Structural, Thermal, and Electrical Properties of Solid Solutions in the NdBaFeCo0.5Cu0.5O5+δ–NdSrFeCo0.5Cu0.5O5+δ System
- Authors: Klyndyuk A.I.1, Zhuravleva Y.Y.1, Gundilovich N.N.1, Chizhova E.A.1
-
Affiliations:
- Belarussian State Technological University, 220006, Minsk, Belarus
- Issue: Vol 59, No 1 (2023)
- Pages: 88-94
- Section: Articles
- URL: https://ogarev-online.ru/0002-337X/article/view/140129
- DOI: https://doi.org/10.31857/S0002337X23010086
- EDN: https://elibrary.ru/OQDRRO
- ID: 140129
Cite item
Full Text
Abstract
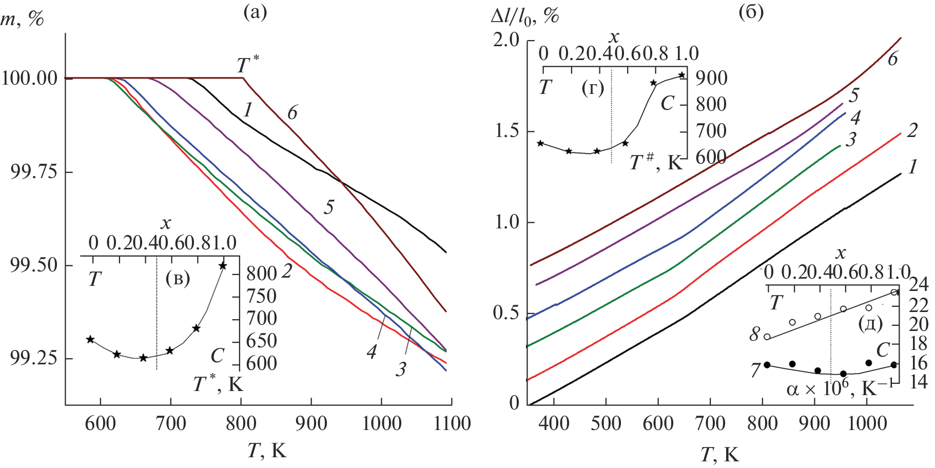
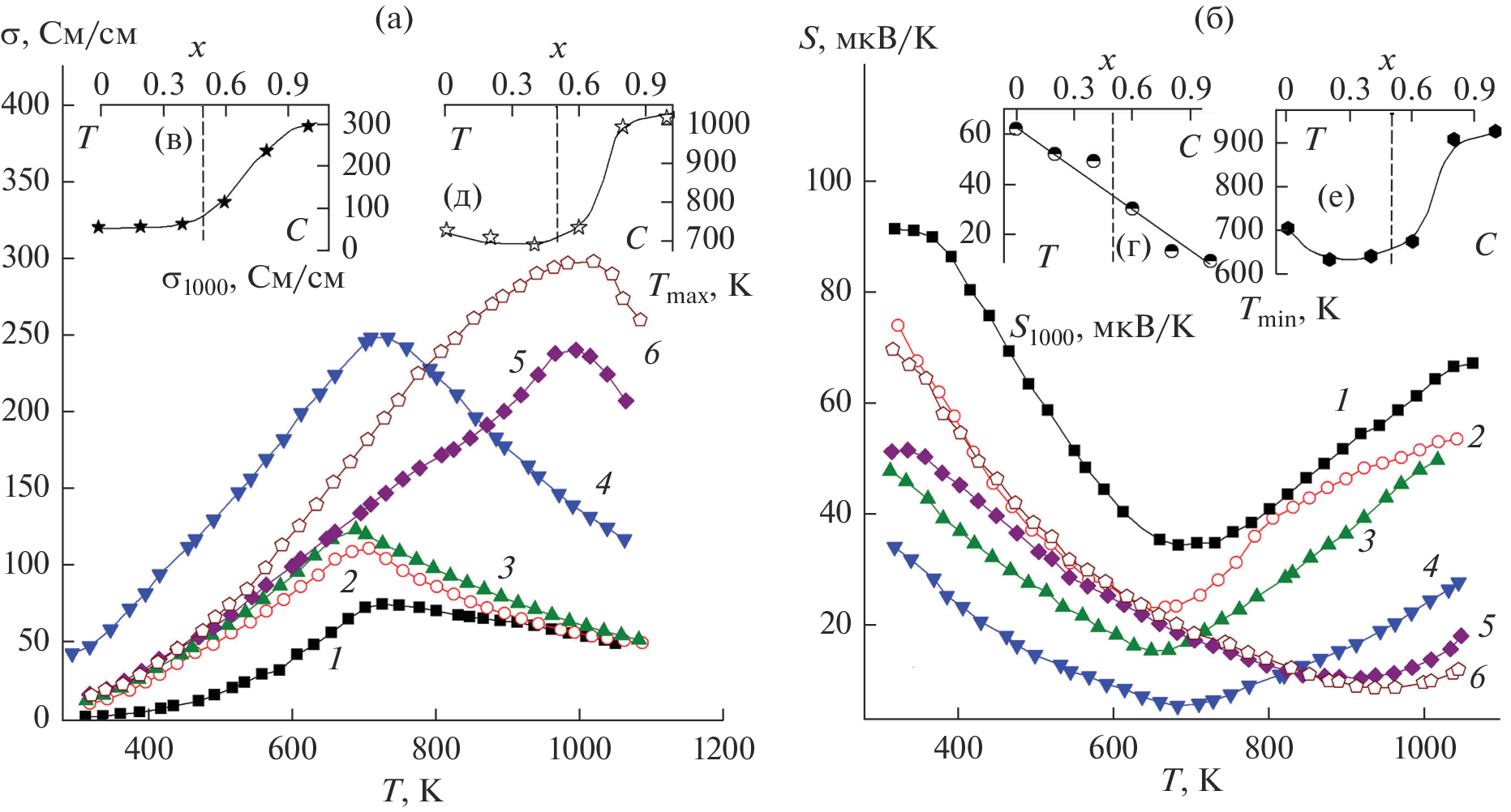
NdBa1–xSrxFeCo0.5Cu0.5O5+δ (0 ≤ x ≤ 1.0) layered perovskites have been prepared by solid-state reactions and their crystal structure, microstructure, and thermal and electrical properties have been studied. The materials with x ≤ 0.4 have a tetragonal structure (sp. gr. P4/mmm) and those in the range 0.6 ≤ x ≤ 1.0 have a cubic structure (sp. gr. Pm3m) and are p-type semiconductors, but with increasing temperature the behavior of their electrical conductivity changes to metallic one as a result of labile oxygen (δ) release, accompanied by an increase in their linear thermal expansion coefficient from (15.1–16.2) × 10–6 to (18.9–23.5) × 10–6 К–1. Increasing the degree of strontium substitution for barium reduces the unit-cell parameters and thermoelectric power of the NdBa1–xSrxFeCo0.5Cu0.5O5+δ solid solutions and increases their electrical conductivity. We have evaluated activation energy for electrical transport processes, weighted charge carrier mobility, and charge carrier concentration in the perovskites and demonstrated that these parameters vary nonmonotonically with the cation composition of the materials, having extrema in the region of the tetragonal-to-cubic structural phase transition.
About the authors
A. I. Klyndyuk
Belarussian State Technological University, 220006, Minsk, Belarus
Email: klyndyuk@belstu.by
Беларусь, 220006, Минск, ул. Свердлова, 13А
Ya. Yu. Zhuravleva
Belarussian State Technological University, 220006, Minsk, Belarus
Email: klyndyuk@belstu.by
Беларусь, 220006, Минск, ул. Свердлова, 13А
N. N. Gundilovich
Belarussian State Technological University, 220006, Minsk, Belarus
Email: klyndyuk@belstu.by
Беларусь, 220006, Минск, ул. Свердлова, 13А
E. A. Chizhova
Belarussian State Technological University, 220006, Minsk, Belarus
Author for correspondence.
Email: klyndyuk@belstu.by
Беларусь, 220006, Минск, ул. Свердлова, 13А
References
- Taskin A., Lavrov A. Origin of the Large Thermoelectric Power in Oxygen-Variable RBaCo2O5+x (R = Gd, Nd) // Phys. Rev. 2006. V. 73. P. 1211101. https://doi.org/10.1103/PhysRevB.73.121101
- Kim J.-H., Manthiram A. Layered LnBaCo2O5+δ Oxides as Cathodes for Intermediate-Temperature Solid Oxide Fuel Cell // J. Electrochem. Soc. 2008. V. 155. № 4. P. B385–B390. https://doi.org/10.1149/1.2839028
- Kim J.-H., Manthiram A. Layered LnBaCo2O5+δ Perovskite Cathodes for Solid Oxide Fuel Cells: An Overview and Perspective // J. Mater. Chem. 2015. V. 3. P. 24195–24210. https://doi.org/10.1039/C5TA06212H
- Han B., Li Y., Chen N., Deng D., Xinxin X., Wang Y. Preparation and Photocatalytic Properties of LnBaCo2O5+δ (Ln = Eu, Gd, and Sm) // J. Mater. Sci. Chem. Eng. 2015. V. 3. P. 17–25.
- Tsvetkov D.S., Ivanov I.L., Malyshkin D.A., Sednev A.L., Sereda V.V., Zuev A.Y. Double Perovskites REBaCo2–xMxO6–δ (RE = La, Pr, Nd, Eu, Gd; M = Fe, Mn) as Energy-related Materials: An Overview // Pure Appl. Chem. 2019. V. 91. P. 923–940.
- Hanif M.B., Rauf S., Motola M., Babar Z.U.D., Li C.-J. Recent Progress of Perovskite-based Electrolyte Materials for Solid Oxide Fuel Cells and Performance Optimizing Strategies for Energy Storage Applications // Mater. Res. Bull. 2022. V. 146. P. 111612. https://doi.org/10.1016/j.cej.2021.132603
- Klyndyuk A.I., Chizhova E.A., Kharytonau D.S., Medvedev D.A. Layered Oxygen-Deficient Double Perovskites as Promising Cathode Materials for Solid Oxide Fuel Cells // Materials. 2022. V. 15. № 1. P. 141. https://doi.org/10.3390/ma15010141
- Kharton V., Marques F., Atkinson A. Transport Properties of Solid Oxide Electrolyte Ceramics: a Brief Review // Solid State Ionics. 2004. V. 174. № 1–4. P. 135. https://doi.org/10.1016/j.ssi.2004.06.015
- Cherepanov V.A., Aksenova T.V., Gavrilova L.Y., Mikhaleva K.N. Structure, Nonstoichiometry and Thermal Expansion of NdBa(Co,Fe)2O5+δ Layered Perovskites // Solid State Ionics. 2011. V. 188. № 1. P. 53–57. https://doi.org/10.1016/j.ssi.2010.10.021
- Zhang S.-L., Chen K., Zhang A.-P., Li C.-X., Li C.-Y. Effect of Fe Doping on the Performance of Suspension Plasma-Sprayed PrBa0.5Sr0.5Co2–xFexO5+δ Cathodes for Intermediate-Temperature Solid Oxide Fuel Cells // Ceram. Int. 2017. V. 43. P. 11648–11655. https://doi.org/0.1016/j.ceramint.2017.05.438
- Jin F., Li Y., Wang Y., Chu X., Xu M., Zhai Y., Zhang Y., Fang W., Zou P., He T. Evaluation of Fe and Mn co-Doped Layered Perovskite PrBaCo2/3Fe2/3Mn2/3O5+δ as a Novel Cathode for Intermediate-Temperature Solid Oxide Fuel Cells // Ceram. Int. 2018. V. 44. P. 22489–22496. https://doi.org/10.1016/j.ceramint.2018.09.018
- Lin Y., Jin F., Yang X., Nik B., Li Y., He T. YBaCo2O5+δ-based Double Perovskite Cathodes for Intermediate-temperature Solid Oxide Fuel Cells with Simultaneously Improved Structural Stability and Thermal Expansion Properties // Electrochim. Acta. 2019. V. 297. P. 344–354. https://doi.org/0.1016/j.electacta.2018.11.214
- Cordaro G., Donazzi A., Pelosato R., Mastropasqua L., Cristiani C., Sora I.N., Dotelli G. Structural and Electrochemical Characterization of NdBa1–xCo2–yFeyO5+δ as Cathode for Intermediate Temperature Solid Oxide Fuel Cells // J. Electrochem. Soc. 2020. V. 167. P. 024502. https://doi.org/10.1149/1945-7111/ab628b
- Klyndyuk A.I., Mosiałek M., Kharitonov D.S., Chizhova E.A., Socha R., Zimovska M., Komenda A. Structural and Electrochemical Characterization of YBa(Fe,Co,Cu)O5+δ Layered Perovskites as Cathode Materials for Solid Oxide Fuel Cells // Int. J. Hydrogen. Energy. 2021. V. 46. № 32. P. 16977–16988. https://doi.org/10.1016/j.ijhydene.2021.01.141
- Yang Q., Tian D., Liu R., Wu H., Chan nY., Ding Y., Lu X., Lin B. Exploiting Rare-Earth-Abundant Layered Perovskite Cathodes of LnBa0.5Sr0.5Co1.5Fe0.5O5+δ (Ln = La and Nd) for SOFC // Int. J. Hydrogen. Energy. 2021. V. 46. № 7. P. 5630–5642. https://doi.org/10.1016/j.ijhedene.2020.11.031
- Klyndyuk A.I., Kharytonau D.S., Mosiałek M., Chizhova E.A., Komenda A., Socha R.S., Zimovska M. Double Substituted NdBa(Fe,Co,Cu)2O5+δ Layered Perovskites as Cathode Materials for Intermediate-temperature Solid Oxide Fuel Cells – Correlation between Structure and Electrochemical Properties // Electrochim. Acta. 2022. V. 41. P. 140062. https://doi.org/10.1016/j.electacta.2022.140062
- Xue J., Shen Y., He T. Performance of Double-Perovskite YBa0.5Sr0.5Co2O5+δ as Cathode Material for Intermediate-Temperature Solid Oxide Fuel Cells // Int. J. Hydrogen. Energy. 2011. V. 36. P. 6894–6898. https://doi.org/10.1016/j.ijhydene.2011.02.090
- Yao C., Yang J., Zhang H., Chen S., Lang X., Meng J., Cai K. Evaluation of A-Site Deficient PrBa0.5–xSr0.5Co2O5+δ Layered (x = 0, 0.04, and 0.08) as Cathode Materials for Solid Oxide Fuel Cells // J. Alloys Compd. 2021. V. 883. P. 160759. https://doi.org/10.1016/j.jallcom.2021.160759
- Klyndyuk A.I., Zhuravleva Ya.Yu., Gundilovich N.N. Crystal Structure, Thermal and Electrotransport Properties of NdBa1–xSrxFeCo0.5Cu0.5O5+δ (0.02 ≤ x ≤ 0.20) Solid Solutions // Chimica Techno Acta. 2021. V. 8. № 3. P. 20218301. https://doi.org/10.15826/chimtech.2021.8.3.01
- Urusova A.S., Cherepanov V.A., Aksenova T.V., Gavrilova L.Y., Kiselev E.A. Phase Equilibria, Crystal Structure and Oxygen Content of Intermediate Phases in the Y–Ba–Co–O System // J. Solid State Chem. 2013. V. 202. P. 207–214. https://doi.org/10.1016/j.jssc.2013.03.037
- Клындюк А.И., Журавлева Я.Ю. Структура и физико-химические свойства твердых растворов NdBa1–xCaxFeCo0.5Cu0.5O5+δ (0.00 ≤ x ≤ 0.40) // Журн. неорган. химии. 2022. Т. 67. № 12. С. 1874–1880. https://doi.org/10.31857/S0044457X22600669
- Клындюк А.И., Чижова Е.А. Структура, тепловое расширение и электрические свойства твердых растворов системы BiFeO3–NdMnO3 // Неорган. материалы. 2015. Т. 51. № 3. С. 322–327. https://doi.org/10.7868/S0002337X15020098
- Kim Y.N., Kim J.-H., Manthiram A. Effect of Fe Substitution on the Structure and Properties of LnBaCo2–xFexO5+δ (Ln = Nd and Gd) Cathodes // J. Power Sources. 2010. V. 195. P. 6411–6419. https://doi.org/10.1016/j.jpowsour.2010.03.100
- Shannon R.D. Revised Effective Ionic Radii and Systematic Studies of Interatomic Distances in Halides and Chalogenides // Acta Crystallogr. 1976. V. 32. P. 751–767. https://doi.org/10.1107/S0567739476001551
- Atanassova Y.K., Popov V.N., Bogachev G.G., Iliev M.N., Mitros C., Psycharis V., Pissas M. Raman- and Infrared Active Phonons in YBaCuFeO5: Experimental and Lattice Dynamics // Phys Rev. B. 1993. V. 47. P. 15201–15207. https://doi.org/10.1103/PhysRevB.47.15201
- Мотт Н., Дэвис Э. Электронные процессы в некристаллических веществах. М.: Мир, 1982. 368 с.
- Snyder G.J., Snyder A.H., Wood M., Gurunatham R., Snyder B.H., Niu C. Weighted Mobility // Adv. Mater. 2020. V. 35. P. 2001537. https://doi.org/10.1002/adma.202001537
Supplementary files





