Thermal Conductivity of Single Crystals of CaF2–SrF2–BaF2–YbF3 Solid Solutions
- Authors: Popov P.A.1, Krugovykh A.A.1, Konyushkin V.A.2, Nakladov A.N.2, Ushakov S.N.3,4, Uslamina M.A.4, Nishchev K.N.4, Kuznetsov S.V.2, Fedorov P.P.5
-
Affiliations:
- Petrovskii State University
- Prokhorov General Physics Institute of the Russian Academy of Sciences
- Prokhorov General Physics Institute, Russian Academy of Sciences
- Ogarev Mordovian State University
- A.M. Prokhorov General Physics Institute of the Russian Academy of Sciences
- Issue: Vol 59, No 5 (2023)
- Pages: 529-533
- Section: Articles
- URL: https://ogarev-online.ru/0002-337X/article/view/140164
- DOI: https://doi.org/10.31857/S0002337X23050135
- EDN: https://elibrary.ru/KHBIAO
- ID: 140164
Cite item
Full Text
Abstract
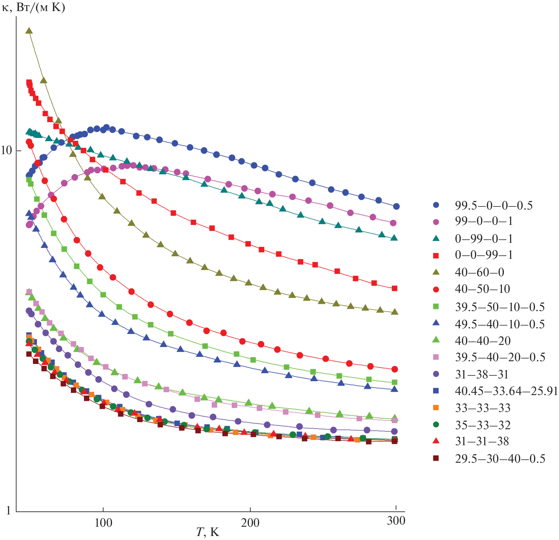
Single crystals of CaxSryBazF2 (x = 0.31–0.4045, y = 0.31–0.50, z = 0.10–0.38) and CaxSryBazYb0.005F2.005 (x = 0.295–0.495, y = 0.30–0.50, z = 0.10–0.40) fluorite solid solutions have been grown by the Bridgman technique, and their thermal conductivity has been measured in the range 50–300 K by an absolute steady-state axial heat flow technique. The room-temperature thermal conductivity of all the crystals studied is below 2.5 W/(m K). As the percentage of the heavy components of the solid solutions increases, their thermal conductivity decreases. In addition, this factor reduces the negative effect of the heterovalent dopant YbF3 on the thermal conductivity of the crystals.
About the authors
P. A. Popov
Petrovskii State University
Email: neorganmat@igic.ras.ru
241036, Bryansk, Russia
A. A. Krugovykh
Petrovskii State University
Email: neorganmat@igic.ras.ru
241036, Bryansk, Russia
V. A. Konyushkin
Prokhorov General Physics Institute of the Russian Academy of Sciences
Email: ppfedorov@yandex.ru
119991, Moscow, Russia
A. N. Nakladov
Prokhorov General Physics Institute of the Russian Academy of Sciences
Email: ppfedorov@yandex.ru
119991, Moscow, Russia
S. N. Ushakov
Prokhorov General Physics Institute, Russian Academy of Sciences; Ogarev Mordovian State University
Email: rusjinorgchem@yandex.ru
119991, Moscow, Russia; 430005, Saransk, Russia
M. A. Uslamina
Ogarev Mordovian State University
Email: rusjinorgchem@yandex.ru
430005, Saransk, Russia
K. N. Nishchev
Ogarev Mordovian State University
Email: rusjinorgchem@yandex.ru
430005, Saransk, Russia
S. V. Kuznetsov
Prokhorov General Physics Institute of the Russian Academy of Sciences
Email: ppfedorov@yandex.ru
119991, Moscow, Russia
P. P. Fedorov
A.M. Prokhorov General Physics Institute of the Russian Academy of Sciences
Author for correspondence.
Email: buchinskayii@gmail.com
Russian Federation, 119991, Moscow, Russia
References
- Crystals with the Fluorite Structure. Electronic, Vibrational, and Defect Properties / Ed. Hayes W. Oxford: Clarendon Press, 1974. 448 p.
- Sobolev B.P. The Rare Earth Trifluorides. P. 1. The High-Temperature Chemistry of the Rare Earth Trifluorides. Barcelona, 2000.
- Юшкин Н.П., Волкова Н.В., Маркова Г.А. Оптический флюорит. М.: Наука, 1983. 134 с.
- Зверев В. А., Кривопустова Е. В., Точилина Т. В. Оптические материалы. Ч. 2. Учебное пособие для конструкторов оптических систем и приборов. С.-Петербург: ИТМО, 2013. 248 с.
- Kaminskii A.A. Laser Crystals Their Physics and Properties. Springer, 1990.
- Moncorge R., Braud A., Camy P., Doualan J.L. Fluoride Laser Crystals // Handbook on Solid-State Lasers: Materials, Systems and Applications / Eds. Denker B., Shklovsky E.Woodhead Publishing Series in Electronic and Optical Materials. Oxford Woodhead, 2013. P. 82–109.
- Siebold M., Bock S., Schramm U., Xu B., Doulan J.L., Camy P., Moncorge R. Yb:CaF2 – a New Old Laser Crystal // Appl. Phys. B. 2009. V. 97. P. 327–338.
- Druon F., Ricaud S., Papadopoulos D.N., Pellegrina A., Camy P., Doulan J.L., Moncorge R., Courjaud A., Mottay E., Georges P. On Yb:CaF2 and Yb:SrF2: Review of Spectroscopic and Thermal Properties and Their Impact on Femtosecond and High Power Laser Performance // Opt. Mater. Express. 2011. V. 1. P. 489–502.
- Basiev T.T., Orlovskii Yu.V., Polyachenkova M.V., Fedorov P.P., Kouznetzov S.V., Konyushkin V.A., Osiko V.V., Alimov O.K., Dergachev A.Yu. Continuous Tunable CW Lasing Near 2.75 μm in Diode-Pumped Er3+:SrF2 and Er3+:CaF2 Crystals // Quant. Electron. 2006. V. 36. № 7. P. 591–594. https://doi.org/10.1070/QE2006v036n07ABEH013178
- Alimov O.K., Basiev T.T., Doroshenko M.E., Fedorov P.P., Konyuskin V.A., Nakladov A.N., Osiko V.V. Investigation of Nd3+ Ions Spectroscopic and Laser Properties in SrF2 Fluoride Single Crystal // Opt. Mater. 2012. V. 34. № 5. P. 799–802.https://doi.org/10.1016/j.optmat.2011.11.010
- Saleta Reig D., Grauel B., Konyushkin V. A., Nakladov A.N., Fedorov P.P., Busko D., Howard I.A., Richards B.S., Resch-Genger U., Kuznetsov S.V., Turshatov A., Würtha C. Upconversion Properties of SrF2:Yb3+, Er3+ Single Crystals // J. Mater. Chem. C. 2020. V. 8. P. 4093–4101. https://doi.org/10.1039/c9tc06591a
- Komandin G.A., Spector I.E., Fedorov P.P., Kuznetsov S.V., Ushakov S.N., Uslamina M.A., Nishchev K.N., Garibin E.A. Long-Wavelength Optical Properties of the Ca0.33Sr0.33Ba0.33F2 Solid Solution Single Crystals // Optic. Mater. 2022. P. 112267. https://doi.org/10.1016/j.optmat.2022.112267
- Woody C.L., Anderson D.F. Calorimetry Using Size BaF2 with Photosensitive Wire Chamber Readout // Nucl. Instrum. Methods. Phys. Res. Sect. A. 1988. V. 265. P. 291–300.
- Kamada K., Nawata T., Inui Y., Yanagi H., Sato H., Yoshikawa A., Nikl M., Fukuda T. Czochraalski Growth of 8 Inch Size BaF2 Single Crystal for a Fast Scintillator // Nucl. Instrum. Methods. Phys. Res., Sect. A. 2005. V. 537. P. 159–162.
- Snetkov I.L., Yakovlev A.I., Palashov O.V. CaF2, BaF2 and SrF2 Crystals’ Optical Anisotropy Parameters // Laser Phys. Lett. 2015. V. 12. P. 095001 (6 p.).
- Burnett J.H., Livene Z.H., Shirley E.L. Instrinic Birefringence in Calcium Fluoride and Barium Fluoride // Phys. Rev. 2007. V. 64. P. 241102(R).
- Klimm D., Rabe M., Bertram R., Uecker R., Parthier L. Phase Diagram Analysis and Crystal Growth of Solid Solutions Ca1–xSrxF2 // J. Cryst. Growth. 2008. V. 310. № 1. P. 152–155.
- Nafziger R.H. High-Temperature Phase Relations in the System BaF2–SrF2 // J. Am. Ceram. Soc. 1971. V. 54. P. 467.
- Федоров П.П., Бучинская И.И., Ивановская Н.А., Коновалова В.В., Лаврищев С.В., Соболев Б.П. Фазовая диаграмма системы CaF2–BaF2 // Докл. РАН. 2005. Т. 401. № 5. С. 652–654.
- Ushakov S.N., Uslamina M.A., Pynenkov A.A., Mishkin V.P., Nishchev K.N., Kuznetsov S.V., Chernova E.V., Fedorov P.P. Growth and Physical Properties of CaSrBaF6 Single Crystals // Condens. Matter Interph. 2021. V. 23. № 1. P. 93–100. https://doi.org/10.17308/kcmf.2021.23/3310
- Chang R.K., Lachina B., Pershan P.S. Raman Scattering from Mixed Crystals // Phys. Rev. Lett. 1966. V. 17. № 14. P. 15–18.
- Lachina B., Pershan P.S. Phonon Optical Properties of Ca1–xSrxF2 // Phys. Rev. B. 1970. V. 1. № 4. P. 1765–1786.
- Elliot R.J., Kramhansl J.A., Leath P.L. The Theory and Properties of Randomly Disordered Crystals and Related Physical Systems // Rev. Mod. Phys. 1974. V. 46. P. 465. https://doi.org/10.1103/RevModPhys.46.465
- Лившиц А.И., Иомин Л.М., Иванов Ю.Н. Исследование флюоритоподобных твердых растворов системы BaF2–SrF2 методом ЯМР 19F // Журн. неорган. химии. 1997. Т. 42. № 2. С. 298-301.
- Кузнецов С.В., Конюшкин В.А., Накладов А.Н., Чернова Е.В., Попов П.А., Пыненков А.А., Нищев К.Н., Федоров П.П. Исследование теплофизических характеристик монокристаллов твердых растворов CaF2–SrF2–RF3 (R = Ho, Pr) с флюоритовой структурой // Неорган. материалы. 2020. Т. 56. № 9. С. 1027–1033. https://doi.org/10.31857/S0002337X20090110
- Черневская Э.Г. Смешанные двухкомпонентные монокристаллы типа фтористый кальций-фтористый стронций и их оптические свойства // Опт.-мех. пром-ть. 1960. № 5. С. 28–32.
- Черневская Э.Г. Твердость смешанных монокристаллов типа CaF2 // Опт.-мех. пром-ть. 1966. № 7. С. 51–52.
- Черневская Э.Г., Ананьева Г.В. О структуре смешанных кристаллов на основе CaF2, SrF2, ВaF2 // Физика твердого тела. 1966. Т. 8. № 1. С. 216–219.
- Pastor R.C., Pastor A.C. Solid Solutions of Metal Halides under a Reactive Atmosphere // Mater. Res. Bull. 1976. № 8. P. 1043–1050.
- Basiev T.T., Vasil’ev S.V., Doroshenko M.E., Konuyshkin V.A., Kouznetsov S.V., Osiko V.V., Fedorov P.P. Efficient Lasing in Diode-Pumping Yb3+:CaF2-SrF2 Solid Solution Single Crystals // Quant. Electron. 2007. V. 37. № 10. P. 934–937. https://doi.org/10.1070/QE2007v037n10ABEH013662
- Кузнецов С.В., Александров А.А., Федоров П.П. Фторидная оптическая нанокерамика // Неорган. материалы. 2021. Т. 57. № 5. С. 583–607. https://doi.org/10.31857/S0002337X21060075
- Basiev T.T., Doroshenko M.E., Fedorov P.P., Konyushkin V.A., Kuznetsov S.V., Osiko V.V., Akchurin M.Sh. Efficient Laser Based on CaF2–SrF2–YbF3 Nanoceramics // Opt. Lett. 2008. V. 33. № 5. P. 521–523. https://doi.org/10.1364/OL.33.000521
- Zhu C., Song J., Mei B., Li W., Liu Z. Fabrication and Optical Characterizations of CaF2–SrF2–NdF3 Transparent Ceramics // Mater. Lett. 2016. V. 167. P. 115–117.
- Zhou Z., Mei B., Song J., Li W., Yang Y., Yi G. Effects of Sr2+ Content on Microstructure and Spectroscopic Properties of Nd3+ Doped Ca1-xSrxF2 Transparent Ceramics // J. Alloys Compd. 2019. V. 811. P. 152046.
- Chen X., Wu Y. High-Entropy Transparent Fluoride Laser Ceramics // J. Am. Ceram. Soc. 2020. V. 103. № 2. P. 750–756. https://doi.org/10.1111/jace.16842
- Берман Р. Теплопроводность твердых тел. М.: Мир, 1979. 286 с.
- Попов П.А., Федоров П.П. Теплопроводность фторидных оптических материалов. Брянск: Группа компаний “Десяточка”, 2012. 210 с. ISBN 978-5-91877-093-1
- Popov P.A., Dykel’skii K.V., Mironov I.A., Demidenko V.A., Smirnov A.N., Smolyanskii P.L., Fedorov P.P., Osiko V.V., Basiev T.T. Thermal Conductivity of CaF2 Optical Ceramics // Dokl. Phys. 2007. V. 52. № 1. P. 7–9. https://doi.org/10.1134/S1028335807010028
- Popov P.A., Fedorov P.P., Konyushkin V.A., Nakladov A.N., Kuznetsov S.V., Osiko V.V., Basiev T.T. Thermal Conductivity of Single Crystals of Sr1‑xYbxF2 + x Solid Solution // Dokl. Phys. 2008. V. 53. № 8. P. 413–415. https://doi.org/10.1134/S1028335808080016
- Popov P.A., Fedorov P.P., Kuznetsov S.V., Konyushkin V.A., Osiko V.V., Basiev T.T. Thermal Conductivity of Single Crystals of Ba1 – xYbxF2 + x // Dokl. Phys. 2008. V. 53. № 7. P. 353–355. https://doi.org/10.1134/S1028335808070045
- Popov P.A., Moiseev N.V., Karimov D.N., Sorokin N.I., Sulyanova E.A., Sobolev B.P., Konyushkin V.A., Fedorov P.P. Thermophysical Characteristics of Ca1−xSrxF2 Solid-Solution Crystals (0 ≤ x ≤ 1) // Crystallogr. Rep. 2015. V. 60. № 1. P. 116–122. https://doi.org/10.1134/S1063774515010186
- Попов П.А., Круговых А.А., Конюшкин В.А., Накладов А.Н., Кузнецов С.В., Федоров П.П. Теплопроводность монокристаллов Sr1–хBaхF2 // Неорган. материалы. 2021. Т. 57. № 6. С. 658–662. https://doi.org/10.31857/S0002337X21060087
- Попов П.А., Круговых А.А., Зенцова А.А., Конюшкин В.А., Накладов А.Н., Кузнецов С.В., Федоров П.П. Теплопроводность монокристаллов твердых растворов системы CaF2–BaF2 // Неорган. материалы. 2022. Т. 58. № 4. С. 414–420. https://doi.org/10.31857/S0002337X22040133
- Fedorov P.P., Osiko V.V. Crystal Growth of Fluorides // Bulk Crystal Growth of Electronic. Optical and Optoelectronic Materials / Ed. Capper P. Wiley Series in Materials for Electronic and Optoelectronic Applications. N. Y. Wiley, 2005. P. 339–356.
- Воронько Ю.К., Осико В.В., Удовенчик В.Т., Фурсиков M.M. Оптические свойства кристаллов CaF2-Dy3+ // ФТТ. 1965. Т. 7. С. 267–273.
- Pastor R.C. Crystal Growth of Metal Fluorides for CO2 Laser Operation II. Optimization of the Reactive Atmosphere Process (RAP) Choice // J. Cryst. Growth. 1999. V. 203. P. 421–424.
- Popov P.A., Sidorov A.A., Kul’chenkov E.A., Anishchenko A.M., Avetissov I.C., Sorokin N.I., Fedorov P.P. Thermal Conductivity and Expansion of PbF2 Single Crystals // Ionics. 2017. V. 23. № 1. P. 233–239. https://doi.org/10.1007/s11581-016-1802-2
- Popov P.A., Fedorov P.P., Kuznetsov S.V., Konyushkin V.A., Osiko V.V., Basiev T.T. Thermal Conductivity of Single Crystals of Ca1–xYbxF2+x Solid Solutions // Dokl. Phys. 2008. V. 53. № 4. P. 198–200. https://doi.org/10.1134/S102833580804006X
- Kazanskii S.A., Ryskin A.I., Nikiforov A.E., Zaharov A.Y., Ougrumov M.Y., Shakurov G.S. EPR Spectra and Crystal Field of Hexamer Rare-Earth Clusters in Fluorites // Phys. Rev. B. 2005. V. 72. № 1. P. 014127.
Supplementary files


