Photocatalytic Properties of Porous Films Based on α-Fe2O3 Hollow Microspheres
- Authors: Demirov A.P.1, Blinkov I.V.1, Belov D.S.1, Kozlova N.S.1, Zabelina E.V.1, Kasimova V.M.1, Kostishin V.G.1
-
Affiliations:
- Moscow Institute of Steel and Alloys (National University of Science and Technology), 119049, Moscow, Russia
- Issue: Vol 59, No 3 (2023)
- Pages: 281-293
- Section: Articles
- URL: https://ogarev-online.ru/0002-337X/article/view/140162
- DOI: https://doi.org/10.31857/S0002337X2303003X
- EDN: https://elibrary.ru/YQLWSA
- ID: 140162
Cite item
Full Text
Abstract
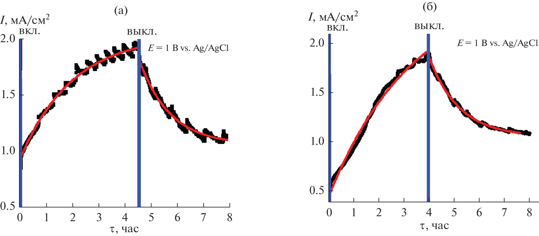
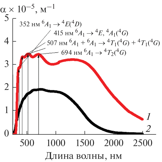
We have studied photoelectrochemical and photocatalytic properties of porous materials based on hollow α-Fe2O3 microspheres, characterized by the presence of dangling magnetic Fe–O–Fe bonds due to an increased oxygen vacancy concentration on the wall/closed pore interface. Using such powder and firing slips at an isothermal holding temperature of 400°C, we obtained two series of thin-film samples on glass with a conductive layer from suspensions of two compositions: aqueous Fe(NO3)3 solution + hollow α-Fe2O3 microspheres (series 1) and aqueous Fe(NO3)3 solution + polyethylene glycol + hollow α-Fe2O3 microspheres (series 2). The films of series 2 were shown to have a structure with spatially separated particles differing in size: α-Fe2O3 nanoparticles and hollow α-Fe2O3 microspheres. The films of series 1 consisted predominantly of hollow microspheres connected by “necks” formed during heat treatment. The thickness of the films of series 2 was of order 2 μm and that of the films of series 1 was of order 4 μm. The structural distinctions between the films of the two series had a significant effect on the optical properties of the material. In the wavelength range 350–1500 nm, the absorption coefficient of the films of series 2 (3.50 × 105 m–1) was about twice that of the films of series 1 (1.75 × 105 m–1). Photoelectrochemical characterization in an aqueous 0.1 M KOH solution showed that the onset potential for the anodic reaction was 0.87 V vs. Ag/AgCl in the case of the films of series 2 and 0.97 V vs. Ag/AgCl in the case of series 1. The films of both series showed an unusual increase in current density during prolonged illumination at a potential of 1 V vs. Ag/AgCl, due to Fe(IV) formation on the photoanode surface. Photocatalytic properties of the materials were assessed from the rate of methylene blue degradation. The reaction rate constant (k) was determined to be 0.015 and 0.018 min–1 for the films of series 1 and 2, respectively, whereas the k of the photocatalyst-free reaction was 2.8 × 10–4 min–1.
Keywords
About the authors
A. P. Demirov
Moscow Institute of Steel and Alloys (National University of Science and Technology), 119049, Moscow, Russia
Email: apdemirov@gmail.com
Россия, 119049, Москва,
Ленинский пр., 4, стр. 1
I. V. Blinkov
Moscow Institute of Steel and Alloys (National University of Science and Technology), 119049, Moscow, Russia
Email: apdemirov@gmail.com
Россия, 119049, Москва,
Ленинский пр., 4, стр. 1
D. S. Belov
Moscow Institute of Steel and Alloys (National University of Science and Technology), 119049, Moscow, Russia
Email: apdemirov@gmail.com
Россия, 119049, Москва,
Ленинский пр., 4, стр. 1
N. S. Kozlova
Moscow Institute of Steel and Alloys (National University of Science and Technology), 119049, Moscow, Russia
Email: apdemirov@gmail.com
Россия, 119049, Москва,
Ленинский пр., 4, стр. 1
E. V. Zabelina
Moscow Institute of Steel and Alloys (National University of Science and Technology), 119049, Moscow, Russia
Email: apdemirov@gmail.com
Россия, 119049, Москва,
Ленинский пр., 4, стр. 1
V. M. Kasimova
Moscow Institute of Steel and Alloys (National University of Science and Technology), 119049, Moscow, Russia
Email: apdemirov@gmail.com
Россия, 119049, Москва,
Ленинский пр., 4, стр. 1
V. G. Kostishin
Moscow Institute of Steel and Alloys (National University of Science and Technology), 119049, Moscow, Russia
Author for correspondence.
Email: apdemirov@gmail.com
Россия, 119049, Москва,
Ленинский пр., 4, стр. 1
References
- Wang Y., Torres J.A., Shviro M., Carmo M., He T., Ribeiro C. Photocatalytic Materials Applications for Sustainable Agriculture // Prog. Mater. Sci. 2022. V. 130. P. 100965. https://doi.org/10.1016/j.pmatsci.2022.100965
- Киселев В.М., Евстропьев С.К., Стародубцев А.М. Фотокаталитическая деградация и сорбция метиленового синего на поверхности оксидов металлов в водном растворе красителя // Опт. спектроскопия. 2017. Т. 123. № 5. С. 798–805. https://doi.org/10.7868/S0030403417090173
- Михайлов Д.А., Лелет М.И., Фукина Д.Г., Лелет Ю.Н. Фотокаталитические свойства фосфатов MgHPO4· ·3H2O и MgKPO4·6H2O // Неорган. материалы. 2022. Т. 58. № 6. С. 641–650. https://doi.org/10.31857/S0002337X22060069
- Cheng X.-M., Zhao J., Sun W.-Y. Facet-Engineering of Materials for Photocatalytic Application: Status and Future Prospects // EnergyChem. 2022. V. 4. № 5. P. 100084. https://doi.org/10.1016/j.enchem.2022.100084
- Беликов М.Л., Сафарян С.А. Адсорбционные и фотокаталитические свойства диоксида титана, модифицированного молибденом // Неорган. материалы. 2022. Т. 58. № 7. С. 742–749. https://doi.org/10.31857/S0002337X2207003X
- Bie Ch., Wang L., Yu J. Challenges for Photocatalytic Overall Water Splitting // Chem. 2022. V. 8. № 6. P. 1567–1574. https://doi.org/10.1016/j.chempr.2022.04.013
- Wang Q., Tian S., Ning P. Degradation Mechanism of Methylene Blue in a Heterogeneous Fenton-like Reaction Catalyzed by Ferrocene // Ind. Eng. Chem. Res. 2014. V. 53. № 2. P. 643–649. https://doi.org/10.1021/ie403402q
- Ameta S.C., Ameta R. Advanced Oxidation Processes for Waste Water Treatment. L.: Academic, 2018. 451 p.
- Gopinath M., Marimuthu R. A Review on Solar Energy-based Indirect Water-Splitting Methods for Hydrogen Generation // Int. J. Hydrogen Energy. 2022. V. 47. № 89. P. 37742–37759. https://doi.org/10.1016/j.ijhydene.2022.08.297
- Coronado J.M., Fresno F., Hernández-Alonso M.D., Portela R. Design of Advanced Photocatalytic Materials for Energy and Environmental Applications. L.: Springer, 2013. https://doi.org/10.1007/978-1-4471-5061-9
- Плесков Ю.В. Фотоэлектрохимическое преобразование солнечной энергии М.: Химия, 1990. 176 с.
- Moridon S.N.F., Yunus K.A.R.M., Minggu L.J., Kassim M.B. Photocatalytic Water Splitting Performance of TiO2 Sensitized by Metal Chalcogenides: A Review // Ceram. Int. 2022. V. 48. № 5. P. 5892–5907. https://doi.org/10.1016/j.ceramint.2021.11.199
- Costa M.B., Araújo M.A., Lima Tinoco M.V., Brito J.F., Mascaro L.H. Current Trending and Beyond for Solar-Driven Water Splitting Reaction on WO3 Photoanodes // J. Energy Chem. 2022. V. 73. P. 88–113. https://doi.org/10.1016/j.jechem.2022.06.003
- Piccinin S. The Band Structure and Optical Absorption of Hematite (α-Fe2O3): a First-Principles GW-BSE Study // Phys. Chem. Chem. Phys. 2019. V. 21. № 6. P. 2957–2967. https://doi.org/10.1039/C8CP07132B
- Tamirat A.G., Rick J., Dubale A.A., Su W.-N., Hwang B.-J. Using Hematite for Photoelectrochemical Water Splitting: A Review of Current Progress and Challenges // Nanoscale Horiz. 2016. V. 1. № 4. P. 243–267. https://doi.org/10.1039/C5NH00098J
- Malviya K.D., Klotz D., Dotan H., Shlenkevich D., Tsyganok A., Mor H., Rothschild A. Influence of Ti Doping Levels on the Photoelectrochemical Properties of Thin-Film Hematite (α-Fe2O3) Photoanodes // J. Phys. Chem. C. 2017. V. 121. № 8. P. 4206–4213. https://doi.org/10.1021/acs.jpcc.7b00442
- Fernández-Climent R., Giménez S., García-Tecedor M. The Role of Oxygen Vacancies in Water Splitting Photoanodes // Sustain. Energy Fuels. 2020. V. 4. № 12. P. 5916–5926. https://doi.org/10.1039/D0SE01305F
- Wang Y., Zhang J., Balogun M.-S., Tong Y., Huang Y. Oxygen Vacancy–Based Metal Oxides Photoanodes in Photoelectrochemical Water Splitting // Mater. Today Sustain. 2022. V. 18. P. 100118. https://doi.org/10.1016/j.mtsust.2022.100118
- Yang Q., Du J., Li J., Wu Y., Zhou Y., Yang Y., Yang D., He H. Thermodynamic and Kinetic Influence of Oxygen Vacancies on the Solar Water Oxidation Reaction of α-Fe2O3 Photoanodes // ACS Appl. Mater. Interfaces. 2020. V. 12. № 12. P. 11625–11634. https://doi.org/10.1021/acsami.9b21622
- Hu J., Zhao X., Chen W., Chen Z. Enhanced Charge Transport and Increased Active Sites on α-Fe2O3 (110) Nanorod Surface Containing Oxygen Vacancies for Improved Solar Water Oxidation Performance // ACS Omega. 2018. V. 3. № 11. P. 14973–14980. https://doi.org/10.1021/acsomega.8b01195
- Zhang Z., Karimata I., Nagashima H., Muto S., Ohara K., Sugimoto K., Tachikawa T. Interfacial Oxygen Vacancies Yielding Long-Lived Holes in Hematite Mesocrystal-Based Photoanodes // Nat. Commun. 2019. V. 10. № 1. P. 4832. https://doi.org/10.1038/s41467-019-12581-z
- More P.D., Jadhav P.R., Ghanwat A.A., Dhole I.A., Navale Y.H., Patil V.B. Spray Synthesized Hydrophobic α-Fe2O3 Thin Film Electrodes for Supercapacitor Application // J. Mater. Sci.: Mater. Electron. 2017. V. 28. № 23. P. 17839–17848. https://doi.org/10.1007/s10854-017-7725-5
- Liang T., Guo X., Yuan B., Kong S., Huang H., Fu D., Zhang F., Xu J., Li X. Design of Functionalized α-Fe2O3 (III) Films with Long-Term Anti-Wetting Properties // Ceram. Int. 2020. V. 45. № 5. P. 6129–6135. https://doi.org/10.1016/j.ceramint.2019.11.077
- Zhang Y., Su Y., Wang Y., He J., McPherson G.L., John V.T. Rapid Fabrication of Hollow and Yolk-shell α-Fe2O3 Particles with Applications to Enhanced Photo-Fenton Reactions // RSC Adv. 2017. V. 7. № 62. P. 39049–39056. https://doi.org/10.1039/C7RA06621J
- Bokstein B.S., Esin V.A., Rodin A.O., Svetlov I.L. Models for the Porosity Growth and Dissolution in Single-Crystal Nickel-Base Superalloys // Defect Diffus. Forum. 2010. V. 297-301. P. 187–192. doi: 10.4028/ href='www.scientific.net/DDF.297-301.187' target='_blank'>www.scientific.net/DDF.297-301.187
- Lian J., Duan X., Ma J., Peng P., Kim T., Zheng W. Hematite (α-Fe2O3) with Various Morphologies: Ionic Liquid-Assisted Synthesis, Formation Mechanism, and Properties // ACS Nano. 2009. V. 3. № 11. P. 3749–3761. https://doi.org/10.1021/nn900941e
- Van der Wood F. Mossbauer Effect in α-Fe2O3 // Phys. Status Solidi. 1966. V. 17. № 1. P. 417–432. https://doi.org/10.1002/pssb.19660170147
- Князев Ю.В., Чумаков А.И., Дубровский А.А., Семенов С.В., Якушкин С.С., Кириллов В.Л., Мартьянов О.Н., Балаев Д.А. Мессбауэровские исследования магнитного перехода в наночастицах α-Fe2O3 на синхротронном и радионуклидном источниках // Письма в ЖЭТФ. 2019. Т. 110. № 9. С. 514–619. https://doi.org/10.1134/S0370274X19210082
- Копкова Е.К., Майоров Д.В., Кондратенко Т.В. Получение и исследование структурно-поверхностных и сорбционных свойств слоистых двойных гидроксидов магния и алюминия, модифицированных полиэтиленгликолем // Сорбционные и хроматографические процессы. 2022. Т. 21. № 6. С. 894–904. https://doi.org/10.17308/sorpchrom.2021.21/3836
- Mitra S., Das S., Mandal K., Chaudhuri S. Synthesis of a α-Fe2O3 Nanocrystal in Its Different Morphological Attributes: Growth Mechanism, Optical and Magnetic Properties // Nanotechnology. 2007. V. 18. № 27. P. 275608. https://doi.org/10.1088/0957-4484/18/27/275608
- Freitas A.L.M., Muche D.N.F., Leite E.R., Souza F.L. Interface Engineering of Nanoceramic Hematite Photoelectrode for Solar Energy Conversion // J. Am. Ceram. Soc. 2020. V. 103. P. 6833– 6846. https://doi.org/10.1111/jace.17390
- Zhong D.K., Gamelin D.R. Photoelectrochemical Water Oxidation by Cobalt Catalyst (“Co−Pi”)/α-Fe2O3 Composite Photoanodes: Oxygen Evolution and Resolution of a Kinetic Bottleneck // J. Am. Chem. Soc. 2010. V. 132. № 12. P. 4202–4207. https://doi.org/10.1021/ja908730h
- Walter M.G., Warren E.L., McKone J.R., Boettcher S.W., Mi Q., Santori E.A., Lewis N.S. Solar Water Splitting Cells // Chem. Rev. 2010. V. 110. № 11. P. 6446–6473. https://doi.org/10.1021/cr1002326
- Krysa J., Zlamal M., Kment S., Brunclikova M., Hubicka Z. TiO2 and Fe2O3 Films for Photoelectrochemical Water Splitting // Molecules. 2015. V. 20. P. 1046–1058. https://doi.org/10.3390/molecules20011046
- Xiao C., Zhou Z., Li L., Wu S., Li X. Tin Oxygen-Vacancy Co-Doping into Hematite Photoanode for Improved Photoelectrochemical Performances // Nanoscale Res. Lett. 2020. V. 15. № 1. P. 54. https://doi.org/10.1186/s11671-020-3287-1
- Kennedy J.H., Frese K.W. Photooxidation of Water at α-Fe2O3 Electrodes // J. Electrochem. Soc. 1978. V. 125. № 5. P. 709.https://doi.org/10.1149/1.2131532
- Upul Wijayantha K.G., Saremi-Yarahmadi S., Peter L.M. Kinetics of Oxygen Evolution at α-Fe2O3 Photoanodes: a Study by Photoelectrochemical Impedance Spectroscopy // Phys. Chem. Chem. Phys. 2011. V. 13. № 12. P. 5264–5270.https://doi.org/10.1039/C0CP02408B
- Peter L.M., Upul Wijayantha K.G., Tahir A.A. Kinetics of Light-Driven Oxygen Evolution at α-Fe2O3 Electrodes // Faraday Discuss. 2012. V. 155. P. 309–322. https://doi.org/10.1039/C1FD00079A
- Braun A., Sivula K., Bora D.K., Zhu J., Zhang L., Grätzel M., Guo J., Constable E.C. Direct Observation of Two Electron Holes in a Hematite Photoanode During Photoelectrochemical Water Splitting // J. Phys. Chem. C. 2012. V. 116. № 32. P. 16870–16875. https://doi.org/10.1021/jp304254k
- Deng J., Lv X., Zhong J. Photocharged Fe2TiO5/Fe2O3 Photoanode for Enhanced Photoelectrochemical Water Oxidation // J. Phys. Chem. C. 2018. V. 122. № 51. P. 29268–29273. https://doi.org/10.1021/acs.jpcc.8b08826
- Vasiljevic Z.Z., Dojcinovic M.P., Vujancevic J.D., Jankovic-Castvan I., Ognjanovic M., Tadic N.B., Stojadinovic S., Brankovic G.O., Nikolic M.V. Photocatalytic Degradation of Methylene Blue under Natural Sunlight Using Iron Titanate Nanoparticles Prepared by a Modified Sol–Gel Method // R. Soc. Open Sci. 2020. V. 7. № 9. P. 200708. https://doi.org/10.1098/rsos.200708
- Ma M., Yang Y., Chen Y., Ma Y., Lyu P., Cui A., Huang W., Zhang Z., Li Y., Si F. Photocatalytic Degradation of MB Dye by the Magnetically Separable 3D Flower-Like Fe3O4/SiO2/MnO2/BiOBr-Bi Photocatalyst // J. Alloys Compd. 2021. V. 861. P. 158256. https://doi.org/10.1016/j.jallcom.2020.158256
- Vu X.H., Phuoc L.H., Dien N.D., Pham T.T.H., Thanh L.D. Photocatalytic Degradation of Methylene Blue (MB) over α-Fe2O3 Nanospindles Prepared by a Hydrothermal Route // J. Electron. Mater. 2019. V. 48. № 5. P. 2978–2985. https://doi.org/10.1007/s11664-019-07056-2
Supplementary files


















