Resorption Dynamics of Hydroxyapatite-, Wollastonite-, and Gelatin-Based Granules in Tris-Buffer
- Authors: Solonenko A.P.1, Shevchenko A.E.1, Polonyankin D.A.2
-
Affiliations:
- Omsk State Medical University, 644099, Omsk, Russia
- Omsk State Technical University, 644050, Omsk, Russia
- Issue: Vol 59, No 3 (2023)
- Pages: 341-348
- Section: Articles
- URL: https://ogarev-online.ru/0002-337X/article/view/140180
- DOI: https://doi.org/10.31857/S0002337X23030144
- EDN: https://elibrary.ru/YUHYSG
- ID: 140180
Cite item
Full Text
Abstract
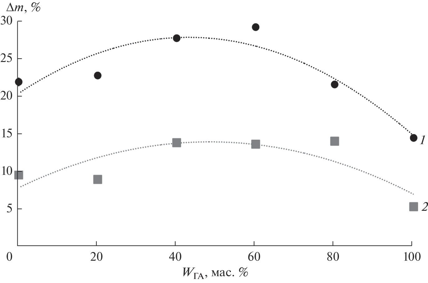
Results of an in vitro study demonstrate that, when brought in contact with tris-buffer, granules based on gelatin and synthetic ceramic powders containing varied percentages of Са10(РО4)6(ОН)2 and β-СаSiO3 rapidly degrade and swell, increasing in size by up to a factor of 1.2. After that, they gradually degrade, releasing calcium ions and phosphate and silicate anions to the solution. The systems with materials containing 20 to 60 wt % calcium silicate have been found to differ little in the concentrations of these ions. The weight loss of the composites, due to dissolution of the mineral components and gelatin, has been shown to exceed that of the apatite and wollastonite granules.
About the authors
A. P. Solonenko
Omsk State Medical University, 644099, Omsk, Russia
Email: annsolonenko@gmail.com
Россия, 644099, Омск, ул. Ленина, 12
A. E. Shevchenko
Omsk State Medical University, 644099, Omsk, Russia
Email: annsolonenko@gmail.com
Россия, 644099, Омск, ул. Ленина, 12
D. A. Polonyankin
Omsk State Technical University, 644050, Omsk, Russia
Author for correspondence.
Email: annsolonenko@gmail.com
Россия, 644050, Омск, пр. Мира, 11
References
- Morsy R., Abuelkhair R., Elnimr T. A Facile Route to the Synthesis of Hydroxyapatite/Wollastonite Composite Powders by a Two-Step Coprecipitation Method // Silicon. 2015. V. 9. P. 637–641. https://doi.org/10.1007/s12633-015-9339-y
- Baştan F.E., Karaarslan O., Üstel F. Production and Characterization of Wollastonite Particles Reinforced Hydroxyapatite Composite Granules for Biomedical Applications // DEU FMD. 2021. V. 23(67). P. 1–9. https://doi.org/10.21205/deufmd.2021236701
- Padmanabhann S.K., Gervaso F., Carrozzo M., Scalera F., Sannino A., Licciulli A. Wollastonite/Hydroxyapatite Scaffolds with Improved Mechanical, Bioactive and Biodegradable Properties for Bone Tissue Engineering // Ceram. Int. 2013. V. 39. P. 619–627. https://doi.org/10.1016/j.ceramint.2012.06.073
- Buriti J. da S., Barreto M.E.V., Santos K.O., Fook M.V.L. Thermal, Morphological, Spectroscopic and Biological Study of Chitosan, Hydroxyapatite and Wollastonite Biocomposites // J. Therm. Anal. Calorim. 2018. V. 134. P. 1521–1530. https://doi.org/10.1007/s10973-018-7498-y
- Yu H., Ning C., Lin K., Chen L. Preparation and Characterization of PLLA/CaSiO3/Apatite Composite Films // Int. J. Appl. Ceram. Technol. 2012. V. 9. P. 133–142. https://doi.org/10.1111/j.1744-7402.2010.02606.x
- Encinas-Romero M.A., Aguayo-Salinas S., Castillo S.J., Castillon-Barraza F.F., Castano V.M. Synthesis and Characterization of Hydroxyapatite-Wollastonite Composite Powders by Sol–Gel Processing // Int. J. Appl. Ceram. Technol. 2008. V. 5. P. 401–411. https://doi.org/10.1111/j.1744-7402.2008.02212.x
- Lin K., Zhang M., Zhai W., Qu H., Chang J. Fabrication and Characterization of Hydroxyapatite/Wollastonite Composite Bioceramics with Controllable Properties for Hard Tissue Repair // J. Am. Ceram. Soc. 2011. V. 94. P. 99–105. https://doi.org/10.1111/j.1551-2916.2010.04046.x
- Encinas-Romero M.A., Aguayo-Salinas S., Valenzuela-Garcia J.L., Payan S.R., Castillon-Barraza F.F. Mechanical and Bioactive Behavior of Hydroxyapatite-Wollastonite Sintered Composites // Int. J. Appl. Ceram. Technol. 2010. V. 7. P. 164–177. https://doi.org/10.1111/j.1744-7402.2009.02377.x
- Ryu H.S., Lee J.K., Kim H., Hong K.S. New Type of Bioactive Materials: Hydroxyapatite/α-Wollastonite Composites // J. Mater. Res. 2005. V. 20. P. 1154–1162. https://doi.org/10.1557/JMR.2005.0144
- Chen Z., Zhai J., Wang D., Chen C. Bioactivity of Hydroxyapatite/Wollastonite Composite Films Deposited by Pulsed Laser // Ceram. Int. 2018. V. 44. № 9. P. 10204–10209. https://doi.org/10.1016/j.ceramint.2018.03.013
- Beheri H.H., Mohamed K.R., El-Bassyouni G.T. Mechanical and Microstructure of Reinforced Hydroxyapatite/Calcium Silicate Nano-composites Materials // Mater. Design. 2013. V. 44. P. 461–468. https://doi.org/10.1016/j.matdes.2012.08.020
- Kokubo T., Takadama H. How Useful is SBF in Predicting in vivo Bone Bioactivity? // Biomaterials. 2006. V. 27. P. 2907–2915. https://doi.org/10.1016/j.biomaterials.2006.01.017
- Shevchenko A.E., Solonenko A.P., Blesman A.I., Polonyankin D.A., Chikanova E.S. Synthesis and Physicochemical Investigation of Hydroxyapatite and Wollastonite Composite Granules // J. Phys.: Conf. Ser. 2021. V. 1791. P. 012119. https://doi.org/10.1088/1742-6596/1791/1/012119
- Komlev V.S., Barinov S.M., Koplik E.V. A Method to Fabricate Porous Spherical Hydroxyapatite Granules Intended for Time-controlled Drug Release // Biomaterials. 2002. V. 23. P. 3449–3454. https://doi.org/10.1016/S0142-9612(02)00049-2
- Hasan M.L., Padalhin A.R., Kim B., Lee B.-T. Preparation and Evaluation of BCP-CSD-Agarose Composite Microsphere for Bone Tissue Engineering // J. Biomed. Mater. Res. B. 2019. V. 9999B. P. 1–10. https://doi.org/10.1002/jbm.b.34318
- РД 52.24.433-2005. Массовая концентрация кремния в поверхностных водах суши. Методика выполнения измерений фотометрическим методом в виде желтой формы молибдокремниевой кислоты. 2005.
- Dorozhkin S.V. Dissolution Mechanism of Calcium Apatites in Acids: A Review of Literature // World J. Methodol. 2012. V. 26. № 2(1). P. 1–17. https://doi.org/10.5662/wjm.v2.i1.1
- Niu L., Jiao K., Wang T., Zhang W., Camilleri J., Bergeron B.E., Feng H., Mao J., Chen J., Pashley D.H., Tay F.R. A Review of the Bioactivity of Hydraulic Calcium Silicate Cements // J. Dent. 2014. V. 42. № 5. P. 517–533. https://doi.org/10.1016/j.jdent.2013.12.015
- Ni S., Lin K., Chang J., Chou L. β-CaSiO3/β-Ca3(PO4)2 Composite Materials for Hard Tissue Repair: In vitro Studies // J. Biomed. Mater. Res. A. 2008. V. 85, № 1. P. 72–82. https://doi.org/10.1002/jbm.a.31390
- Вересов А.Г., Путляев В.И., Третьяков Ю.Д. Химия неорганических биоматериалов на основе фосфатов кальция // РХЖ. 2004. Т. 48. № 4. С. 52–64.
- Hossana M.J., Gafurb M.A., Kadirb M.R., Karima M.M. Preparation and Characterization of Gelatin-Hydroxyapatite Composite for Bone Tissue Engineering // IJET-IJENS. 2014. V. 14. № 1. P. 24–32.
Supplementary files







