Сенсорные свойства тонкопленочных структур CdxPb1 – xS/CdS, полученных химическим осаждением
- Authors: 1, 1, 1,2, 3, 4, 1,2
-
Affiliations:
- Уральский федеральный университет им. первого Президента России Б.Н. Ельцина
- Уральский институт Государственной противопожарной службы МЧС России
- Институт физики металлов им. М.Н. Михеева УрО Российской академии наук
- Институт химии твердого тела УрО Российской академии наук
- Issue: Vol 59, No 11 (2023)
- Pages: 1211-1221
- Section: Articles
- URL: https://ogarev-online.ru/0002-337X/article/view/252399
- DOI: https://doi.org/10.31857/S0002337X2311012X
- EDN: https://elibrary.ru/TNPQZA
- ID: 252399
Cite item
Full Text
Abstract
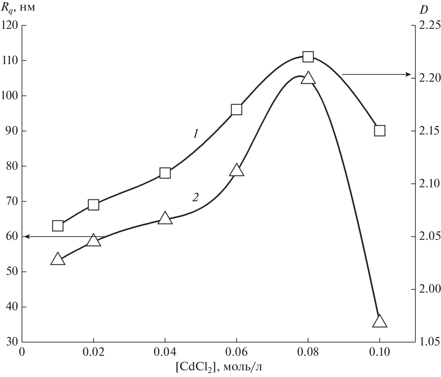
Методом химического осаждения получены двухфазные тонкопленочные композиты, состоящие из твердых растворов замещения CdxPb1 − xS (0.007 ≤ x ≤ 0.068) кубической структуры B1 (пр. гр. \(Fm\bar {3}m\)) и аморфного сульфида кадмия CdS. Методом атомно-силовой микроскопии исследована топология поверхности синтезированных пленок, рассчитаны параметры микрорельефа поверхности. Установлена корреляция между составом и функциональными свойствами тонкопленочных слоев CdS–PbS. Впервые исследована чувствительность двухфазных пленок CdxPb1 – xS/CdS к аммиаку NH3 в воздушной среде. Предел обнаружения составил 10 ppm (6.22 мг/м3) при комнатной температуре.
About the authors
Уральский федеральный университет им. первого Президента России Б.Н. Ельцина
Author for correspondence.
Email: n-kutyavina@mail.ru
Россия, 620002, Екатеринбург,
ул. Мира, 19
Уральский федеральный университет им. первого Президента России Б.Н. Ельцина
Email: n-kutyavina@mail.ru
Россия, 620002, Екатеринбург,
ул. Мира, 19
Уральский федеральный университет им. первого Президента России Б.Н. Ельцина; Уральский институт Государственной противопожарной службы МЧС России
Email: n-kutyavina@mail.ru
Россия, 620002, Екатеринбург,
ул. Мира, 19; Россия, 620062, Екатеринбург, ул. Мира, 22
Институт физики металлов им. М.Н. Михеева УрО Российской академии наук
Email: n-kutyavina@mail.ru
Россия, 620108, Екатеринбург, ул. Софьи Ковалевской, 18
Институт химии твердого тела УрО Российской академии наук
Email: n-kutyavina@mail.ru
Россия, 620990, Екатеринбург,
ул. Первомайская, 91
Уральский федеральный университет им. первого Президента России Б.Н. Ельцина; Уральский институт Государственной противопожарной службы МЧС России
Email: n-kutyavina@mail.ru
Россия, 620002, Екатеринбург,
ул. Мира, 19; Россия, 620062, Екатеринбург, ул. Мира, 22
References
- Bai R., Kumar D., Chaudhary S., Pandya D.K. Highly Crystalline p-PbS Thin Films with Tunable Optical and Hole Transport Parameters by Chemical Bath Deposition // Acta Mater. 2017. V. 131. P. 11–21. https://doi.org/10.1016/j.actamat.2017.03.062
- Petrus R.Y., Ilchuk H.A., Kashuba A.I., Semkiv I.V., Zmiiovska E.O. Optical-Energy Properties of CdS Thin Films Obtained by the Method of High-Frequency Magnetron Sputtering // Opt. Spectrosc. 2019. V. 126. № 3. P. 220–225. https://doi.org/10.1134/S0030400X19030160
- Rajathia S., Kirubavathi K., Selvaraju K. Preparation of Nanocrystalline Cd-Doped PbS Thin Films and Their Structural and Optical Properties // J. Taibah Univ. Sci. 2017. V. 11. № 6. P. 1296–1305 https://doi.org/10.1016/j.jtusci.2017.05.001
- Kaushik H.K., Kumar S., Chaudhary M.G., Khan S. Optical Properties of CdS:Pb Thin Layer Deposited on Glass Substrate // Indian J. Pure Appl. Phys. 2020. V. 58. P. 11–15.
- Suryavanshi K.E., Dhake R.B., Patil A.M., Sonawane M.R. Growth Mechanism and Transport Properties of Chemically Deposited PbxCd1 – xS Thin Film’s Photoelectrochemical (PEC) Solar Cell // Optik. 2020. V. 218. P. 165008. https://doi.org/10.1016/j.ijleo.2020.165008
- Barote M.A., Kamble S.S., Deshmukh L.P., Masumdar E.U. Photo-Electrochemical Performance of Cd1 − xPbxS (0 ≤ x ≤ 1) Thin Films // Ceram. Int. 2013. V. 39. № 2. P. 1463–1467. https://doi.org/10.1016/j.ceramint.2012.07.090
- Ounissi A., Ouddai N., Achour S. Optical Characterisation of Chemically Deposited Pb(1−x)CdxS Films and a Pb1 − xCdxS(n)/Si(p) Heterojunction // EPJ Appl. Phys. 2007. V. 37. № 3. P. 241–245. https://doi.org/10.1051/epjap:2007034
- Touati B., Gassoumi A., Guasch C., Turki N.K. Cd2+ Doped PbS Thin Films for Photovoltaic Applications: Novel Low-Cost Perspective // Mater. Sci. Semicond. Process. 2017. V. 67. P. 20–27. https://doi.org/10.1016/j.mssp.2017.05.004
- Hakeem H.S., Abbas N.K. Preparing and Studying Structural and Optical Properties of Pb1 − xCdxS Nanoparticles of Solar Cells Applications // Baghdad Sci. J. 2021. V. 18. № 3. P. 640–648. https://doi.org/10.21123/bsj.2021.18.3.0640
- Gogoi L., Gogoi J., Chetia R., Chamua M., Konwer S., Saikia P.K. Role of Concentration on CdxPb1 – xS Thin Films: Synthesis, Characterization and Photovoltaic Cells Properties // Bull. Mater. Sci. 2022. V. 45. № 4. P. 220–237. https://doi.org/10.1007/s12034-022-02801-6
- Маскаева Л.Н., Марков В.Ф., Порхачев М.Ю., Мокроусова О.А. Термическая и радиационная устойчивость ИК-детекторов на основе пленок твердых растворов CdxPb1 – xS // Пожаровзрывобезопасность. 2015. Т. 24. № 9. С. 67–73.
- Маскаева Л.Н., Ваганова И.В., Марков В.Ф., Бездетнова А.Е., Селянина А.Д., Воронин В.И., Селянин И.О. Влияние структурно-морфологических характеристик на сенсорные свойства пленок CdxPb1 – xS // ФТП. 2021. Т. 55. № 12. С. 1186–1194. https://doi.org/10.21883/FTP.2021.12.51704.9726
- Селянина А.Д., Маскаева Л.Н., Воронин В.И., Селянин И.О., Анохина И.А., Марков В.Ф. Структура и свойства двухфазных слоев CdxPb1 – xS/CdS, полученных химическим осаждением из этилендиамин-цитратной системы // ФТП. 2022. Т. 56. № 4. С. 408–419. https://doi.org/10.21883/FTP.2022.04.52196.9783
- Pentia E., Draghici V., Sarau G., Mereu B., Pintilie L., Sava F., Popescu M. Structural, Electrical, and Photoelectrical Properties of CdxPb1 – xS Thin Films Prepared by Chemical Bath Deposition // J. Electrochem. Soc. 2004. V. 151. № 11. P. G729–G733. https://doi.org/10.1149/1.1800673
- Fu T. Research on Gas-Sensing Properties of Lead Sulfide-Based Sensor for Detection of NO2 and NH3 at Room Temperature // Sens. Actuators, B. 2009. V. 140. № 1. P. 116–121. https://doi.org/10.1016/j.snb.2009.03.075
- Saravanakumar S., Usha K.S., Prasath G.V. Ammonia Gas Sensing Performance of Co/Ni Co-Doped CdS Thin Films by Chemical Bath Deposition // J. Mater. Sci. Mater. Electron. 2023. V. 34. № 3. https://doi.org/10.1007/s10854-022-09396-y
- Fu T. Sensing Behavior of CdS Nanoparticles to SO2, H2S and NH3 at Room Temperature // Mater. Res. Bull. 2013. V. 48. № 5. P. 1784–1790. https://doi.org/10.1016/j.materresbull.2013.01.037
- Dayana M.A., Rayar V.W. Camphor Sulfonic Acid Protonated Poly(2,5dimethoxyaniline) – Cadmium Sulfide Blend Thin Film for Ammonia Gas Sensing Application // Int. J. Innovative Technol. Exploring Eng. 2019. V. 8. № 10. P. 3237–3242. https://doi.org/10.35940/ijitee.J1176.0881019
- Akbar A., Das M., Sarkar D. Room Temperature Ammonia Sensing by CdS Nanoparticle Decorated Polyaniline (PANI) Nanorods // Sens. Actuators, A. 2020. V. 310. P. 112071. https://doi.org/10.1016/j.sna.2020.112071
- Kaci S., Keffous A., Hakoum S., Trari M., Mansri O., Menari H. Preparation of Nanostructured Pbs Thin Films as Sensing Element for NO2 Gas // Appl. Surf. Sci. 2014. V. 305. P. 740–746. https://doi.org/10.1016/j.apsusc.2014.03.190
- Navale S.T., Bandgar D.K., Chougule M.A., Patil V.B. Facile Method of Preparation of Pbs Films for NO2 Detection // RSC Advances. V. 5. № 9. P. 6518–6527. https://doi.org/10.1039/C4RA15644G
- Марков В.Ф., Гращенкова К.В., Маскаева Л.Н., Шашмурин Ю.Г., Кутявина А.Д. Фотоадсорбционный эффект в пленках твердых растворов CdPbS // Бутлеровские сообщ. 2020. Т. 62. № 6. С. 55–64.
- Марков В.Ф., Маскаева Л.Н., Поликарпова Ю.С., Миронов М.П., Родин В.Н., Соловьев Л.С., Берг Б.В., Потапов В.Н. Полупроводниковый чувствительный элемент для селективного детектора оксидов азота и способ его получения: Пат. №2305830 РФ. Выдан 10.09.2007.
- Bezdetnova A.E., Markov V.F., Maskaeva L.N., Shashmurin Yu.G., Frants A.S., Vinogradova T.V. Determination of Nitrogen Dioxide by Thin-Film Chemical Sensors Based on CdxPb1 – xS // J. Anal. Chem. 2019. V. 74. № 12. P. 1256–1262. https://doi.org/10.1134/S1061934819120025
- Maskaeva L.N., Vaganova I.V., Markov V.F., Voronin V.I., Belov V.S., Lipina O.A., Mostovshchikova E.V., Miroshnikova I.N. A Nonlinear Evolution of the Structure, Morphology, and Optical Properties of PbS–CdS Films with Cadmium Nitrate in the Reaction Mixture // Phys. Chem. Chem. Phys. 2021. V. 23. P. 10600–10614. https://doi.org/10.1039/d1cp00775k
- Сарыева Р.Х., Кожевникова Н.С., Маскаева Л.Н., Воронин В.И., Липина О.А., Еняшин А.Н., Бамбуров В.Г. Наноструктурированные пленки Pb(S,O): синтез, механизм осаждения и оптические свойства // ЖФХ. 2020. Т. 94. № 12. С. 1776–1782. https://doi.org/10.31857/S0044453720120262
- Onyia A.I. Optical Properties of Chemical bath Deposited CdS/PbS Heterojunction Thin Films: Effects of Annealing Treatments // J. Non-Oxide Glasses. 2018. V. 10. № 2. P. 49–56.
- Hariech S., Bougdira J., Belmahi M., Medjahdi G., Aida M.S., Zertal A. Effect of Deposition Time on Chemical Bath Deposited CdS Thin Films Properties // Bull. Mater. Sci. 2022. V. 45. № 78. https://doi.org/10.1007/s12034-022-02661-0
- Смирнов Б.М. Физика фрактальных кластеров. М.: Наука, 1991. 136 с.
- Weber M.J. Handbook Laser Science and Technology. London: CRC Press LLC, 2003. 499 p.
- Маскаева Л.Н., Поздин А.В., Марков В.Ф., Воронин В.И. Влияние природы подложки на состав пленок CdPbS и механические напряжения на интерфейсе “пленка−подложка” // ФТП. 2020. Т. 54. № 12. С. 1309–1319. https://doi.org/10.21883/FTP.2020.12.50230.9506
- Corll J.A. Recovery of the High-Pressure Phase of Cadmium Sulfide // J. Appl. Phys. 1964. V. 35. № 10. P. 3032–3033. https://doi.org/10.1063/1.1713151
- Susa K., Kobayashi T., Taniguchi S. High-Pressure Synthesis of Rock-Salt Type CdS Using Metal Sulfide Additives // J. Solid State Chem. 1980. V. 33. P. 197–202. https://doi.org/10.1016/0022-4596(80)90120-6
- Rakovics V. Chemical Bath Deposition of Nanocrystaline CdS and CdPbS Layers and Investigation of Their Photoconductivity // MRS Proceedings. 2005. V. 900E. № 3–30. P. 1–5. https://doi.org/10.1557/PROC-0900-O03-30
- Неустроев Л.Н., Осипов В.В. К теории физических свойств фоточувствительных поликристаллических пленок типа PbS. Модель, проводимость и эффект Холла // ФТП. 1986. Т. 20. № 1. Р. 59–65.
Supplementary files







