Влияние замещения алюминием на структурные, магнитные и магнитотермические свойства иттриевого феррита-граната
- Authors: 1, 2, 3, 4, 1,5, 1, 2, 1, 3, 3, 1, 3
-
Affiliations:
- Московский государственный университет им. М.В. Ломоносова, Физический факультет
- Институт химии твердого тела и механохимии СО Российской академии наук
- Институт физики и технологии Монгольской Академии наук
- Институт физики земли им. О.Ю. Шмидта Российской академии наук
- АО ГНЦ “Центр Келдыша”
- Issue: Vol 59, No 11 (2023)
- Pages: 1262-1271
- Section: Articles
- URL: https://ogarev-online.ru/0002-337X/article/view/252404
- DOI: https://doi.org/10.31857/S0002337X23110064
- EDN: https://elibrary.ru/FUJWRG
- ID: 252404
Cite item
Full Text
Abstract
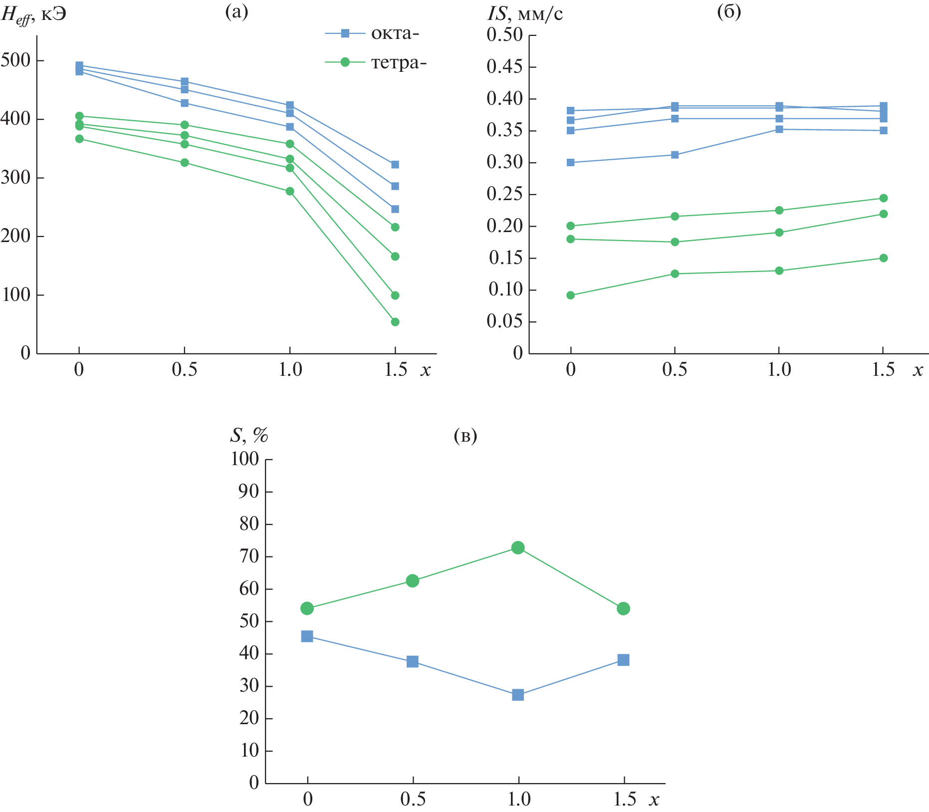
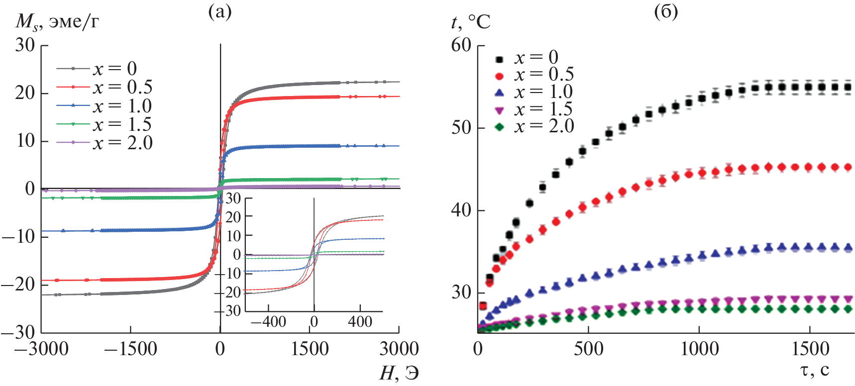
Методами сканирующей электронной микроскопии, рентгеновской дифракции, Рамановской и Мессбауэровской спектроскопии, измерением полевых и температурных зависимостей намагниченности насыщения и магнитокалорического эффекта в переменном магнитном поле исследованы образцы Y3Fe5 – xAlxO12 (х = 0, 0.5, 1.0, 1.5, 2.0), синтезированные золь–гель-методом. Изучено влияние увеличения концентрации алюминия на кристаллическую и магнитную структуру, магнитотермические свойства частиц феррита-граната.
About the authors
Московский государственный университет им. М.В. Ломоносова,
Физический факультет
Author for correspondence.
Email: Kiseleva.tyu@gmail.com
Россия, 119991, Москва, Ленинские горы, 2
Институт химии твердого тела и механохимии СО Российской академии
наук
Email: Kiseleva.tyu@gmail.com
Россия, 630090, Новосибирск, ул. Кутателадзе, 18
Институт физики и технологии Монгольской Академии наук
Email: Kiseleva.tyu@gmail.com
Монголия, 13330, Улан-Батор,
ул. Мира, 54B
Институт физики земли им. О.Ю. Шмидта Российской академии наук
Email: Kiseleva.tyu@gmail.com
Россия, 123242, Москва,
ул. Б. Грузинская, 10, стр. 1
Московский государственный университет им. М.В. Ломоносова,
Физический факультет; АО ГНЦ “Центр Келдыша”
Email: Kiseleva.tyu@gmail.com
Россия, 119991, Москва, Ленинские горы, 2; Россия, 125438, Москва, ул. Онежская, 8
Московский государственный университет им. М.В. Ломоносова,
Физический факультет
Email: Kiseleva.tyu@gmail.com
Россия, 119991, Москва, Ленинские горы, 2
Институт химии твердого тела и механохимии СО Российской академии
наук
Email: Kiseleva.tyu@gmail.com
Россия, 630090, Новосибирск, ул. Кутателадзе, 18
Московский государственный университет им. М.В. Ломоносова,
Физический факультет
Email: Kiseleva.tyu@gmail.com
Россия, 119991, Москва, Ленинские горы, 2
Институт физики и технологии Монгольской Академии наук
Email: Kiseleva.tyu@gmail.com
Монголия, 13330, Улан-Батор,
ул. Мира, 54B
Институт физики и технологии Монгольской Академии наук
Email: Kiseleva.tyu@gmail.com
Монголия, 13330, Улан-Батор,
ул. Мира, 54B
Московский государственный университет им. М.В. Ломоносова,
Физический факультет
Email: Kiseleva.tyu@gmail.com
Россия, 119991, Москва, Ленинские горы, 2
Институт физики и технологии Монгольской Академии наук
Email: Kiseleva.tyu@gmail.com
Монголия, 13330, Улан-Батор,
ул. Мира, 54B
References
- Cruz I.F., Freire C., Araujo J., Pereira C., Pereira A.M. Multifunctional Ferrite Nanoparticles: from Current Trends Toward the Future // Magnetic Nanostructured Materials. Chapter 3. N.Y.: Elsevier, 2018. P. 59–115.
- Bao J., Wen T., Samia A.C., Khandahar A., Krishnan K.M. Magnetic Nanoparticles Material Engineering and Emerging Applications in Lithography and Biomedicine // J. Mater. Sci. 2016. V. 51. P. 513–553. https://doi.org/10.1007/s10853-015-9324-2
- Tishin A., Shtil A., Pyatakov A., Zverev V. Developing Antitumor Hyperthermia: Principles, Materials and Devices, Recent Patents on Anti-cancer Drug Discovery // Bentham sci. 2016. V. 11. P. 360–375. https://doi.org/10.2174/0929866523666160720094638
- Guistin A.J., Petryk A.A., Cassim S.M. Magnetic Nanoparticle Hyperthermia in Cancer Treatment // Nano LIFE. 2010. V. 1. № 1–2. P. 17–32. https://doi.org/10.1142/S1793984410000067
- Aono H., Senba R., Nishimory T., Naohara T. Preparation of Y3Fe5O12 Microsphere Using Bead-Milled Nanosized Powder for Embolization Therapy Application // J. Am. Ceram. Soc. 2013. V. 96. № 11. P. 3483–3488. https://doi.org/10.1111/jace.12511
- Aono H., Ebara H., Senba R., Naohara T., Maehara T., Hirazawa H., Watanabe Y. High Heat Generation Ability in AC Magnetic Field of Y3Fe5O12 Powder Prepared Using Bead Milling // J. Am. Ceram. Soc. 2011. V. 94. № 12. P. 4116–4119. https://doi.org/10.1016/j.jmmm.2012.02.002
- Aono H. Development of Nano-Sized Superparamagnetic Ferrites Having Heat Generation Ability in an AC Magnetic Field for Thermal Coagulation Therapy // J. Ceram. Soc. Jpn. 2014. V. 122. № 4. P. 237–240. https://doi.org/10.2109/jcersj2.122.P4-1
- Grasset F., Mornet S., Demourgues A., Portiera J., Bonnet J., Vekris A., Duguet E. Synthesis, Magnetic Properties, Surface Modification and Cytotoxicity Evaluation of Y3Fe5 – xAlxO12 (0 < x < 2) Garnet Submicron Particles for Biomedical Applications // J. Magn. Magn. Mater. 2001. V. 234. P. 409–418. https://doi.org/10.1016/S0304-8853(01)00386-9
- Apostolov A.T., Apostolova I.N., Wesselinowa J.M. Application of Ion-Doped Y3Fe5O12 Nanoparticles for Self-Controlled Magnetic Hyperthermia // Phys. Status Solidi B. 2022. V. 259. P. 2100545. https://doi.org/10.1002/pssb.202100545
- Mallmann E.J.J., Sombra A.S.B., Goes J.C., Fechine P.B.A. Yttrium Iron Garnet: Properties and Applications Review // Solid State Phenom. 2013. V. 202. P. 65–96. https://doi.org/10.4028/www.scientific.net/SSP.202.65
- Gilleo M.A., Geller S. Magnetic and Crystallographic Properties of Substituted Yttrium-Iron Garnet, 3Y2O3⋅xM2O3(5−x)Fe2O3 // Phys. Rev. 1958. V. 110. № 1. P. 73–78. https://doi.org/10.1103/PhysRev.110.73
- Perrot P. Iron-Oxygen-Yttrium // Ternary Alloy Systems / Ed. Effenberg G. 2009. V. 11. D5. P. 1–10. https://doi.org/10.1007/978-3-540-70890-2_23
- Mohaidat Q.I., Lataifeh M., Hamasha K., Mahmood S.H., Bsoul I., Awandeh M. The Structural and the Magnetic Properties of Aluminum Substituted Yttrium Iron Garnet // Mater. Res. 2018. V. 21. № 3. P. e20170808. https://doi.org/10.1590/1980-5373-MR-2017-0808
- Azadi Motlagh Z., Mozaffari M., Amighian J., Lehlooh A.F., Awawdeh M., Mahmood S. Mössbauer Studies of Y3Fe5−xAlxO12 Nanopowders Prepared by Mechanochemical Method // Hyperfine Interact. 2010. V. 198. P. 295–302. https://doi.org/10.1007/s10751-010-0234-z
- Rodic D., Mitric M., Tellgren R., Rundlof H. The Cation Distribution and Magnetic Structure of Y3Fe5–xAlxO12 // J. Magn. Magn. Mater. 2001. V. 232. P. 1–8. https://doi.org/10.1016/S0304-8853(01)00211-6
- Mahour L.N., Manjunatha M., Choudhary H.K., Kumar R., Anupama A.V., Damle R., Ramesh K.P., Sahoo B. Structural and Magnetic Properties of Al-Doped Yttrium Iron Garnet Ceramics: 57Fe Internal Field NMR and Mössbauer Spectroscopy Study // J. Alloys Compd. 2019. V. 773. P. 612–622. https://doi.org/10.1016/j.jallcom.2018.09.213
- Rietveld H.M. A Profile Refinement Method for Nuclear and Magnetic Structures // J. Appl. Crystallogr. 1969. V. 2. № 2. P. 65–71. https://doi.org/10.1107/S0021889869006558
- Matsnev M.E., Rusakov V.S. SpectrRelax: An Application for Mössbauer Spectra Modeling and Fitting // AIP Conf. Proc. 2012. V. 1489. P. 178–185.
- Barton-Lopez J.F., Hernández-Cruz L.E., Sánchez De-Jesús F., Bolarín-Miró A. et al. Vibrational and Magnetic Properties of YIG Ferrite Powders Obtained by the Pechini Method // J. Phys.: Conf. Ser. 2019. V. 1221. P. 0123017.https://doi.org/10.1088/1742-6596/1221/1/012017
- Nagrare B.S., Kekade S.S., Thombare B., Reddy R.V. Hyperfine Interaction, Raman and Magnetic Study of YFeO3 Nanocrystals // Solid State Commun. 2018. V. 280. P. 32–38. https://doi.org/10.1016/j.ssc.2018.06.004
- Winkler H., Eisberg R., Alp E., Rüffer R., Gerdau E., Lauer S., Trautwein A.X., Grodzicki M., Vera A. Pure Nuclear Reflexes and Combined Hyperfine Interactions in YIG // Z. Phys. B: Condens.Matter. 1983. V. 49. P. 331–341. https://doi.org/10.1007/BF01301594
- Sawatzky G.A., Van Der Woude F., Morrish A.H. Recoilless-Fraction Ratios for Octahedral and Tetrahedral Sites of a Spinel and a Garnet // Phys. Rev. 1969. V. 183. P. 383–386. https://doi.org/10.1103/PhysRev.183.383
- Kiseleva T., Abbas R., Martinson K., Komlev A., Lazareva E., Tyapkin P. et al. Size-Dependent Structural, Magnetic and Magnetothermal Properties of Y3Fe5O12 Fine Particles Obtained by SCS // Nanomaterials. 2022. V. 12. № 16. P. 2733–2748. https://doi.org/10.3390/nano12162733
- Крупичка С. Физика ферритов и родственных им магнитных окислов. Т. 1. М.: Мир, 1976. 180 с.
- Sanchex R.D., Rivas J., Vaqueiro P., López-Quintela M.A., Caeiro D. Particle Size Effects on Magnetic Properties of Yttium Iron Garnets Prepared by Sol-Gel Method // J. Magn. Magn. Mater. 2002. V. 247. P. 92–98. https://doi.org/10.1016/S0304-8853(02)00170-1
Supplementary files







