Dielectric Properties of Copper(II) Oxide Nanoparticles Synthesized in a Vacuum Arc Discharge
- Authors: Karpov I.V.1,2, Ushakov A.V.1,2, Fedorov L.Y.1,2, Goncharova E.A.1,2, Brungardt M.V.1,2
-
Affiliations:
- Siberian Federal University
- Krasnoyarsk Scientific Center (Federal Research Center), Siberian Branch, Russian Academy of Sciences
- Issue: Vol 59, No 7 (2023)
- Pages: 788-795
- Section: Articles
- URL: https://ogarev-online.ru/0002-337X/article/view/231910
- DOI: https://doi.org/10.31857/S0002337X23070072
- EDN: https://elibrary.ru/PTWIYW
- ID: 231910
Cite item
Full Text
Abstract
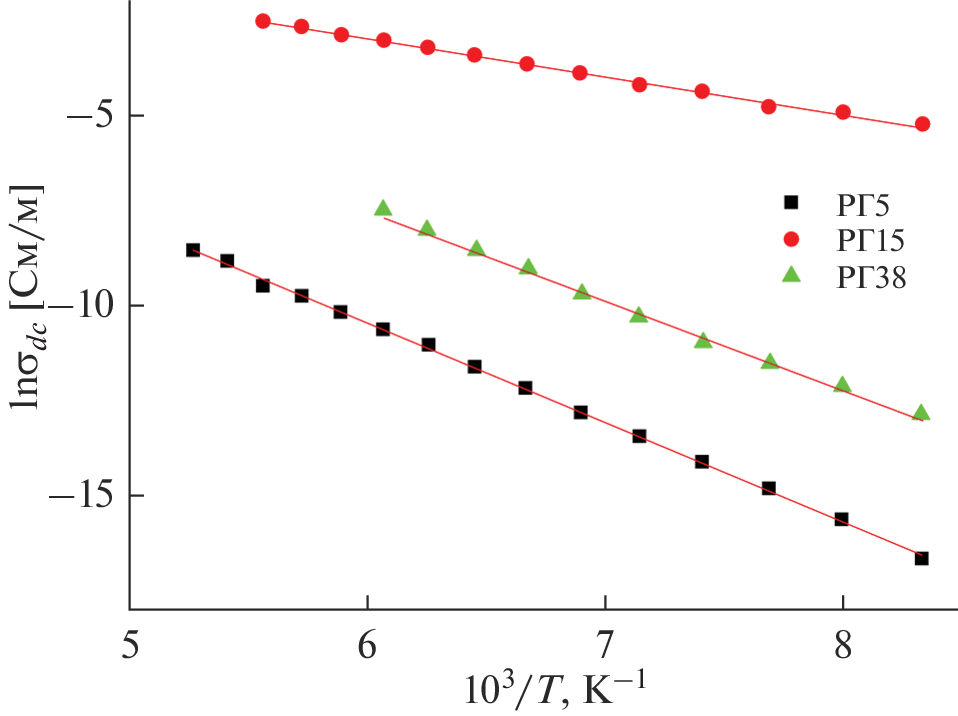
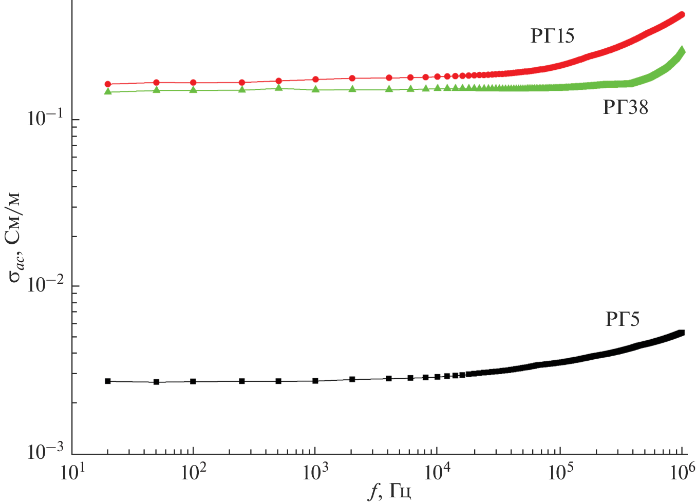
We have studied the effect of the size of copper oxide nanoparticles on their electrical transport properties. The nanoparticles have been synthesized by vacuum arc deposition and characterized by X-ray diffraction, X-ray photoelectron spectroscopy, and electron microscopy in order to determine their phase composition and size. The results demonstrate that raising the substrate temperature in the deposition process from 300 to 600 K increases the size of the forming nanoparticles from 5.4 to 37.7 nm. The frequency dependences of the electrical conductivity, dielectric permittivity, and dielectric loss tangent of the CuO nanoparticles in the range form 20 Hz to 1 MHz are influenced by their size. In the size range under consideration, distinctions in the dielectric properties of the nanoparticles can be understood in terms of the competing contributions of the competing contributions of the resistive and capacitive components for the particles and grain/particle boundaries.
About the authors
I. V. Karpov
Siberian Federal University; Krasnoyarsk Scientific Center (Federal Research Center), Siberian Branch, Russian Academy of Sciences
Email: sfu-unesco@mail.ru
660041, Krasnoyarsk, Russia; 660036, Krasnoyarsk, Russia
A. V. Ushakov
Siberian Federal University; Krasnoyarsk Scientific Center (Federal Research Center), Siberian Branch, Russian Academy of Sciences
Email: sfu-unesco@mail.ru
660041, Krasnoyarsk, Russia; 660036, Krasnoyarsk, Russia
L. Yu. Fedorov
Siberian Federal University; Krasnoyarsk Scientific Center (Federal Research Center), Siberian Branch, Russian Academy of Sciences
Email: sfu-unesco@mail.ru
660041, Krasnoyarsk, Russia; 660036, Krasnoyarsk, Russia
E. A. Goncharova
Siberian Federal University; Krasnoyarsk Scientific Center (Federal Research Center), Siberian Branch, Russian Academy of Sciences
Email: sfu-unesco@mail.ru
660041, Krasnoyarsk, Russia; 660036, Krasnoyarsk, Russia
M. V. Brungardt
Siberian Federal University; Krasnoyarsk Scientific Center (Federal Research Center), Siberian Branch, Russian Academy of Sciences
Author for correspondence.
Email: sfu-unesco@mail.ru
660041, Krasnoyarsk, Russia; 660036, Krasnoyarsk, Russia
References
- Koteeswari P., Sagadevan S., Fatimah I., Sibhatu A.K., Abd Razak S.I., Leonard E., Soga T. Green Synthesis and Characterization of Copper Oxide Nanoparticles and Their Photocatalytic Activity // Inorg. Chem. Commun. 2022. V. 144. P. 109851. https://doi.org/10.1016/j.inoche.2022.109851
- Angı A., Sanlı D., Erkey C., Birer Ö. Catalytic Activity of Copper(II) Oxide Prepared via Ultrasound Assisted Fenton-like Reaction // Ultrason. Sonochem. 2014. V. 21. № 2. P. 854–859. https://doi.org/10.1016/j.ultsonch.2013.09.006
- Senthilkumar V., Kim Y.S., Chandrasekaran S., Rajagopalan B., Kim E.J., Chung J.S. Comparative Supercapacitance Performance of CuO Nanostructures for Energy Storage Device Applications // RSC Adv. 2015. V. 5. P. 20545–20553. https://doi.org/10.1039/C5RA00035A
- Федоров Л.Ю., Ушаков А.В., Карпов И.В. Синтез и хеморезистивная чувствительность к водороду наноструктурированных пленок CuO // Письма в ЖТФ. 2022. Т. 48. № 14. С. 18–22. https://doi.org/10.21883/PJTF.2022.14.52864.19197
- Lillo-Ramiro J., Guerrero-Villalba J.M., Mota-González M.L., Aguirre-Tostado F.S., Gutiérrez-Heredia G., Mejía-Silva I., Carrillo-Castillo A. Optical and Microstructural Characteristics of CuO Thin Films by Sol Gel Process and Introducing in Non-Enzymatic Glucose Biosensor Applications // Optik. 2021. V. 229. P. 166238. https://doi.org/10.1016/j.ijleo.2020.166238
- Zhang Q., Zhang K., Xu D., Yang G., Huang H., Nie F., Liu C., Yang S. CuO Nanostructures: Synthesis, Characterization, Growth Mechanisms, Fundamental Properties, and Applications // Prog. Mater. Sci. 2014. V. 60. P. 208–337. https://doi.org/10.1016/j.pmatsci.2013.09.003
- Zoolfakar A.S., Rani R.A., Morfa A.J., O’Mullaned A.P., Kalantar-Zadeh K. Nanostructured Copper Oxide Semiconductors: a Perspective on Materials, Synthesis Methods and Applications // J. Mater. Chem. C. 2014. V. 2. P. 5247–5270. https://doi.org/10.1039/C4TC00345D
- El-Trass A., ElShamy H., El-Mehasseb I., El-Kemary M. CuO Nanoparticles: Synthesis, Characterization, Optical Properties and Interaction with Amino Acids // Appl. Surf. Sci. 2012. V. 258. P. 2997–3001. https://doi.org/10.1016/j.apsusc.2011.11.025
- Rahmatolahzadeh R., Aliabadi M., Motevalli K. Cu and CuO Nanostructures: Facile Hydrothermal Synthesis, Characterization and Photocatalytic Activity Using New Starting Reagents // J. Mater. Sci. – Mater. Electron. 2017. V. 28. P. 148–156. https://doi.org/10.1007/s10854-016-5504-3
- Сивков А.А., Назаренко О.Б., Ивашутенко А.С., Сайгаш А.С., Степанов К.И. Плазмодинамический синтез ультрадисперсных порошков на основе оксида меди // Изв. вузов. Физика. 2014. Т. 57. № 12–3. С. 309–314.
- Гончарова Д.А., Лапин И.Н., Савельев Е.С., Светличный В.А. Структура и свойства наночастиц, полученных методом лазерной абляции объемных мишеней металлической меди в воде и этаноле // Изв. вузов. Физика. 2017. Т. 60. № 7. С. 98–106.
- Oruç Ç., Altındal A. Structural and Dielectric Properties of CuO Nanoparticles // Ceram. Int. 2017. V. 43. № 14. P. 10708–10714. https://doi.org/10.1016/j.ceramint.2017.05.006
- Makhlouf S.A., Kassem M.A., Abdel-Rahim M.A. Particle Size-Dependent Electrical Properties of Nanocrystalline NiO // J. Mater. Sci. 2009. V. 44. № 13. P. 3438–3444. https://doi.org/10.1007/s10853-009-3457-0
- Карпов И.В., Ушаков А.В., Федоров Л.Ю., Гончарова Е.А., Брунгардт М.В. Исследование влияния размерных и поверхностных эффектов на электрофизические свойства наночастиц NiO, полученных в вакуумно-дуговом разряде // Неорган. материалы. 2022. Т. 58. № 10. С. 1079–1086. https://doi.org/10.31857/S0002337X22100074
- Карпов И.В., Ушаков А.В., Лепешев А.А., Федоров Л.Ю. Плазмохимический реактор на основе импульсного дугового разряда низкого давления для синтеза нанопорошков // Журн. техн. физики. 2017. Т. 87. № 1. С. 140–145. https://doi.org/10.21883/JTF.2017.01.1851
- Ушаков А.В., Карпов И.В., Федоров Л.Ю., Гончарова Е.А., Брунгардт М.В., Дёмин В.Г. Исследование влияния парциального давления кислорода на фазовый состав наночастиц оксида меди вакуумно-дугового синтеза // ЖТФ. 2021. Т. 91. № 12. С. 1986–1991. https://doi.org/10.21883/JTF.2021.12.51764.157-21
- Кожанов А.Е., Никорич А.В., Рябова Л.И., Хохлов Д.Р. Проводимость твердых растворов Pb1–xSnxTe(In) в переменном электрическом поле // Физика и техника полупроводников. 2006. Т. 40. № 9. С. 1047–1050.
- Deuermeier J., Gassmann J., Brotz J., Kleina A. Reactive Magnetron Sputtering of Cu2O: Dependence on Oxygen Pressure and Interface Formation with Indium Tin Oxide // J. Appl. Phys. 2011. V. 109. P. 113704. https://doi.org/10.1063/1.3592981
- Chen J.W., Rao G.N. CuO Nanoparticles as a Room Temperature Dilute Magnetic Giant Dielectric Material // IEEE Trans. Magn. 2011. V. 47. № 10. P. 3772–3775. https://doi.org/10.1109/TMAG.2011.2149505
- Psarras G.C. Hopping Conductivity in Polymer Matrix–Metal Particles Composites // Composites. Part A. 2006. V. 37. № 10. P. 1545–1553. https://doi.org/10.1016/j.compositesa.2005.11.004
- Koshy J., Soosen S.M., Chandran A., George K.C. Correlated Barrier Hopping of CuO Nanoparticles // J. Semicond. 2015. V. 36. P. 122003. https://doi.org/10.1088/1674-4926/36/12/122003
- Biju V., Abdul Khadar M. AC Conductivity of Nanostructured Nickel Oxide // J Mater. Sci. 2001. V. 36. P. 5779–5787. https://doi.org/10.1023/A:1012995703754
Supplementary files








