Methanol Steam Reforming on Metal–Carbon Catalysts Having Different Carbon Supports
- Authors: Mironova E.Y.1, Payen-Lytkina A.A.1, Ermilova M.M.1, Orekhova N.V.1, Zhilyaeva N.A.1, Efimov M.N.1, Vasilev A.A.1, Stenina I.A.2, Yaroslavtsev A.B.1,2
-
Affiliations:
- Topchiev Institute of Petrochemical Synthesis, Russian Academy of Sciences
- Kurnakov Institute of General and Inorganic Chemistry, Russian Academy of Sciences
- Issue: Vol 59, No 7 (2023)
- Pages: 759-765
- Section: Articles
- URL: https://ogarev-online.ru/0002-337X/article/view/231883
- DOI: https://doi.org/10.31857/S0002337X23070114
- EDN: https://elibrary.ru/QGGRDJ
- ID: 231883
Cite item
Full Text
Abstract
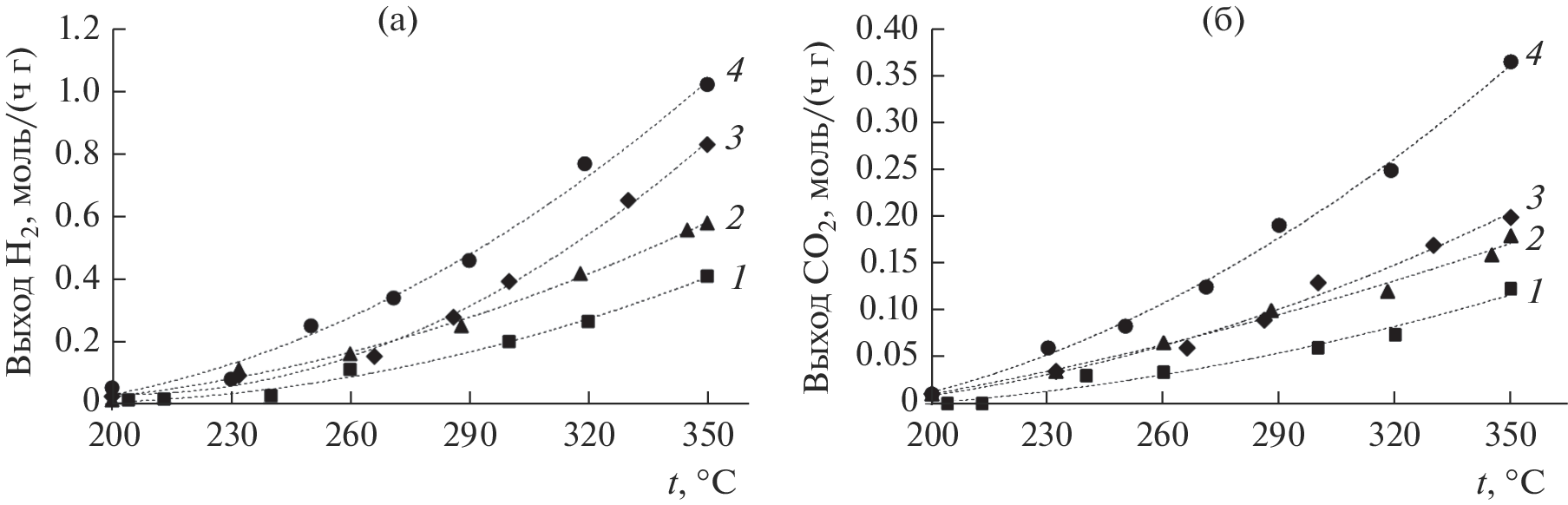
We have studied Cu–Zn and Cu–Ni containing catalysts on carbon supports based on IR-pyrolyzed chitosan and detonation nanodiamond (DND) and assessed their activity for the methanol steam reforming process. All of the catalysts have demonstrated rather high activity for this process and good stability over 30 h of continuous operation. The DND-based catalysts have been shown to have better performance, which seems to be due to their larger surface area and the nature of the functional groups on their surface. The activity of the bimetallic catalysts and the nature of the supports have been shown to be interrelated.
About the authors
E. Yu. Mironova
Topchiev Institute of Petrochemical Synthesis, Russian Academy of Sciences
Email: zhilyaeva@ips.ac.ru
119991, Moscow, Russia
A. A. Payen-Lytkina
Topchiev Institute of Petrochemical Synthesis, Russian Academy of Sciences
Email: yaroslav@igic.ras.ru
119991, Moscow, Russia
M. M. Ermilova
Topchiev Institute of Petrochemical Synthesis, Russian Academy of Sciences
Email: yaroslav@igic.ras.ru
119991, Moscow, Russia
N. V. Orekhova
Topchiev Institute of Petrochemical Synthesis, Russian Academy of Sciences
Email: yaroslav@igic.ras.ru
119991, Moscow, Russia
N. A. Zhilyaeva
Topchiev Institute of Petrochemical Synthesis, Russian Academy of Sciences
Email: kipnis@ips.ac.ru
Russian Federation, Leninsky prosp., 29, Moscow, 119991
M. N. Efimov
Topchiev Institute of Petrochemical Synthesis, Russian Academy of Sciences
Email: efimov@ips.ac.ru
119991, Moscow, Russia
A. A. Vasilev
Topchiev Institute of Petrochemical Synthesis, Russian Academy of Sciences
Email: efimov@ips.ac.ru
119991, Moscow, Russia
I. A. Stenina
Kurnakov Institute of General and Inorganic Chemistry, Russian Academy of Sciences
Email: stenina@igic.ras.ru
119991, Moscow, Russia
A. B. Yaroslavtsev
Topchiev Institute of Petrochemical Synthesis, Russian Academy of Sciences; Kurnakov Institute of General and Inorganic Chemistry, Russian Academy of Sciences
Author for correspondence.
Email: zhilyaeva@ips.ac.ru
119991, Moscow, Russia; 119991, Moscow, Russia
References
- Zhang X. The Development Trend of and Suggestions for China’s Hydrogen Energy Industry // Engineering. 2021. V. 7. P. 719–721. https://doi.org/10.1016/j.eng.2021.04.012
- Cuevas F., Zhang J., Latroche M. The Vision of France, Germany, and the European Union on Future Hydrogen Energy Research and Innovation // Engineering. 2021. V. 7. P. 715–718. https://doi.org/10.1016/j.eng.2021.04.010
- Filippov S.P., Yaroslavtsev A.B. Hydrogen Energy: Development Prospects and Materials // Russ. Chem. Rev. 2021. V. 90. № 6. P. 627–643. https://doi.org/10.1070/RCR5014
- Pollet B.G., Kocha S.S., Staffell I. Current Status of Automotive Fuel Cells for Sustainable Transport // Curr. Opin. Electrochem. 2019. V. 16. P. 90–95. https://doi.org/10.1016/j.coelec.2019.04.021
- Hren M., Bozic M., Fakin D., Kleinschek K.S., Gorgieva S. Alkaline Membrane Fuel Cells: Anion Exchange Membranes and Fuels // Sustain. Energy Fuels. 2021. V. 5. P. 604–637. https://doi.org/10.1039/D0SE01373K
- Fan L., Tu Z., Chan S.H. Recent Development in Design a State-of-art Proton Exchange Membrane Fuel Cell from Stack to System: Theory, Integration and Prospective // Int. J. Hydrogen Energy. 2023. V. 48. P. 7828–7865. https://doi.org/10.1016/j.ijhydene.2022.11.212
- Sazali N., Salleh W.N.W., Jamaludin A.S., Razali M.N.M. New Perspectives on Fuel Cell Technology: A Brief Review // Membranes. 2020. V. 10. P. 99. https://doi.org/10.3390/membranes10050099
- Peng X., Kulkarni D., Huang Y., Omasta T.J., Ng B., Zheng Y., Wang L., Lamanna J.M., Hussey D.S., Varcoe J.R., Zenyuk I.V., Mustain W.E. Using Operando Techniques to Understand and Design High Performance and Stable Alkaline Membrane Fuel Cells // Nat. Commun. 2020. P. 3561. https://doi.org/10.1038/s41467-020-17370-7
- Thangarasu S., Oh T.H. Progress in Poly(Phenylene Oxide) Based Cation Exchange Membranes for Fuel Cells and Redox Flow Batteries Applications // Int. J. Hydrog. Energy. 2021. V. 46. P. 38381–38415. https://doi.org/10.1016/j.ijhydene.2021.09.081
- Kasyanova A.V., Rudenko A.O., Lyagaeva Y.G., Medvedev D.A. Lanthanum-Containing Proton-Conducting Electrolytes with Perovskite Structures // Membr. Membr. Technol. 2021. V. 3. P. 73–97. https://doi.org/10.1134/S2517751621020050
- Belenov S., Pavlets A., Paperzh K., Mauer D., Menshikov V., Alekseenko A., Pankov I., Tolstunov M., Guterman V. The PtM/C (M = Co, Ni, Cu, Ru) Electrocatalysts: Their Synthesis, Structure, Activity in the Oxygen Reduction and Methanol Oxidation Reactions, and Durability // Catalysts. 2023. V. 13. P. 243. https://doi.org/10.3390/catal13020243
- Gerasimova I., Belenov S., Lyanguzov N., Pankov I., Tolstunov M., Pavlets A. Role of the Potential Range during Stress Testing of Platinum-Containing Electrocatalysts at Elevated Temperature // Catalysts. 2022. V. 12. P. 1179. https://doi.org/10.3390/catal12101179
- Апель П.Ю., Велизаров С., Волков А.В., Елисеева Т.В., Никоненко В.В., Паршина А.В., Письменская Н.Д., Попов К.И., Ярославцев А.Б. Фаулинг и деградация мембран в мембранных процессах // Мембраны и мембранные технологии. 2022. Т. 12. № 2. С. 81–106. https://doi.org/10.1134/S2218117222020031
- Parra D., Valverde L., Pino F.J., Patel M.K. A Review on the Role, Cost and Value of Hydrogen Energy Systems for Deep Decarbonisation // Renew. Sust. Energ. Rev. 2019. V. 101. P. 279–294. https://doi.org/10.1016/j.rser.2018.11.010
- Алентьев А.Ю., Волков А.В., Воротынцев И.В., Максимов А.Л., Ярославцев А.Б. Мембранные технологии для декарбонизации // Мембраны и мембранные технологии. 2021. Т. 11. № 5. С. 283–303. https://doi.org/10.1134/S2218117221050023
- Chen L., Qi Z., Zhang S., Su J., Somorjai G.A. Catalytic Hydrogen Production from Methane: A Review on Recent Progress and Prospect // Catalysts. 2020. V. 10. P. 858. https://doi.org/10.3390/catal10080858
- Soltani S.M., Lahiri A., Bahzad H., Clough P., Gorbounov M., Yan Y. Sorption-enhanced Steam Methane Reforming for Combined CO2 Capture and Hydrogen Production: A State-of-the-Art Review // Carbon Capture Sci. Technol. 2021. V. 1. P. 100003. https://doi.org/10.1016/j.ccst.2021.100003
- Fedotov A.S., Tsodikov M.V., Yaroslavtsev A.B. Hydrogen Production in Catalytic Membrane Reactors Based on Porous Ceramic Converters // Processes. 2022. V. 10. P. 2060. https://doi.org/10.3390/pr10102060
- Osman A.I. Catalytic Hydrogen Production from Methane Partial Oxidation: Mechanism and Kinetic Study // Chem. Eng. Technol. 2020. V. 43. № 4. P. 641–648. https://doi.org/10.1002/ceat.201900339
- Li L., Dostagir N.H.M.D., Shrotri A., Fukuoka A., Kobayashi H. Partial Oxidation of Methane to Syngas via Formate Intermediate Found for a Ruthenium–Rhenium Bimetallic Catalyst // ACS Catal. 2021. V. 11. № 7. P. 3782–3789. https://doi.org/10.1021/acscatal.0c05491
- Kumar S.S., Himabindu V. Hydrogen Production by PEM Water Electrolysis – A Review // Mater. Sci. Technol. 2019. V. 2. № 3. P. 442–454. https://doi.org/10.1016/j.mset.2019.03.002
- Kayfeci M., Kecebas A., Bayat M. Hydrogen Production // Solar Hydrogen Production: Processes, Systems and Technologies / Eds Calise F. et al. N.Y.: Elsevier, 2019. P. 45–83. https://doi.org/10.1016/C2017-0-02289-9
- Rivard E., Trudeau M., Zaghi K. Hydrogen Storage for Mobility: A Review // Materials. 2019. V. 12. P. 1973. https://doi.org/10.3390/ma12121973
- Xu X., Liu E., Zhu N., Liu F., Qian F. Review of the Current Status of Ammonia-Blended Hydrogen Fuel Engine Development // Energies. 2022. V. 15. P. 1023. https://doi.org/10.3390/en15031023
- Chen X., Gierlich C.H., Schötz S., Blaumeiser D., Bauer T., Libuda J., Palkovits R. Hydrogen Production Based on Liquid Organic Hydrogen Carriers through Sulfur Doped Platinum Catalysts Supported on TiO2 // ACS Sustain. Chem. Eng. 2021. V. 9. № 19. P. 6561–6573. https://doi.org/10.1021/acssuschemeng.0c09048
- Stenina I., Yaroslavtsev A. Modern Technologies of Hydrogen Production // Processes. 2023. V. 11. P. 56. https://doi.org/10.3390/pr11010056
- Kumar A., Daw P., Milstein D. Homogeneous Catalysis for Sustainable Energy: Hydrogen and Methanol Economies Fuels from Biomass, and Related Topics // Chem. Rev. 2022. V. 122. № 1. P. 385–441. https://doi.org/10.1021/acs.chemrev.1c00412
- Lytkina A.A., Orekhova N.V., Yaroslavtsev A.B. Catalysts for the Steam Reforming and Electrochemical Oxidation of Methanol // Inorg. Mater. 2018. V. 54. P. 1315–1329. https://doi.org/10.1134/S0020168518130034
- Ranjekar A.M., Yadav G.D. Steam Reforming of Methanol for Hydrogen Production: A Critical Analysis of Catalysis, Processes, and Scope // Ind. Eng. Chem. Res. 2021. V. 60. P. 89–113. https://doi.org/10.1021/acs.iecr.0c05041
- Chen L., Qi Z., Peng X., Chen J.-L., Pao C.-W., Zhang X., Dun C., Young M., Prendergast D., Urban J.J., Guo J., Somorjai G.A., Su J. Insights into the Mechanism of Methanol Steam Reforming Tandem Reaction over CeO2 Supported Single-Site Catalysts // J. Am. Chem. Soc. 2021. V. 143. № 31. P. 12074–12081. https://doi.org/10.1021/jacs.1c03895
- Lytkina-Payen A., Tabachkova N., Yaroslavtsev A. Methanol Steam Reforming on Bimetallic Catalysts Based on In and Nb Doped Titania or Zirconia: A Support Effect // Processes. 2022. V. 10. P. 19. https://doi.org/10.3390/pr10010019
- Rostami M., Farajollahi A.H., Amirkhani R., Farshchi M.E. A Review Study on Methanol Steam Reforming Catalysts: Evaluation of the Catalytic Performance, Characterizations, and Operational Parameters // AIP Adv. 2023. V. 13. P. 030701. https://doi.org/10.1063/5.0137706
- Миронова Е.Ю., Ермилова М.М., Ефимов М.Н., Земцов Л.М., Орехова Н.В., Карпачева Г.П., Бондаренко Г.Н., Жиляева Н.А., Муравьев Д.Н., Ярославцев А.Б. Детонационные наноалмазы как катализаторы парового риформинга этанола // Изв. РАН. Сер. хим. 2013. № 11. С. 2317–2321.
- Yaroslavtsev A.B., Stenina I.A. Carbon Coating of Electrode Materials for Lithium-Ion Batteries // Surf. Innovat. 2021. V. 9. № 2–3. P. 92–110. https://doi.org/10.1680/jsuin.20.00044
- Муратов Д.Г., Дзидзигури Э.Л., Земцов Л.М., Карпачева Г.П., Ефимов М.Н., Кириллова М.Н. Формирование наночастиц интерметаллидов FeCo в структуре металлоуглеродных нанокомпозитов Fe-Co/C // Российские нанотехнологии. 2015. Т. 10. № 9–10. С. 83–89.
- Kaczmarek H., Zawadzki J. Chitosan Pyrolysis and Adsorption Properties of Chitosan and Its Carbonizate // Carbohydr. Res. 2010. V. 345. P. 941–937. https://doi.org/10.1016/j.carres.2010.02.024
- Sivaramakrishna D., Bhuvanachandra B., Mallakuntla M.K., Das S.N., Ramakrishna B., Podile A.R. Pretreatment with KOH and KOH-Urea Enhanced Hydrolysis of α-chitin by an Endo-Chitinase from Enterobacter Cloacae Subsp. Cloacae // Carbohydr. Polym. 2020. V. 235. P. 115952. https://doi.org/10.1016/j.carbpol.2020.115952
- Shamshina J.L., Berton Paula, Rogers R.D. Advances in Functional Chitin Materials: A Review // ACS Sustain. Chem. Eng. 2019. V. 7. P. 6444–6457. https://doi.org/10.1021/acssuschemeng.8b06372
- Gal M.R., Rahmaninia M., Hubbe M.A. A Comprehensive Review of Chitosan Applications in Paper Science and Technologies // Carbohydr. Polym. 2023. V. 309. P. 120665. https://doi.org/10.1016/j.carbpol.2023.120665
- Al-Rooqi M.M., Hassan M.M., Moussa Z., Obaid R.J., Suman N.H., Wagner M.H., Natto S.S.A., Ahmed S.A. Advancement of Chitin and Chitosan as Promising Biomaterials // J. Saudi Chem. Soc. 2022. V. 26. P. 101561.
- Yan X., Liu Z., Diao M., Zhang T. Effect of Molecular Weight of Chitosan on Properties of Chitosan-Zn Nanoparticles // Food Bioscience. 2022. V. 50. P. 102206. https://doi.org/10.1016/j.jscs.2022.101561
- Fan S., Fan X., Wang S., Li B., Zhou N., Xu H. Effect of Chitosan Modification on the Properties of Magnetic Porous Biochar and Its Adsorption Performance towards Tetracycline and Cu2+ // Sustain. Chem. Pharm. 2023. V. 33. P. 101057. https://doi.org/10.1016/j.scp.2023.101057
- Zhao W., Shanjian L., Yin M., He Z., Bi Di. Co-pyrolysis of Cellulose with Urea and Chitosan to Produce Nitrogen-Containing Compounds and Nitrogen-Doped Biochar: Product Distribution Characteristics and Reaction Path Analysis // J. Anal. Appl. Pyrol. 2023. V. 169. P. 105795. https://doi.org/10.1016/j.jaap.2022.105795
- Vasilev A., Efimov M., Bondarenko G., Kozlov V., Dzidziguri E., Karpacheva G. Thermal Behavior of Chitosan as a Carbon Material Precursor under IR Radiation // IOP Conf. Ser.: Mater. Sci. Eng. 2019. V. 693. P. 012002. https://doi.org/10.1088/1757-899X/693/1/012002
- Биндюг Д.В., Васильев А.А., Дзидзигури Э.Л., Ефимов М.Н., Карпачева Г.П. Влияние исходного содержания металлов на формирование наночастиц твердого раствора Fe–Co в ИК-пиролизованной матрице хитозана // Журн. общ. химии. 2021. Т. 91. № 1. С. 149–156. https://doi.org/10.31857/S0044460X21010169
- Vasilev A.A., Efimov M.N., Bondarenko G.N., Muratov D.G., Dzidziguri E.L., Ivantsov M.I., Kulikova M.V., Karpacheva G.P. Fe-Co Alloy Nanoparticles Supported on IR Pyrolyzed Chitosan as Catalyst for Fischer-Tropsch Synthesis // Chem. Phys. Lett. 2019. V. 730. P. 8–13. https://doi.org/10.1016/j.cplett.2019.05.034
- Mironova E.Yu., Ermilova M.M., Orekhova N.V., Muraviev D.N., Yaroslavtsev A.B. Production of High Purity Hydrogen by Ethanol Steam Reforming in Membrane Reactor // Catal. Today. 2014. V. 236. P. 64–69. https://doi.org/10.1016/j.cattod.2014.01.014
- Миронова Е.Ю., Ермилова М.М., Орехова Н.В., Басов Н.Л., Ярославцев А.Б. Получение водорода паровым риформингом этанола на Pd-, Pt-, Ru-, Ni-содержащих наноалмазах в традиционном и мембранном реакторах // Мембраны и мембранные технологии. 2019. Т. 9. № 4. С. 286–294.
- Pandey K., Dwivedi M.M., Sanjay S.S. A Brief Review on Synthesis and Application of Polymer–Nanodiamond Composite // Mater. Today: Proc. 2022. V. 68. P. 2772–2780. https://doi.org/10.1016/j.matpr.2022.09.032
- Huang H., Liu M., Tuo X., Chen J., Mao L., Wen Y., Tian J., Zhou N., Zhang X., Wei Y. One-Step Fabrication of PEGylated Fluorescent Nanodiamonds through the Thiol-Ene Click Reaction and Their Potential for Biological Imaging // Appl. Surf. Sci. 2018. V. 439. P. 1143–1151. https://doi.org/10.1016/j.apsusc.2017.12.233
- López-Carballeira D., Cammarata A., Polcar T. Revisiting the Electronic Nature of Nanodiamonds // Diamond Relat. Mater. 2021. V. 120. P. 108627. https://doi.org/10.1016/j.diamond.2021.108627
- Mironova E.Yu., Lytkina A.A., Ermilova M.M., Efimov M.N., Zemtsov L.M., Orekhova N.V., Karpacheva G.P., Bondarenko G.N., Yaroslavtsev A.B., Muraviev D.N. Ethanol and Methanol Steam Reforming on Transition Metal Catalysts Supported on Detonation Synthesis Nanodiamonds for Hydrogen Production // Int. J. Hydrogen Energy. 2015. V. 40. № 8. P. 3557–3565. https://doi.org/10.1016/j.ijhydene.2014.11.082
- Бондаренко Г.Н., Ермилова М.М., Ефимов М.Н., Земцов Л.М., Карпачева Г.П., Миронова Е.Ю., Орехова Н.В., Родионов А.С., Ярославцев А.Б. Изучение парового риформинга этанола на нанокатализаторах Pt-Ru/ДНА с применением метода ИК-спектроскопии в режиме in situ // Российские нанотехнологии. 2016. Т. 11. № 1–12. С. 62–69.
- Kurtz M., Wilmer H., Genger T., Hinrichsen O., Muhler M. Deactivation of Supported Copper Catalysts for Methanol Synthesis // Catal. Lett. 2003. V. 86. P. 77–80. https://doi.org/10.1023/A:1022663125977
Supplementary files





