Оптические свойства ячеек Гретцеля на основе дельфинидина с наночастицами карбида кремния
- Авторы: Расмагин С.И.1
-
Учреждения:
- ФИЦ Институт общей физики им. А.М. Прохорова Российской академии наук
- Выпуск: Том 59, № 1 (2023)
- Страницы: 34-38
- Раздел: Статьи
- URL: https://ogarev-online.ru/0002-337X/article/view/140114
- DOI: https://doi.org/10.31857/S0002337X23010177
- EDN: https://elibrary.ru/OTZIKP
- ID: 140114
Цитировать
Полный текст
Аннотация
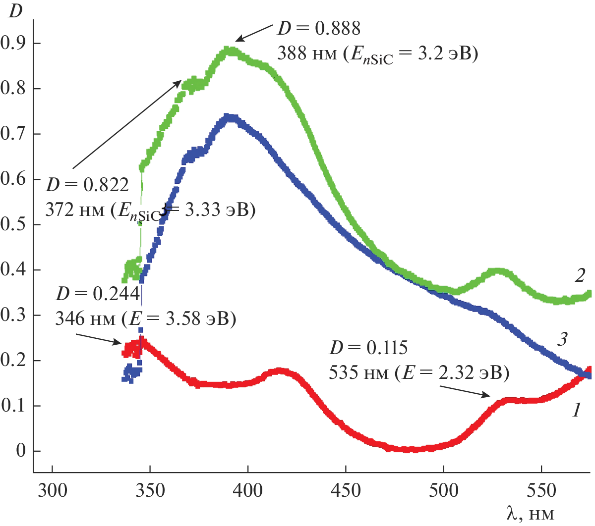
В работе проведено исследование свойств комплекса дельфинидина и наночастиц карбида кремния с помощью оптических методов. Из данных электронной микроскопии был определен фазовый состав образцов карбида кремния. Сравнительный анализ спектров поглощения растворов дельфинидина и дельфинидина с наночастицами карбида кремния показал заметное увеличение поглощения излучения в присутствии наночастиц. Сильный рост оптической плотности свидетельствует о значительной адсорбции молекул дельфинидина на поверхности наночастиц карбида кремния. Сочетание дельфинидина с наночастицами карбида кремния улучшает характеристики ячеек Гретцеля по сравнению с сенсибилизатором без наночастиц. Добавление наночастиц карбида кремния в краситель увеличивает мощность и коэффициент полезного действия ячейки Гретцеля.
Об авторах
С. И. Расмагин
ФИЦ Институт общей физики им. А.М. Прохорова Российской академии наук
Автор, ответственный за переписку.
Email: rasmas123@yandex.ru
Россия, 119991, Москва,
ул. Вавилова, 38
Список литературы
- O’Regan B., Gratzel M. A Low-Cost. High-Efficiency Solar Cell Based on Dye-Sensitized Colloidal TiO2 Films // Nature. 1991. V. 353. № 6346. P. 737–740. https://doi.org/10.1038/353737a0
- Kakiage K., Aoyama Y., Yano T. Highly-Efficient Dye-Sensitized Solar Cells with Collaborative Sensitization by Silyl-Anchor and Carboxy-Anchor Dyes // Chem. Commun. 2015. V. 51b. № 88. P. 15894–15897. https://doi.org/10.1039/x0xx00000x
- Zhao J.H., Wang A., Green M.A. 19.8% Efficient “Honeycomb” Textured Multicrystalline and 24.4% Monocrystalline Silicon Solar Cells // Appl. Phys. Lett. 1998. V. 73. P. 1991–1993. https://doi.org/10.1063/1.122345
- Shockey W., Queisser M.A. Detailed Balance Limit of Efficiency of p-n Junction Solar Cells // J. Appl. Phys. 1961. V. 32. P. 510–519. https://doi.org/10.1063/1.1736034
- Lee A.C., Lin R.H., Yang C.Y. Preparations and Characterization of Novel Photocatalysts with Mesoporous Titanium Dioxide (TiO2) via a Sol-Gel Method // Mater. Chem. Phys. 2008. V. 109. P. 275–280. https://doi.org/10.1016/j.matchemphys.2007.11.016
- Sekar N., Ghelot V. Metal Complex Dyes for Dye-Sensitized Solar Cells: Recent Developments // Resonance. 2010. V. 15. P. 819–831. https://doi.org/10.12691/pmc-3-1-1
- Perera I.R., Hettiarachchi C.V., Ranatunga R.J.K.U. Metal–Organic Frameworks in Dye-Sensitized Solar Cells Energy, Environment, and Sustainability // Advances in Solar Energy Research. 2019. P. 175–219. https://doi.org/10.1007/978-981-13-3302-6_7
- Min K.-W., Yu M.-T., Ho C.-T., Chen P.-R., Tsai J.-K., Wu T.-C., Wu T.-L. Application of Doping Graphene Quantum Dots and Gold Nanoparticles on Dye-Sensitized Solar Cells // Mod. Phys. Lett. B. 2021. P. 2141017. https://doi.org/10.1142/S0217984921410177
- Sharif N.F.M., Md Din M.F., Ab. Kadir M.Z.A., Shafie S., Yusuf Y., Buda S. Light Absorption Enhancement Using Graphene Quantum Dots and the Effect of N-719 Dye Loading on the Photoelectrode of Dye-Sensitized Solar Cell (DSSC) // Key Eng. Mater. 2022. V. 908. P. 259–264. https://doi.org/10.4028/p-0cm1r4
- Расмагин С.И., Красовский В.И. Исследование взаимодействия дифталоцианина лютеция с наночастицами карбида кремния оптическими методами // ЖТФ. 2021. Т. 91. № 3. С. 490–494. https://doi.org/10.1134/S1063784221030208
- Kouari Y.El., Migalska-Zalas A., Arof A.K., Sahraoui B. Computations of Absorption Spectra and Nonlinear Optical Properties of Molecules Based on Anthocyanidin Structure // Opt. Quant. Electron. 2015. V. 47. P. 1091–1099. https://doi.org/10.1007/s11082-014-9965-4
- Jin L., Dajun Chen D. Enhancement in Photovoltaic Performance of Phthalocyanine-sensitized Solar Cells by Attapulgite Nanoparticles // Electrochim. Acta. 2012. V. 72. P. 40–45.
- Расмагин С.И. Оптические свойства комплекса дифталоцианина лютеция с наночастицами карбида кремния // Неорган. материалы. 2020. Т. 56. № 9. С. 975–978. https://doi.org/10.1134/s0020168520090149
- Ершов И.А., Исхакова Л.Д., Красовский В.И., Милович Ф.О., Расмагин С.И., Пустовой В.И. Cинтез наночастиц карбида кремния методом лазерного пиролиза смеси моносилана и ацетилена // Физика и техника полупроводников. 2020. Т. 54. № 11 (111177). С. 1233–1237. https://doi.org/10.1134/S1063782620110081
- Tractz G.T., Dias B.V., Banczek E.P., Da Cunha M.T., Rodrigues P.R.P., Alves G.J.T. Dye Sensitized Solar Cells (CSSC): Perspectives, Materials, Functioning and Characterization Techniques // Rev. Virtual Quim. 2020. V. 12. № 3. P. 748–774. https://doi.org/10.21577/1984-6835.20200060





