Температурные зависимости содержания элементов (кроме РЗМ) в фильтрате после обработки фосфогипса 2 М раствором азотной кислоты
Таблица 1. Зависимость содержания элементов (кроме РЗМ) в фильтрате после обработки 2 М раствором азотной кислоты от температуры
Температура, °С | Содержание элементов, мас. % | ||||||
P | Ca | Sr | K | Mg | Na | S | |
27 | 0.35 ± 0.01 | 1.18 ± 0.01 | 0.05 ± 0.01 | 0.04 ± 0.01 | 0.01 ± 0.01 | 0.08 ± 0.01 | 1.75 ± 0.01 |
63 | 0.38 ± 0.01 | 1.30 ± 0.01 | 0.05 ± 0.01 | 0.04 ± 0.01 | 0.01 ± 0.01 | 0.08 ± 0.01 | 1.77 ± 0.01 |
87 | 0.71 ± 0.01 | 2.81 ± 0.01 | 0.05 ± 0.01 | 0.05 ± 0.01 | 0.01 ± 0.01 | 0.09 ± 0.01 | 3.76 ± 0.01 |
Последним определяемым параметром процесса было время изотермической выдержки фосфогипса в растворе HNO3. Результаты исследований содержания РЗМ в фильтрате и осадке приведены на рис. 7. Как видно, содержание РЗМ в фильтрате имеет ярко выраженный максимум при значении времени около 7–7.5 мин.
Рис. 7. Временные зависимости содержания РЗМ в фильтрате (а) и в осадке, выпадающем в фильтрате при охлаждении, (б) при обработке фосфогипса 2 М раствором HNO3
Далее содержание РЗМ в фильтрате уменьшается.
Содержание РЗМ в осадке увеличивается при времени эксперимента более 20 мин. Такое поведение объясняется тем, что из фосфогипса вымывается максимально возможное количество РЗМ, а затем вымываются только Ca, P, S и другие элементы, что приводит к уменьшению доли РЗМ в растворе. При охлаждении фильтрата образуется осадок, в котором концентрация РЗМ со временем увеличивается и достигает насыщения при времени около 20 мин. Примечательно, что значение насыщения совпадает с содержанием РЗМ в исходном фосфогипсе, которое составляет 0.52–0.53%. Отсюда следует, что обрабатывать фосфогипс кислотой более 10 мин не имеет смысла.
ЗАКЛЮЧЕНИЕ
Определены параметры обработки гипса для эффективного извлечения из него РЗМ:
- общее содержание РЗМ в гипсе составляет примерно 0.53%;
- оптимальным является 2М водный раствор азотной кислоты;
- соотношение Т : Ж составляет 1 : 2;
- температура переработки гипса 103–105 °C (температура кипения раствора азотной кислоты при нормальных условиях);
- время обработки гипса в водном растворе HNO3 10 мин.
ФИНАНСИРОВАНИЕ РАБОТЫ
Исследование выполнено в рамках государственного задания на создание в 2021 г. новых лабораторий, в том числе под руководством молодых перспективных специалистов национального проекта «Наука и университеты», по научной теме «Разработка и развитие научно-технологических основ создания комплексной технологии переработки гипсосодержащих отходов различных промышленных предприятий и поиск новых способов применения продуктов переработки» (FZWG-2024-0001).
БЛАГОДАРНОСТЬ
Исследование выполнено при административной поддержке ООО «БСО» (г. Белгород), а также Фонда содействия развитию малых форм предприятий в научно-технической сфере (Фонд содействия инновациям).
КОНФЛИКТ ИНТЕРЕСОВ
Авторы являют, что у них нет конфликта интересов.
Об авторах
И. С. Никулин
Белгородский государственный национальный исследовательский университет
Email: alexeyvyugin@yandex.ru
Россия, Белгород
Т. Б. Никуличева
Белгородский государственный национальный исследовательский университет
Email: alexeyvyugin@yandex.ru
Россия, Белгород
А. В. Гальцев
Белгородский государственный национальный исследовательский университет
Email: alexeyvyugin@yandex.ru
Россия, Белгород
Д. А. Колесников
Белгородский государственный национальный исследовательский университет
Email: alexeyvyugin@yandex.ru
Россия, Белгород
В. С. Захвалинский
Белгородский государственный национальный исследовательский университет
Email: alexeyvyugin@yandex.ru
Россия, Белгород
А. О. Вьюгин
Белгородский государственный национальный исследовательский университет
Автор, ответственный за переписку.
Email: alexeyvyugin@yandex.ru
Россия, Белгород
Н. В. Аносов
Белгородский государственный национальный исследовательский университет
Email: alexeyvyugin@yandex.ru
Россия, Белгород
Список литературы
- Локшин Э.П., Тареева А.О., Елизарова И.Р. О комплексной переработке фосфогипса // Журн. прикл. химии. 2013. Т. 86. № 4. С. 497–502.
- Кудрявцева И.С., Щеголева Э.В. Использование фосфогипса в качестве строительного материала // Науч. вестн. Воронежского гос. архитектурно-строительного ун-та. 2017. № 3. С. 83–88.
- Башлыкова Т.В., Вальков А.В., Петров В.И. Извлечение редкоземельных элементов из фосфогипса и отходов золотодобычи // Цв. металлы. 2012. № 3. С. 40–42.
- Даминев Р.Р., Курбангалеева М.Х. Извлечение редкоземельных элементов из фосфогипса // Башкирский хим. журн. 2021. Т. 28. № 4. С. 90–92.
- Бушуев Н.Н., Зинин Д.С. Особенности термического разложения оксалатов кальция и РЗЭ // Журн. неорган. химии. 2016. Т. 61. № 2. С. 173–179.
- Матвеева В.А., Смирнов Ю.Д., Сучков Д.В. Промышленная переработка фосфогипса в органоминеральное удобрение // Геохимия окружающей среды и здоровье. 2022. Т. 44. № 5. С. 1605–1618.
- Rashad A.M. Phosphogypsum as a Construction Material // J. Cleaner Prod. 2017. V. 166. P. 732–743. https://doi.org/10.1016/j.jclepro.2017.08.049
- Peelman S., Zhi H.I. Sun, Jilt Sietsma, Yongxiang Yang. Leaching of Rare Earth Elements: Review of Past and Present Technologies // Rare Earths Ind. 2016. P. 319–334. https://doi.org/10.1016/B978-0-12-802328-0.00021-8
- Dollimore D. The Thermal Decomposition of Oxalates // Thermochim. Acta. 1987. V. 117. P. 331–363. https://doi.org/10.1016/0040-6031(87)88127-3
- Alcordo I.S., Rechcigl J.E. Phosphogypsum in Agriculture: A Review // Adv. Agronomy. 1993. V. 49. P. 55–118. https://doi.org/10.1016/S0065-2113(08)60793-2
- Walawalkar M., Nichol K.C., Azimi G. Process Investigation of the Acid Leaching of Rare Earth Elements from Phosphogypsum using HCl, HNO3, and H2SO4 // Hydrometallurgy. 2016. V. 166. P. 195–204. https://doi.org/10.1016/j.hydromet.2016.06.008
- Lambert A., Anawati J., Walawalkar M., Tam J., Azimi G. Innovative Application of Microwave Treatment for Recovering of Rare Earth Elements from Phosphogypsum // ACS Sustainable Chem. Eng. 2018. V. 6. P. 16471–16481. https://doi.org/10.1021/acssuschemeng.8b03588
- Mukaba J.L., Eze C.P., Pereao O., Petrik L.F. Rare Earths’ Recovery from Phosphogypsum: An Overview on Direct and Indirect Leaching Techniques // Minerals. 2021. V. 11. P. 1051. https://doi.org/10.3390/min11101051
- Revuelta M.B. Gypsum Products// Construction Materials. Springer Textbooks in Earth Sciences, Geography and Environment. Cham: Springer, 2021. 602 p. https://doi.org/10.1007/978-3-030-65207-4_8
- Ma L., Niu X., Hou J., Zheng S., Xu W. Reaction Mechanism and Influence Factors Analysis for Calcium Sulfide Generation in the Process of Phosphogypsum Decomposition // Termochim. Acta. 2021. V. 526. P. 163–168. https://doi.org/10.1016/j.tca.2011.09.013
Дополнительные файлы









