Granulated Materials Based on Calcium Silicate Hydrate, Poorly Crystallized Carbonated Hydroxyapatite, and Gelatin
- Authors: Solonenko A.P.1, Shevchenko A.E.1, Polonyankin D.A.2
-
Affiliations:
- Omsk State Medical University, 644099, Omsk, Russia
- Omsk State Technical University, 644050, Omsk, Russia
- Issue: Vol 59, No 2 (2023)
- Pages: 227-234
- Section: Articles
- URL: https://ogarev-online.ru/0002-337X/article/view/140139
- DOI: https://doi.org/10.31857/S0002337X23020148
- EDN: https://elibrary.ru/YEYSVP
- ID: 140139
Cite item
Full Text
Abstract
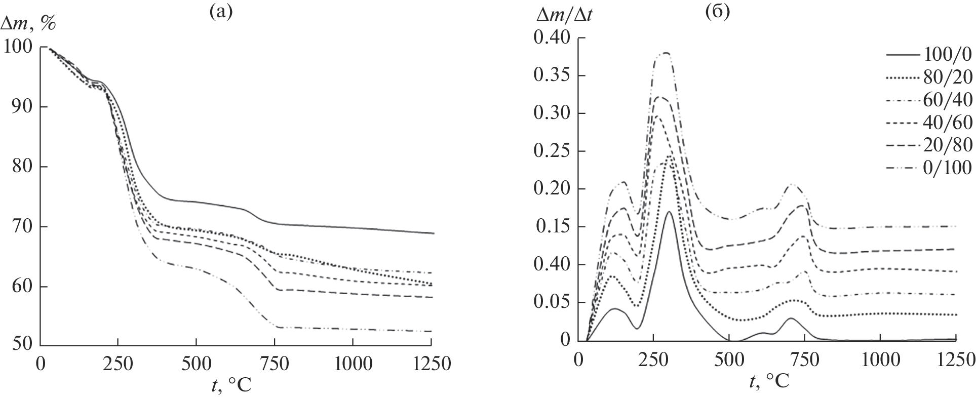
Spherical granules have been produced via suspension processing from synthetic ceramic powders consisting of calcium silicate hydrate and poorly crystallized carbonated hydroxyapatite in a wide range of ratios, using gelatin as a polymer binder. It has been shown that the experimental conditions of this study lead to the formation of polydisperse granules ranging in diameter from 500 μm to 5 mm and having open porosity on the order of 40–60%. The granulated materials contain 19–29 wt % gelatin and 60–75 wt % inorganic salts.
About the authors
A. P. Solonenko
Omsk State Medical University, 644099, Omsk, Russia
Email: annsolonenko@gmail.com
Россия, 644099, Омск, ул. Ленина, 12
A. E. Shevchenko
Omsk State Medical University, 644099, Omsk, Russia
Email: annsolonenko@gmail.com
Россия, 644099, Омск, ул. Ленина, 12
D. A. Polonyankin
Omsk State Technical University, 644050, Omsk, Russia
Author for correspondence.
Email: annsolonenko@gmail.com
Россия, 644050, Омск, пр. Мира, 11
References
- Бaринов C.М., Комлeв В.С. Биокерамика на основе фосфатов кальция. М.: Наука, 2005. 204 с.
- Гроссер А.В., Матело С.К., Купец Т.В. Микроэлементы и микроэлементозы: кремний, фтор, йод (часть 1) // Профилактика сегодня. 2009. № 10. С. 6–14.
- Ortali C., Julien I., Vandenhende M., Drouet C., Champion E. Consolidation of Bone-Like Apatite Bioceramics by Spark Plasma Sintering of Amorphous Carbonated Calcium Phosphate at Very Low Temperature // J. Eur. Ceram. Soc. 2018. V. 38. № 4. P. 2098–2109. https://doi.org/10.1016/j.jeurceramsoc.2017.11.051
- Фадеева И.В., Фомин А.С., Филиппов Я.Ю., Божкова С.А., Лабутин Д.В., Баринов С.М. Пористая карбонатгидроксиапатитовая керамика, полученная по оригинальному методу “керамического бисквита”, для медицины // Перспективные материалы. 2018. № 4. С. 24–30. https://doi.org/10.30791/1028-978X-2018-4-24-30
- Li S., Yu W., Zhang W., Zhang G., Yu L., Lu E. Evaluation of Highly Carbonated Hydroxyapatite Bioceramic Implant Coatings with Hierarchical Micro-/Nanorod Topography Optimized for Osseointegration // Int. J. Nanomed. 2018. V. 13. P. 3643–3659. https://doi.org/10.2147/IJN.S159989
- Cahyanto A., Maruta M., Tsuru K., Matsuya S., Ishikawa K. Fabrication of Bone Cement that Fully Transforms to Carbonate Apatite // Dent. Mater. J. 2015. V. 34. № 3. P. 394–401. https://doi.org/10.4012/dmj.2014-328
- Hayashi K., Tsuchiya A., Shimabukuro M., Ishikawa K. Multiscale Porous Scaffolds Constructed of Carbonate Apatite Honeycomb Granules for Bone Regeneration // Mater. Design. 2022. V. 215. P. 110468. https://doi.org/10.1016/j.matdes.2022.110468
- Tas A.C. Preparation of Self-Setting Cement-Based Micro- and Macroporous Granules of Carbonated Apatitic Calcium Phosphate // Advances in Bioceramics and Biocomposites II, Ceramic Engineering and Science Proc. 2007. V. 27. P. 49–60.
- Lin Y.-H., Chiu Y.-C., Shen Y.-F., Wu Y.-H.A., Shie M.-Y. Bioactive Calcium Silicate/poly-ε-caprolactone Composite Scaffolds 3D Printed under Mild Conditions for Bone Tissue Engineering // J. Mater. Sci: Mater. Med. 2018. V. 29. № 1. P. 11. https://doi.org/10.1007/s10856-017-6020-6
- Mansur A.A.P., Mansur H.S. Preparation, Characterization and Cytocompatibility of Bioactive Coatings on Porous Calcium-Silicate-Hydrate Scaffolds // Mater. Sci. Eng. 2010. V. 30. P. 288–294. https://doi.org/10.1016/j.msec.2009.11.004
- Huan Z., Chang J. Calcium–Phosphate–Silicate Composite Bone Cement: Self-Setting Properties and in vitro Bioactivity // J. Mater. Sci: Mater. Med. 2009. V. 20. P. 833–841. https://doi.org/10.1007/s10856-008-3641-9
- Guo H., Wei J., Yuan Y., Liu C. Development of Calcium Silicate/Calcium Phosphate Cement for Bone Regeneration // Biomed. Mater. 2007. V. 2. P. S153–S159. https://doi.org/10.1088/1748-6041/2/3/s13
- Solonenko A.P., Blesman A.I., Polonyankin D.A. Poorly Crystallized Hydroxyapatite and Calcium Silicate Hydrate Composites: Synthesis, Characterization and Soaking in Simulated Body Fluid // Mater. Charact. 2020. V. 161. P. 110158. https://doi.org/10.1016/j.matchar.2020.110158
- Maddalena R., Li K., Chater P.A., Michalik S., Hamilton A. Direct Synthesis of a Solid Calcium–Silicate–Hydrate (C–S–H) // Constr. Build. Mater. 2019. V. 223. P. 554–565. https://doi.org/10.1016/j.conbuildmat.2019.06.024
- Solonenko A.P., Blesman A.I., Polonyankin D.A. Synthesis and Physicochemical Investigation of Calcium Silicate Hydrate with Different Stoichiometric Composition // J. Phys. Conf. Ser. 2019. V. 1210. P. 012132. https://doi.org/10.1088/1742-6596/1210/1/012132
- Yarusova S.B., Somova S.N., Kharchenko U.V., Gordienko P.S., Beleneva I.A. Effect of the Conditions of the Synthesis of Calcium Silicates on the Kinetics of Microbiological Treatment of Aqueous Media // Russ. J. Inorg. Chem. 2021. V. 66. № 8. P. 1135–1140. https://doi.org/10.1134/S0036023621080313
- Yu P., Kirkpatrick R.J., Poe B., McMillan P.F., Cong X. Structure of Calcium Silicate Hydrate (C–S–H): Near-, Mid-, and Far-Infrared Spectroscopy // J. Am. Ceram. Soc. 1999. V. 82. № 3. P. 742–748. https://doi.org/10.1111/j.1151-2916.1999.tb01826.x
- Andersen F.A., Brecevic L. Infrared Spectra of Amorphous and Crystalline Calcium Carbonate // Acta Chem. Scand. 1991. V. 45. P. 1018–1024. https://doi.org/10.1002/CHIN.199209005
- Rey C., Marsan O., Combes C., Drouet C., Grossin D., Sarda S. Characterization of Calcium Phosphates Using Vibrational Spectroscopies // Advances in Calcium Phosphate Biomaterials, Springer Series in Biomaterials Science and Engineering. Berlin: Springer, 2014. V. 2. P. 229–266. https://doi.org/10.1007/978-3-642-53980-0_8
- Hossana M.J., Gafurb M.A., Kadirb M.R., Karima M.M. Preparation and Characterization of Gelatin-Hydroxyapatite Composite for Bone Tissue Engineering // IJET-IJENS. 2014. V. 14. № 1. P. 24–32.
- Karunadasa K.S.P., Manoratne C.H., Pitawala H.M.T.G.A., Rajapakse R.M.G. Thermal Decomposition of Calcium Carbonate (Calcite Polymorph) as Examined by in-situ High-Temperature X-ray Powder Diffraction // J. Phys. Chem. Solids. 2019. V. 134. P. 21–28. https://doi.org/10.1016/j.jpcs.2019.05.023
- Maruta M., Arahira T., Tsuru K., Matsuya S. Characterization and Thermal Decomposition of Synthetic Carbonate Apatite Powders Prepared Using Different Alkali Metal Salts // Dent. Mater. J. 2019. V. 38. № 5. P. 750–755. https://doi.org/10.4012/dmj.2018-213
- Wan X., Chang C., Mao D., Jiang L., Li M. Preparation and in vitro Bioactivities of Calcium Silicate Nanophase Materials // Mater. Sci. Eng. C. 2005. V. 25. P. 455–461. https://doi.org/10.1016/j.msec.2004.12.003
Supplementary files









