Air Current Circulation as a Possible Cause of Preseismic Anomalies in the Surface Electric Field
- Authors: Surkov V.V.1,2
-
Affiliations:
- Schmidt Institute of Physics of the Earth, Russian Academy of Sciences
- Pushkov Institute of Terrestrial Magnetism, Ionosphere and Radio Wave Propagation, Russian Academy of Sciences
- Issue: No 2 (2024)
- Pages: 42-58
- Section: Articles
- URL: https://ogarev-online.ru/0002-3337/article/view/255557
- DOI: https://doi.org/10.31857/S0002333724020046
- EDN: https://elibrary.ru/BSJFRJ
- ID: 255557
Cite item
Full Text
Abstract
Ground-based measurements of the vertical atmospheric electric field of the Earth sometimes show bay-like anomalies that precede certain earthquakes. In some cases, these anomalies have even been accompanied by a change in the sign of the field under fair weather conditions. Possible causes of this phenomenon are typically attributed to anomalous changes in electrical conductivity in the surface air and increased radon emission from the soil. This paper proposes another mechanism of atmospheric electrical anomalies that involves the entrainment of charged aerosols and light and heavy ions by air flows. Such flows can be produced by small temperature anomalies observed before some seismic events. Theoretical analysis shows that anomalously strong electrical variations may occur even in the presence weak air flows provided that they persist for a long time and there is a specific structure of the velocity field with vertical air circulation and particle exchange between different atmospheric layers. For this type of flows, an analytical solution is derived and spatial distributions of atmospheric electric perturbations are obtained. The results of calculations and estimates confirm that the proposed mechanism can explain the observational data.
Full Text
ВВЕДЕНИЕ
Среднесуточные вариации вертикального электрического поля в приземном слое атмосферы контролируются, главным образом, метеорологическими явлениями, такими как конвективные процессы в атмосфере, связанные с изменениями температуры воздуха и уровнем осадков, а также вариациями суточного градиента атмосферного давления, и т.п. Эти процессы могут повлиять на проводимость воздуха и объемную плотность зарядов в нижней атмосфере [Михайлов и др., 2002]. Например, во время осадков, которые несут к поверхности земли электрические заряды, проводимость атмосферы возрастает и соответственно уменьшается вертикальное атмосферное электрическое поле, иногда даже меняя знак.
К настоящему времени накопилось достаточно много наблюдений об аномальных возмущениях приземного атмосферного электрического поля перед землетрясениями, которые часто наблюдались при спокойной погоде. Эти аномалии чаще всего представляют собой бухтообразные уменьшения приземного атмосферного электрического поля, которые возникают обычно за несколько часов или десятков часов перед землетрясениями с магнитудой на расстояниях до 200–250 км от эпицентра [Руленко и др., 1992; Hao et al., 2000; Руленко, 2000; Михайлов и др., 2002; Kachakhidze et al., 2009; Silva et al., 2011; Choudhury et al., 2013]. Например, за 2.8 ч перед землетрясением с магнитудой произошедшим 13.11.1993 г. на Камчатке, наблюдались возмущения атмосферного электрического поля длительностью около одного часа [Бузевич и др. 1998; Михайлов и др., 2006]. За 11 ч 27 мин до главного толчка Кроноцкого землетрясения 05.12.1997 г. с магнитудой были синхронно зарегистрированы ступенчатые изменения в суточных вариациях электрического поля и электропроводности [Бузевич и др., 1998]. За сутки до землетрясения 1999 г. на Камчатке обнаружены бухтообразные ослабления поля длительностью до 9 ч вплоть до смены знака [Михайлов и др., 2002]. Бухтообразные уменьшения атмосферного электрического поля с изменением знака при спокойной погоде и средней скорости ветра 1–3 м/с обнаружены за 13 суток перед землетрясением с магнитудой произошедшим в 2012 г. на Камчатке [Руленко и др., 2019]. Цикл исследований на Камчатке показал, что типичные глубина и длительность аномальных вариаций составляют 100–300 В/м и 40–60 мин, соответственно [Marapulets, Rulenko, 2019]. Поскольку эти электрические аномалии обычно наблюдались при спокойной погоде, то предполагалось, что их причины не связаны с метеорологическими условиями, и могут быть обусловлены процессами, предваряющими землетрясения.
Рассматривались несколько гипотез, объясняющих возникновение аномальных вариаций атмосферного электрического поля перед землетрясениями. В ранних теоретических исследованиях предполагалось, что источником таких вариаций являются электрические заряды и токи в верхних слоях земной коры, которые вызываются внутренними деформациями и разрушениями породы в процессе подготовки землетрясения (см., например, работу [Руленко, 2000]). Известно несколько таких механизмов генерации земных токов и электрических зарядов, включая сейсмоэлектрический эффект, электризацию пород, связанную с образованием микротрещин, геомагнитные возмущения, обусловленные движением проводящих слоев земли и т.д. (см., например, обзоры [Сурков, 2000; Surkov, Hayakawa, 2014]). Теоретические оценки показывают, что низкочастотные атмосферные электрические поля, обусловленные этими механизмами, сильно ограничены по амплитуде из-за скин-эффекта в проводящей земле и, по-видимому, не превышают нескольких мкВ/м в эпицентральной области с радиусом порядка 100 км.
Согласно другой гипотезе, главной причиной аномалий атмосферного электрического поля перед землетрясениями является увеличение эмиссии радона из почвы, которое приводит к росту ионизации воздуха в приземном атмосферном слое [Руленко и др., 1992; Руленко, 2000]. Такое повышение эмиссии радона наблюдалось в некоторых сейсмически активных районах перед землетрясениями [Virk, Singh, 1994; Inan et al., 2008; Giuliani, Fiorani, 2009; Yasuoka et al., 2009; Макаров, Фирстов, 2018]. Например, перед землетрясением в Koбe, произошедшим 17.01.1995 г. объемная активность радона в приповерхностном атмосферном слое выросла до 20 Бк/м3, что в 2 раза превышало средний фоновый уровень. Хотя некоторые исследователи не находят статистически значимых изменений в активности радона перед землетрясениями (см., например, работу [Cigolini et al., 2015]).
Увеличение ионизации воздуха, вызванное радиоактивным распадом ядер радона, приводит к увеличению числа легких ионов и росту проводимости воздуха, которое, в свою очередь, влияет на электрическое поле в атмосфере. Несмотря на низкое значение коэффициента электропроводности воздуха плотность вертикального атмосферного тока при хорошей погоде и в отсутствие осадков составляет пА/м2. Если рассмотреть вертикальный атмосферный столб воздуха, в котором плотность вертикального тока приблизительно постоянна и не зависит от высоты, то увеличение в нижней части этого столба, вызванное ионизацией воздуха при увеличении активности радона, приведет к уменьшению [Руленко и др., 1992]. Этот эффект мог бы качественно объяснить наблюдаемые аномалии приземного электрического поля. Теоретические оценки показывают, что локальное двукратное увеличение концентрации радона у поверхности земли, которое иногда наблюдалось перед землетрясениями, может увеличить электропроводность воздуха у земли в раза в зависимости от концентрации аэрозолей в атмосфере [Harrison et al., 2010; 2013; Surkov, 2015; Сурков и др., 2022]. Таким образом, ожидаемый эффект увеличения электропроводности воздуха состоит в снижении в раза. Из этих оценок следует, что увеличение эмиссии радона из почвы и небольшие уменьшения атмосферного электрического поля должны быть связаны между собой. Но этот эффект не может объяснить сильные вариации приземного вертикального поля, иногда приводящие к изменению его направления.
Еще одним следствием изменения коэффициента электропроводности, вызванным ионизацией воздуха радоном, является возникновение градиента электропроводности, которое влечет за собой возникновение объемных атмосферных зарядов. Действительно, из уравнения непрерывности стационарного тока и уравнения Максвелла где – объемная плотность зарядов в воздухе, а – электрическая постоянная, следует, что Отсюда получаем грубую оценку: где и – изменение электропроводности и характерный вертикальный масштаб этого изменения соответственно. Полагая, что м [Surkov, 2015] и В/м получаем, что пКл/м3. Эта величина по модулю намного меньше плотности заряда пКл/м3 [Руленко и др., 2019], который мог бы вызвать уменьшение атмосферного поля у земной поверхности на 100–300 В/м.
Целью данной работы является изучение другого механизма аномалий атмосферного электрического поля, которые иногда наблюдаются перед землетрясениями в приземном атмосферном слое. В основе этого механизма лежит увлечение слабым, но продолжительным ветром легких и тяжелых ионов, заряженных аэрозолей и других атмосферных частиц. В работе будет показано, что при определенной структуре ветрового поля скоростей пространственное перераспределение заряженных атмосферных частиц может вызвать изменения атмосферного электрического поля, сопоставимые по амплитуде с наблюдаемыми вариациями.
Происхождение атмосферных воздушных течений и акустических волн, которые предположительно могут возникать перед землетрясениями, является дискуссионным вопросом, который широко обсуждается в настоящее время. В частности, некоторые ионосферные возмущения, которые интерпретируются как предвестники землетрясений, могут вызваться поднимающейся вверх акусто-гравитационной волной (АГВ), поскольку распространение АГВ в ионосфере приводит к генерации ионосферных токов и возмущениям полного электронного содержания (см., например, работы [Klimenko et al., 2011; Heki, Enomoto, 2013; Jin et al., 2015; Astafyeva, 2019]).
Рассматривались различные модели источников АГВ и воздушных течений в атмосфере перед землетрясениями. Например, нестационарная дегазация литосферных газов [Gokhberg et al., 1994; Гохберг и др., 1996; Перцев, Шалимов, 1996] или нестационарные мозаичные источники теплоты и массы, распределенные по поверхности земли [Mareev et al., 2002]. Эти модели основаны на результатах спутниковых наблюдений над сейсмически активными регионами, в которых измерялись уходящие вверх с поверхности земли потоки инфракрасного излучения (в окнах прозрачности) и яркостная температура нижней атмосферы. Статистический анализ этих данных показал, что в некоторых сейсмически активных областях и над местами разломов земной коры средняя ночная температура выше средней температуры окружающих областей на 1–2 К [Tronin, 1999; Tramutoli et al., 2001; Genzano et al., 2009]. Типичные размеры аномальных областей в Центральной Азии составляли сотни километров. Предполагалось, что данное явление может возникать из-за выхода из почвы в атмосферу оптически активных многоатомных газов, таких как CO2, CH4 и водяные пары [Tronin, 1999]. Эти газы поглощают инфракрасное излучение Земли и способствуют возникновению локального парникового эффекта, который приводит к росту температуры воздуха. Другая модель температурных аномалий предполагает, что вариации тектонических напряжений перед землетрясениями приводят к постепенному выдавливанию нагретой подземной жидкости с больших глубин к поверхности земли, которое сопровождается небольшим локальным нагревом поверхности земли [Surkov et al., 2006].
ВЛИЯНИЕ ВЕТРА НА ПРОСТРАНСТВЕННОЕ РАСПРЕДЕЛЕНИЕ КОНЦЕНТРАЦИИ АТМОСФЕРНЫХ ЧАСТИЦ
Детальное изучение причин образования воздушных потоков, связанных с сейсмическими событиями, выходит за рамки нашего исследования. Предположим, например, что аномальное увеличение ночной температуры, наблюдаемое на больших площадях перед некоторыми землетрясениями [Tronin, 1999; Tramutoli et al., 2001], приводит к образованию конвективной неустойчивости воздуха в приземных слоях атмосферы, которая сопровождается генерацией слабых воздушных потоков. Приземной атмосферный воздух содержит разнообразные заряженные аэрозоли, легкие ионы и другие атмосферные частицы. Перемещения заряженных атмосферных частиц под действием ветра и других факторов приводят к вариациям атмосферного электрического поля. Потоки воздуха могут увлекать за собой атмосферные частицы вследствие молекулярных столкновений. Кроме того, на их движение оказывают влияние местные гравитационное и электрическое поля Земли и диффузия. Вначале рассмотрим какой-то один тип атмосферных частиц, имеющих одинаковые размеры, массу и электрический заряд. Скорости образования и убыли зарядов за счет ионизации и процессов рекомбинации считаем одинаковыми. Тогда изменение концентрации частиц n определяется уравнением непрерывности:
(1)
где: j – плотность потока частиц; V – скорость ветра; – подвижность частиц; g – ускорение свободного падения; m и q – масса и заряд частиц, – напряженность электрического поля Земли; D – коэффициент турбулентной диффузии. Для круглых частиц при ламинарном характере их обтекания справедлива формула Стокса: [Ландау, Лифшиц, 1985], где – коэффициент динамической вязкости воздуха, а – радиус частиц. Если радиус аэрозольных частиц порядка или меньше длины свободного пробега молекул то приведенную выше формулу для следует умножить на корректирующий множитель где и – безразмерные константы порядка единицы [Reist, 1993].
Оценим входящие в уравнение (1) параметры для аэрозольных частиц. Принимая, что коэффициент вязкости воздуха Па с (при температуре 293 K), средний радиус и плотность аэрозолей мкм и кг/м3, соответственно, получаем следующие значения: с/кг и кг.
Теперь сравним по порядку величины слагаемые, входящие в плотность потока частиц j. Модуль первого слагаемого превосходит модуль второго при условии которое выполняется, если м/с. Первое слагаемое больше третьего, если Для частиц с зарядом, не превышающим 100e (e – элементарный заряд), и напряженности электрического поля В/м получаем, что м/с.
Величина коэффициента турбулентной диффузии зависит от высоты, характерного масштаба изменения L концентрации частиц, скорости ветра и других метеорологических параметров. В некоторых работах для оценок используется эмпирическая зависимость Ричардсона D(L) ~ L4/3 [Монин, 1959; Голицын, 2001]. Для газопылевых облаков перед фронтальной границей всплывающего термика с масштабом турбулентности ~ 10–150 м экспериментальные данные хорошо описываются эмпирической зависимостью: D(L) = 0.013 ⋅ L4/3 [Кожухов, Соловьев, 1996]. Грубые оценки для меньших масштабов турбулентности ~ 1–10 м и скоростей турбулентных движений ~ 0.1 м/с дают величину D ~ 0.1–1 м2/с [Монин, 1959], которую будем использовать в дальнейшем.
Первое слагаемое в плотности потока больше диффузионного при условии где – изменение концентрации частиц, а – характерный пространственный масштаб этого изменения. Проведенные ниже модельные расчеты показывают, что относительные изменения могут достигать десятков процентов с вертикальным масштабом порядка сотен или десятков метров. Выбирая значения и м, получим, что м/с.
Приведенные выше числовые оценки показывают, что даже при слабом ветре в плотности потока аэрозолей и других атмосферных частиц преобладает слагаемое Поэтому вначале решим задачу для частного случая, не конкретизируя вид атмосферных частиц и предполагая, что они полностью увлекаются потоками воздуха, т.е. для случая, когда в плотности тока можно пренебречь всеми слагаемыми по сравнению со слагаемым В этом приближении решения уравнения (1), влияющие на вариации атмосферного электрического поля, существенно зависят от структуры ветрового поля скоростей. Если, например, задана первоначальная концентрация аэрозолей, которая зависит только от вертикальной координаты, то однородный горизонтальный поток воздуха не повлияет на местное геоэлектрическое поле, поскольку такой поток не изменит первоначальной концентрации аэрозолей. Для возбуждения электрических возмущений необходимо, чтобы ветровой поток производил перемешивание заряженных частиц таким образом, чтобы часть из них уносилась вверх или опускалась вниз. Один из вариантов такого движения воздуха будет рассмотрен ниже.
Если скорость воздуха гораздо меньше скорости звука, то можно считать движение газа практически несжимаемым. Исключение составляют ударные волны, в которых происходит изменение плотности объемного заряда за счет сжатия воздуха. Электрические атмосферные возмущения, связанные со сжатием газа в ударной волне, обычно возникают при воздушных взрывах [Соловьёв, Сурков, 1994] и здесь рассматриваться не будут.
Будем считать течение воздуха двумерным и несжимаемым. Пренебрегаем также изменением плотности воздуха с высотой. Отсюда следует, что Введем декартову систему координат с началом на поверхности земли и вертикальной осью z. Векторы поля скоростей воздуха располагаются в вертикальной плоскости Тогда уравнение (1) преобразуется к виду:
(2)
Заметим, что учет экспоненциального уменьшения плотности воздуха с высотой приведет к появлению в уравнении (2) добавочного слагаемого ~nVz/Ha(Ha ≈ 8 км – высота однородной атмосферы), которое много меньше последнего слагаемого в уравнении (2) при условии, что n/Ha << ∆n/λ. Для указанных выше числовых значений параметров это условие выполняется. Поэтому добавочным слагаемым можно пренебречь.
В качестве примера рассмотрим вихревое двумерное движение воздуха, схематически показанное на рис. 1. Для этого предположим, что проекции вектора скорости воздуха описываются выражениями вида:
(3)
где и – заданные функции. Заметим, что компоненты скорости в форме (3) удовлетворяют уравнению Подставляя соотношения (3) в уравнение (2), получим:
(4)
Рассмотрим модельную задачу, в которой движение газа происходит в области где a и b – размеры сторон этой области. Вихревое движение воздуха в заданной области будем описывать с помощью функций и заданных следующим образом:
(5)
При таком задании движения “ось вращения” проходит через неподвижную точку с координатами т.е. через центр симметрии. Модуль скорости газа достигает максимальных значений на границах области движения. На верхней и нижней границах области движения, т.е. при и равна нулю вертикальная составляющая скорости а на боковых сторонах, т.е. при равна нулю горизонтальная составляющая Таким образом, нормальная составляющая плотности потока газа равна нулю на границах области, т.е. движение является замкнутым и не выходит за пределы данной области. Движение газа относительно “оси вращения”, перпендикулярной плоскости листа, может происходить как по, так и против часовой стрелки, в зависимости от вида функции
Рис. 1. Схематическое изображение модели и линий тока, описывающих циркуляцию воздуха.
Предположим, что в начальный момент времени известно равновесное распределение атмосферных частиц по высоте а скорость газа всюду равна нулю, т.е. В Приложении получено общее решение дифференциального уравнения (4) для данной краевой задачи, которое имеет вид: где функция определяется неявным уравнением (П7). Решение этого уравнения зависит от вида функции Рассмотрим, например, зависимость от времени вида:
(6)
где константа равна по порядку величины амплитуде скорости воздуха; T – период. Из формулы (6) следует, что одну половину периода происходит движение воздуха по часовой стрелке, а вторую половину периода – против часовой стрелки. Уравнение (П7) для этого случая принимает следующий вид:
(7)
где – безразмерный параметр.
Вначале рассмотрим случай, когда параметр Тогда интеграл в левой части соотношения (7) мал. Его можно оценить, подставляя в подынтегральную функцию и заменяя дифференциал разностью После упрощений из соотношения (7) можно найти
(8)
Предположим, что в начальный момент времени распределение аэрозолей по высоте имеет следующий вид:
(9)
где – концентрация аэрозолей на уровне земли; h – характерный масштаб распределения аэрозолей по высоте. Подставляя в это распределение вместо z, получаем приближенное решение задачи при
(10)
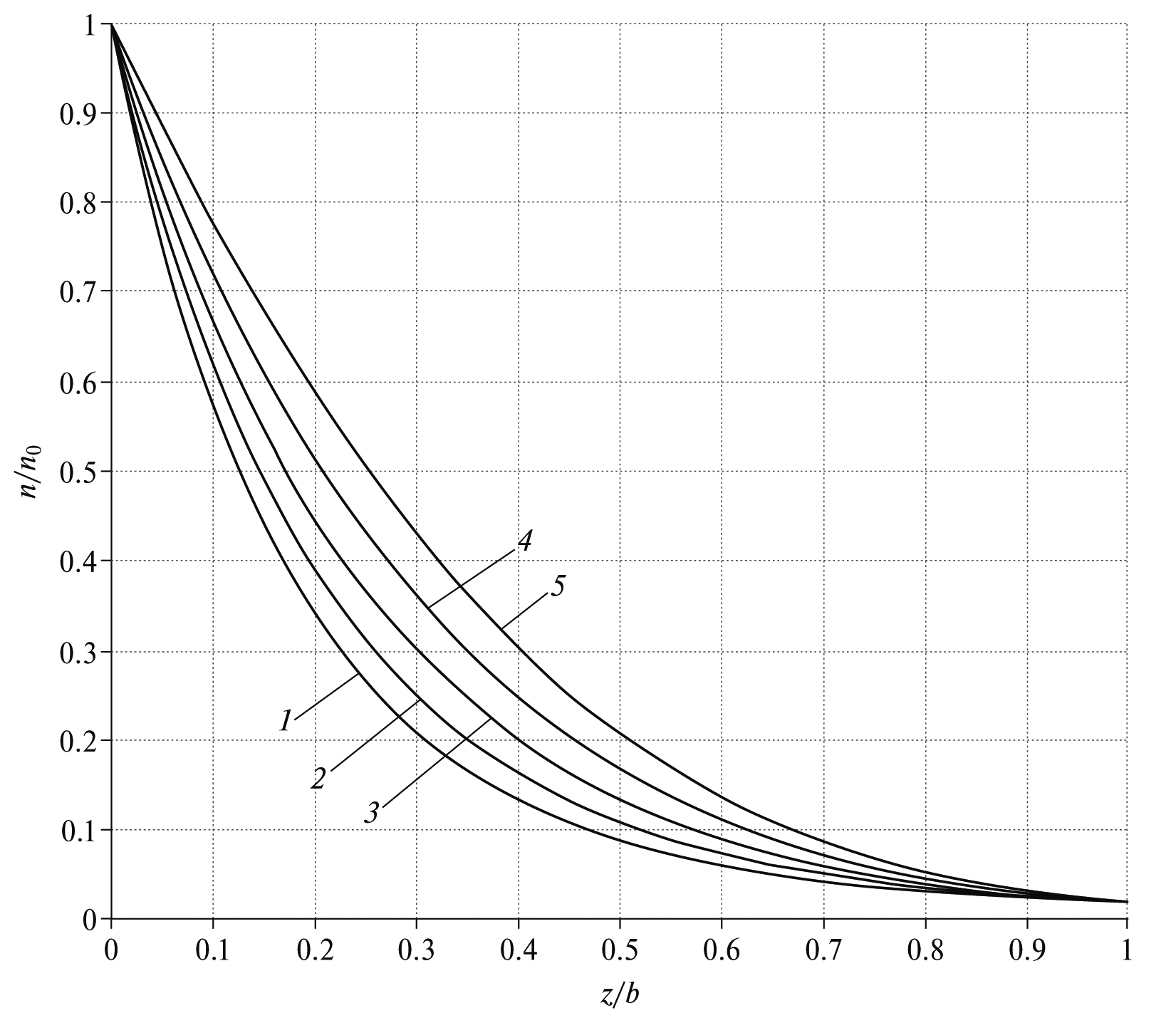
Для иллюстрации полученных закономерностей проведем численные расчеты при следующих значениях параметров: м/с, мин, км, км и м. Для этих значений параметров находим, что т.е. указанное выше ограничение приблизительно выполняется. На рис. 2 показана безразмерная зависимость концентрации атмосферных частиц от высоты для различных значений x в момент времени мин, когда скорость становится равной нулю, а направление движения газа меняется на противоположное. Из решения (10) следует, что в этот момент времени отклонение концентрации частиц от первоначального значения достигает максимального значения. Невозмущенное высотное распределение концентрации, отвечающее значению показано линией 3. Из рис. 2 видно, что при отрицательных значениях x (линии 1 и 2) распределение концентрации уменьшилось, а при положительных (линии 4 и 5) – увеличилось. Это связано с тем, что в предшествующие моменты времени воздушные потоки были направлены сверху вниз при и снизу вверх при как это схематически показано на рис. 1. Следовательно, вблизи земли при воздушные массы с большим содержанием частиц замещаются опускающимися вниз воздушными массами с более низким содержанием частиц, а при – наоборот, т.е. вверх поднимается воздух с бóльшим значением концентрации.
Рис. 2. Расчеты распределения концентрации атмосферных частиц по высоте для момента времени в случае малых Кривым 1–5 отвечают значения горизонтальных координат 0, и соответственно.
Отметим также, что наибольшие относительные изменения концентрации частиц происходят на высотах примерно от до В крайних положениях при и на высотах около относительные вариации концентрации достигают
ВОЗМУЩЕНИЯ ПРИЗЕМНОГО ЭЛЕКТРИЧЕСКОГО ПОЛЯ
Перемещение заряженных аэрозолей, легких и тяжелых ионов и других атмосферных заряженных частиц приводит к изменению плотности объемного электрического заряда в атмосфере и возмущениям местного электрического поля Земли. В рамках рассматриваемой модели все атмосферные частицы движутся вместе с одинаковыми скоростями. Поэтому полученные выше решения для концентрации применимы для всех частиц, но со своими параметрами начального распределения частиц по высоте. Невозмущенное электрическое поле всех атмосферных частиц определяется уравнением Максвелла:
(11)
где: – проекция атмосферного электрического поля на ось z; индекс i нумерует тип заряженных частиц; – заряд каждой из частиц; – электрическая постоянная. Предположим, что невозмущенные распределения частиц по высоте описываются соотношениями вида (9). Подставляя в формулу (11) эти соотношения для каждого типа частиц и интегрируя по z, находим суммарное поле атмосферных зарядов. Добавляя к ним поле зарядов, индуцированных в проводящей земле, получаем невозмущенное вертикальное электрическое поле в атмосфере:
(12)
Здесь – невозмущенное вертикальное поле на поверхности земли, создаваемое всеми зарядами.
Вначале исследуем электрическое поле, вызываемое движением частиц i-го сорта. Проекции вектора возмущения электрического поля, создаваемого этими частицами и их электрическими изображениями в проводящей земле, имеют вид:
(13)
Здесь и обозначают функции Грина исходной задачи:
(14)
Для случая малых возмущений величину можно найти с помощью приближенных соотношений (9) и (10) для невозмущенной и возмущенной концентраций частиц соответственно. В приземном атмосферном слое, включая электродный слой, обычно преобладают положительно заряженные легкие и тяжелые ионы, концентрация которых примерно на 10% больше концентрации отрицательно заряженных ионов [Тверской, 1962]. Рассмотрим один тип таких ионов с зарядом и начальной концентрацией которая описываются соотношением вида (9). Тогда в случае малых получаем, что
(15)
Подставляя это выражение в формулу (13), получаем соотношения, необходимые для расчета возмущений электрического поля, вызванных увлечением заряженных атмосферных частиц потоками воздуха.
На рис. 3 показано относительное изменение вертикального электрического поля в зависимости от высоты для некоторых фиксированных значений горизонтальной координаты x. Расчеты проводились по формулам (13)–(15) при указанных выше числовых значениях параметров и момента времени когда скорость ветра обращается в нуль, а относительные изменения концентрации частиц в каждой точке имеют максимальные по модулю значения.
Рис. 3. Расчеты распределения по высоте возмущения вертикальной проекции атмосферного электрического поля, создаваемого положительно заряженными атмосферными частицами сорта i для момента времени в случае малых Кривым 1–5 отвечают горизонтальные координаты: 0, и соответственно.
Из рис. 3 видно, что наибольшие по модулю изменения электрического поля, достигающие происходят вблизи поверхности земли в окрестностях крайних точек где преобладает вертикальное движение газа. При отрицательных x (кривые 1 и 2) приращение поля вблизи земли имеет положительный знак. Это означает, что возмущенное поле уменьшится по модулю, поскольку невозмущенное поле При положительных x (кривые 4 и 5), наоборот, модуль электрического поля увеличится. Как и прежде, этот результат можно объяснить направлением циркуляции воздуха, схематически показанным на рис. 1. За рассматриваемый промежуток времени концентрация частиц вблизи земли при уменьшится, а при – увеличится (см рис. 2). Следовательно, электрическое поле при отрицательных x должно уменьшиться по модулю, а при положительных x увеличиться.
Заметим, что для высот эта ситуация меняется на противоположную. При отрицательных x модуль электрического поля увеличивается, а при положительных x – уменьшается. Этот эффект также объясняется изменениями концентрации заряженных частиц, показанными на рис. 2.
На рис. 4 изображены изменения вертикального электрического поля вдоль горизонтальной оси x на разных высотах. Видно, что наибольшие изменения электрического поля происходят вблизи боковых границ Так, например, на поверхности земли (линия 1 на рис. 4) максимальное значение достигается при
Рис. 4. Расчеты горизонтального распределения возмущения вертикальной проекции атмосферного электрического поля, создаваемого положительно заряженными атмосферными частицами сорта i для момента времени в случае малых Кривым 1–3 отвечают фиксированные значения высот и b соответственно.
Таким образом, из рис. 3 и рис. 4 видно, что при электрические возмущения максимальны в тех областях земной поверхности, над которыми преобладают нисходящие и восходящие потоки воздуха, т.е. вблизи боковых границ области циркуляции воздуха. В центре симметрии воздушного течения возмущения электрического поля минимальны. Этот вывод относится к электрическим возмущениям, создаваемым каждым видом рассматриваемых заряженных частиц. Здесь следует отметить два обстоятельства, влияющих на суммарное электрическое поле, создаваемое всеми движущимися атмосферными частицами. Во-первых, все малые частицы одинаково увлекаются воздушными потоками, по крайней мере, при тех значениях параметров, которые рассматривались выше. Во-вторых, объемный заряд в нижнем атмосферном слое чаще всего положителен, т.е. преобладают частицы с зарядом определенного знака. В этом случае отмеченные выше закономерности относятся и к суммарному электрическому возмущению.
СЛУЧАЙ СИЛЬНЫХ ВАРИАЦИЙ КОНЦЕНТРАЦИИ ЧАСТИЦ И ЭЛЕКТРИЧЕСКОГО ПОЛЯ
Если характерный период вариаций воздушного потока T или амплитуда скорости воздушного потока гораздо больше использованных выше числовых значений этих величин, то параметр определяющий интенсивность ветрового воздействия, перестает быть малым и приведенное выше приближенное решение (8) для функции уже не применимо.
Предыдущий анализ показал, что возмущения электрического поля максимальны вблизи боковых границ возмущенной области и, в частности, вблизи точек с абсциссами Для этих крайних значений x можно получить явную зависимость от координат. После подстановки в уравнение (7) интеграл в этом уравнении упрощается и его можно взять. Тогда после ряда преобразований получаем следующее явное выражение для
(16)
где знак плюс отвечает а знак минус отвечает Заметим, что в рассмотренном выше предельном случае малых приближенная формула (8) при совпадает с точной формулой (16).
Вначале рассмотрим, как и ранее, один тип заряженных атмосферных частиц с номером i. Подставляя соотношение (16) для в формулу (9), получим точное решение для распределения концентрации по высоте при которое применимо для произвольных, но физически допустимых значений
(17)
Для иллюстрации этой зависимости проведем численные расчеты при м/с и ч и прежних числовых значениях остальных параметров. Этому случаю отвечает значение На рис. 5 показана рассчитанная по формуле (17) зависимость концентрации частиц от высоты в различные моменты времени. Линией 1 показана невозмущенная концентрация при Графики, обозначенные цифрами 2 и 3, построены для и моментов времени и соответственно. Графики, показанные пунктирными линиями и обозначенные цифрами и построены для и тех же моментов времени.
Рис. 5. Расчеты распределения концентрации атмосферных частиц сорта i по высоте при для случая, когда параметр не мал. График 1 построен для момента времени графики 2 и 2′ для графики 3 и 3′ для Сплошные линии 2, 3 и пунктирные линии 2′, 3′ отвечают значениям и соответственно.
Заметим, что амплитуда и период ветрового воздействия входят только в параметр в показателе экспоненты (16). Этот параметр пропорционален произведению Поэтому изменения и T, оставляющие этот параметр постоянным, приводят к одинаковым зависимостям. Например, графики на рис. 5 сохранят прежний вид, если взяты значения м/с и ч.
Относительные изменения концентрации атмосферных частиц на этих графиках гораздо более существенные по сравнению с рис. 2. Например, в интервале высот примерно от до концентрация частиц в момент времени (линия 3) меньше первоначальной концентрации (линия 1) практически на порядок, а в интервале высот от примерно до наоборот, – на порядок больше (линии 1 и 3′).
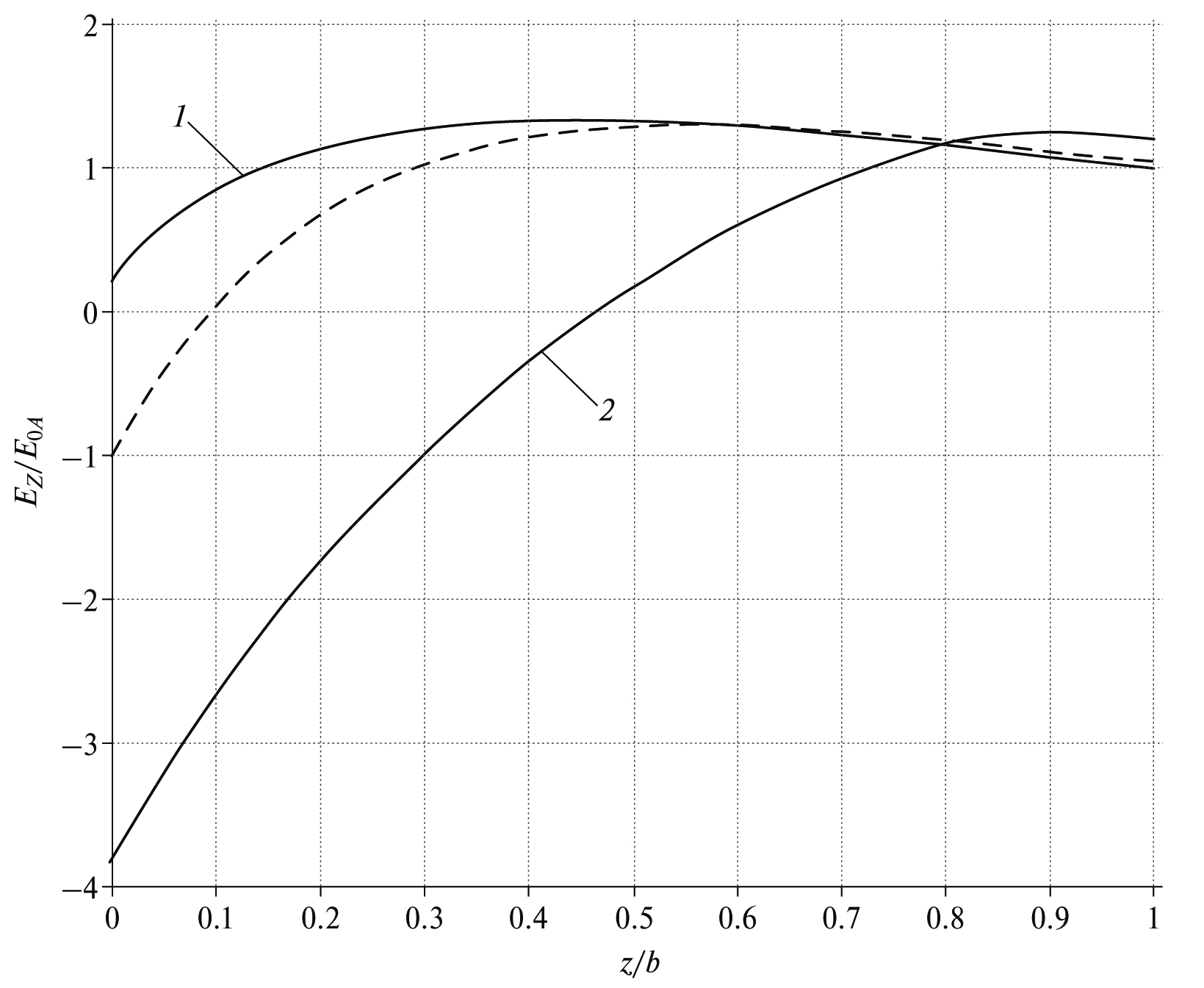
Подставляя формулы (16) и (17) в соотношения (13), находим электрические возмущения в точках с координатами Рисунок 6 иллюстрирует результаты расчетов вертикальной проекции электрического поля как функции высоты при тех же значениях параметров в момент времени В точке где воздушный поток был направлен сверху вниз, модуль на поверхности земли уменьшился примерно на 40%, а в точке вертикальная проекция поля, оставаясь отрицательной величиной, увеличилась по модулю примерно на 80%. Таким образом, увеличение параметра т.е. времени воздействия и скорости воздушного потока могут приводить к существенному росту возмущений, сравнимому по величине с невозмущенным электрическим полем в приземном слое атмосферы.
Рис. 6. Расчеты распределения по высоте вертикальной проекции атмосферного электрического поля, создаваемого положительно заряженными атмосферными частицами i-го типа для момента времени и случая, когда параметр не мал. Кривым 1 и 2 отвечают значения и соответственно. Пунктирная линия соответствует невозмущенному электрическому полю, создаваемому этими частицами при
В заключение рассмотрим случай, когда изменения электрического атмосферного поля могут достигать аномально большой величины, вплоть до изменения знака вертикальной составляющей поля. Для этого предположим, что электрическое поле в нижней атмосфере создается, главным образом, двумя видами заряженных атмосферных частиц, начальные высотные распределения которых имеют вид:
(18)
где и – концентрации частиц у поверхности земли; и – характерные вертикальные масштабы убывания концентрации частиц с высотой. Предположим, что частицы первого вида имеют положительные заряды а частицы второго вида имеют отрицательные заряды Тогда уравнение (11) для невозмущенного электрического поля всех частиц примет следующий вид:
(19)
Интегрирование этого уравнения при условии, что электрическое поле всех зарядов, включая заряды, индуцированные на поверхности земли, обращается в нуль при приводит к следующему результату:
(20)
где – невозмущенное вертикальное поле всех зарядов на поверхности земли, а При нормальных атмосферных условиях вертикальное электрическое поле на поверхности земли направлено вниз. Этому условию соответствует и
Возмущение вертикального электрического поля, вызванное движением заряженных частиц двух типов, запишем по аналогии с соотношением (13) в виде:
(21)
где функция определяется, как и прежде, неявным уравнением (8), а функция Грина определена в соотношении (14).
Амплитуда колебаний электрических возмущений максимальна вблизи боковых границ области Подставляя для этого случая соотношение (16) для функции в формулу (21), получим выражение, которое использовалось для дальнейших расчетов, показанных на рис. 7. Вычисления проводились для ветра с амплитудой скорости м/с и периодом ч и момента времени Параметры первоначального распределения частиц по высоте предполагались следующими: км и км. Кроме того, использовались прежние значения a и b, а также
Рис. 7. То же, что на рис. 6, но для случая, когда электрическое поле создается двумя видами противоположно заряженных атмосферных частиц.
Рисунок 7 иллюстрирует весьма существенные отклонения возмущенного атмосферного электрического поля от его первоначального высотного распределения, показанного на рисунке пунктирной линией. Для (линия 1) проекция поля даже меняет знак, а при (линия 2) поле на земле увеличивается по модулю почти в 4 раза. Очевидно, что максимальные изменения поля, достигаемые вблизи точек могут быть еще больше. Этот расчет подтверждает возможность изменения знака вертикальной проекции электрического поля, которое наблюдалось перед некоторыми землетрясениями [Руленко и др., 1992; Михайлов и др., 2002].
Резюмируя все приведенные выше результаты отметим, что исследованная модель позволяет, по крайней мере, качественно объяснить появление аномально больших изменений приземного электрического поля, которые были измерены в некоторых сейсмически активных регионах перед землетрясениями.
ОБСУЖДЕНИЕ И ЗАКЛЮЧЕНИЕ
Полученные выше оценки показали, что при ветре со скоростями, превышающими 1 мм/с, большинство легких атмосферных частиц, включая аэрозоли, легкие и тяжелые ионы и т.п., увлекаются воздушными потоками. Плотность потока атмосферных частиц, связанная с движением воздуха, преобладает над потоками, обусловленными действием на частицы электрических полей, силы тяжести и диффузии. Это означает, что даже при слабом ветре фактор увлечения атмосферных частиц может существенным образом изменить пространственное распределение частиц и объемного заряда в приземном атмосферном слое.
В исследуемой модели воздух циркулирует в вертикальных плоскостях, осуществляя обмен заряженными частицами между нижним и верхним приземными атмосферными слоями. Такая циркуляция может, например, возникнуть из-за развития конвективной неустойчивости воздуха вследствие локального парникового эффекта, предположительно связанного с дегазацией оптически активных газов или подъемом к поверхности нагретых термальных вод перед землетрясениями.
Для того, чтобы проиллюстрировать этот эффект, в работе использовалось модельное описание циркуляции ветрового поля в таком виде, который позволил получить аналитическое решение задачи о возмущениях концентрации частиц и атмосферного электрического поля. Это решение может быть применено как к отдельным атмосферным частицам определенного сорта, так и к совокупности всех частиц. Анализ показал, что амплитуда возмущений зависит, в основном, от безразмерного параметра который пропорционален отношению максимальной длины траектории проходимой заряженными частицами за характерное время T воздействия ветра, к некоторому “среднему” размеру области циркуляции ветра. Если то, как показывают расчеты, относительные возмущения атмосферного электрического поля могут достигнуть десятков и даже сотен процентов. На поверхности земли возмущения максимальны вблизи мест, где воздух поднимается вверх или опускается вниз. Интересно, что неравенство может выполняться для слабого ветра со скоростью 1 м/с и даже ниже, т.е. для условий хорошей погоды, когда производились наблюдения аномально больших возмущений атмосферного электрического поля.
При выводе основных соотношений не учитывались потоки, связанные с дрейфом частиц в гравитационном и электрическом полях, а также с турбулентной диффузией. Несмотря на то, что эти потоки малы по сравнению с ветровым потоком их влияние на распределение зарядов может быть заметным на больших временны́х масштабах. В частности, электрический дрейф легких ионов, обладающих наибольшей подвижностью, способствует релаксации объемных зарядов и уменьшению электрических полей. Таким образом, выведенные выше формулы и расчеты следует рассматривать как верхние оценки ожидаемым электрическим возмущениям.
Для иллюстрации больших аномалий со сменой направления поля, рассматривалась модель, в которой в нижнем приземном слое преобладали положительно заряженные частицы, а в верхнем слое был избыток отрицательно заряженных частиц. Расчеты для этого случая показали, что слабое, но продолжительное ветровое воздействие приводит к обмену зарядами между нижним и верхним слоями, в результате которого в области с нисходящим воздушным потоком атмосферное поле может изменить направление. Такой эффект наблюдался в некоторых районах перед сейсмическими событиями.
В заключение отметим, что вид функций и использованных в модели ветра, не столь существен, поскольку главная цель исследования заключалась в том, чтобы получить аналитические оценки амплитуды электрических возмущений, вызываемых движением заряженных атмосферных частиц в воздушных потоках. Эти оценки и модельные расчеты показали, что вертикальная циркуляция воздуха позволяет объяснить, почему наблюдаемые на земле локальные вариации атмосферного электрического поля могут иметь столь большие значения в условиях хорошей погоды. Этот эффект может играть существенную роль в образовании предсейсмических аномалий в атмосферном электрическом поле и его следует учитывать наряду с другими возможными механизмами данного явления. Однако механизм генерации воздушных потоков и его связь с процессами подготовки землетрясения требуют дополнительных исследований.
ФИНАНСИРОВАНИЕ РАБОТЫ
Работа поддержана грантом РНФ 22-17-00125.
ПРИЛОЖЕНИЕ
Уравнения характеристик для дифференциального уравнения (4) выглядят так:
(П1)
Преобразуя уравнения (П1), получаем:
(П2)
Интегрируя первое из этих соотношений, получаем первый интеграл движения:
(П3)
Константу найдем, подставляя функции (5) в соотношение (П3). Из полученного выражения выразим x и подставим его во второе соотношение в формуле (П2). Разделяя в полученном уравнении переменные z и t и интегрируя по этим переменным, получаем второй интеграл движения:
(П4)
где знак плюс берется, если а знак минус, если
Общее решение уравнения (4) запишется так: где F – произвольная дифференцируемая функция. Найдем конкретный вид этой функции. Подставляя в формулу (П4) функцию из соотношений (5), получаем
(П5)
Это соотношение выполняется при любых допустимых значениях переменных задачи и, в частности, при Подставляя в это соотношение получим уравнение, задающее неявную зависимость z от констант и
(П6)
Пусть является решением этого уравнения. Подставляя это решение в начальное распределение частиц по высоте, получим зависимость которая определяет вид функции т.е. ее зависимость от аргументов и
Комбинируя соотношения (П3), (П5) и (П6) для и получаем неявную зависимость в следующем виде:
(П7)
About the authors
V. V. Surkov
Schmidt Institute of Physics of the Earth, Russian Academy of Sciences; Pushkov Institute of Terrestrial Magnetism, Ionosphere and Radio Wave Propagation, Russian Academy of Sciences
Author for correspondence.
Email: surkovvadim@yandex.ru
Russian Federation, Moscow; Troitsk, Moscow
References
- Бузевич А.В., Дружин Г.И., Фирстов П.П., Вершинин Е.Ф., Смирнов С.Э., Филимонов В.И. Геофизические эффекты, предваряющие Кроноцкое землетрясение 5 декабря 1997 г. М = 7.7. Кроноцкое землетрясение на Камчатке 5 декабря 1997 г. Предвестники, особенности, последствия. Петропавловск-Камчатский: изд-во Камчатской Госакадемии рыбопромыслового флота. 1998. С. 177–188.
- Голицын Г.С. Методические основы теории турбулентности и морского волнения // Изв. РАН. ФАО. 2001. Т. 37. № 4. С. 438–445.
- Гохберг М.Б., Некрасов А.К., Шалимов С.Л. О влиянии нестабильного выхода парниковых газов в сейсмически активном регионе на ионосферу // Физика Земли. 1996. № 8. С. 52–55.
- Кожухов С.А., Соловьев С.П. Определение коэффициента турбулентной диффузии продуктов взрыва и пыли перед фронтальной границей всплывающего термика. Физические процессы в геосферах при сильных возмущениях: геофизика сильных возмущений. М.: ИДГ РАН. 1996. С. 314–320.
- Ландау Л.Д., Лифшиц Е.М. Гидродинамика. Теоретическая физика. Т. 6. 3-е изд., перераб. М.: Наука. Гл. ред. физ-мат лит. 1986.
- Макаров Е.О., Фирстов П.П. Модель некоторых предвестников аномалий в поле подпочвенного радона землетрясений с M ≥ 5.5 на полуострове Камчатка // Вестник КРАУНЦ. Физ.-мат. науки. 2018. № 4(24). С. 133–147. doi: 10.1854/2079-6641-2018-24-4-133-147
- Монин А.С. Атмосферная диффузия // УФН. 1959. Вып. 1. С. 119–130.
- Михайлов Ю.М., Михайлова Г.А., Капустина О.В., Депуева А.Х., Бузевич А.В., Дружин Г.И., Смирнов С.Э., Фирстов П.П. Вариации различных атмосферно-ионосферных параметров в периоды подготовки землетрясений на Камчатке: предварительные результаты // Геомагнетизм и аэрономия. 2002. Т. 42. № 6. С. 805–813.
- Михайлов Ю.М., Михайлова Г.А., Капустина О.В., Дружин Г.И., Смирнов С.Э. Электрические и электромагнитные процессы в приземной атмосфере перед землетрясениями на Камчатке // Геомагнетизм и аэрономия. 2006. Т. 46. № 6. С. 839–852.
- Перцев Н.Н., Шалимов С.Л. Генерация атмосферных гравитационных волн в сейсмически активном регионе и их влияние на ионосферу // Геомагнетизм и аэрономия. 1996. Т. 36. № 2. С. 111–118.
- Руленко О.П., Иванов А.В., Шумейко А.В. Краткосрочный атмосферно-электрический предвестник камчатского землетрясения 6 III 1992, М = 6.1 // Докл. РАН. 1992. Т. 326. № 6. С. 980–982.
- Руленко О.П. Оперативные предвестники землетрясений в электричестве приземной атмосферы // Вулканология и сейсмология. 2000. № 4. С. 57–68.
- Руленко О.П., Марапулец Ю.В., Кузьмин Ю.Д., Солодчук А.А. Совместное возмущение геоакустической эмиссии, радона, торона и атмосферного электрического поля по данным наблюдений на Камчатке // Физика Земли. 2019. № 5. С. 76–81. https://doi.org/10.31857/S0002-33372019576-86
- Соловьёв С.П., Сурков В.В. Электрические возмущения в приземном слое атмосферы, обусловленные воздушной ударной волной // Физика горения и взрыва. 1994. Т. 30. № 1. С. 117–121.
- Сурков В.В. Электромагнитные эффекты при землетрясениях и взрывах. М.: МИФИ. 2000. 448 с.
- Сурков В.В., Пилипенко В.А., Силина А.С. Могут ли радиоактивные эманации в сейсмоактивном районе воздействовать на атмосферное электричество и ионосферу? // Физика Земли. 2022. № 3. С. 3–11. doi: 10.31857/S0002333722030097
- Тверской П.Н. Курс метеорологии (физика атмосферы). Л.: Гидрометеоиздат. 1962. 700 с.
- Astafyeva E. Ionospheric detection of natural hazards // Reviews of Geophysics. 2019. V. 57. P. 1265–1288. https://doi.org/10.1029/2019RG000668
- Choudhury A., Guha A., Kumar De B., Roy R. A statistical study on precursory effects of earthquakes observed through the atmospheric vertical electric field in northeast India // Annals of Geophysics. 2013. V. 56. № 3. P. 331–340.
- Cigolini C., Laiolo M., Coppola D. The LVD signals during the early-mid stages of the L’Aquila seismic sequence and the radon signature of some aftershocks of moderate magnitude // J. Environ. Radioactivity. 2015. V. 139. P. 56–65. https://doi.org/10.1016/j.jenvrad.2014.09.017
- Genzano N., Aliano C., Corrado R., Filizzola C., Lisi M., Mazzeo G., Paciello R., Pergola N., Tramutoli V. RST analysis of MSG-SEVIRI TIR radiances at the time of the Abruzzo 6 April 2009 earthquake // Nat. Hazards Earth Syst. Sci. 2009. V. 9. P. 2073–2084.
- Giuliani G., Fiorani A. L’Aquila 2009 la mia verità sul terremoto, Castelvecchi Editore. Rome. 2009.
- Gokhberg M.B., Nekrasov A.K., Shalimov S.L. A new approach to the problem of the lithosphere-ionosphere coupling before the earthquakes / Hayakawa M., Fujinawa Y. (eds.) Electromagnetic phenomena related to earthquake prediction. Terra Sci. Publ. Co. Tokyo. 1994. P. 619–625.
- Hao J., Tang T., Li D. Progress in the research on atmospheric electric field anomaly as an index for short-impending prediction of earthquakes // J. Earthq. Predict. Res. 2000. V. 8. P. 241–255.
- Harrison R.G., Aplin K.L., Rycroft M.J. Atmospheric electricity coupling between earthquake regions and the ionosphere // J. Atmos. Sol.-Terr. Phys. 2010. V. 72. P. 376–381.
- Harrison R.G., Aplin K.L., Rycroft M.J. Earthquake-cloud coupling through the global atmospheric electric circuit // Nat. Hazards Earth Syst. Sci. Discuss. 2013. V. 1. P. 7271–7283. doi: 10.5194/nhessd-1-7271-2013
- Heki K., Enomoto Y. Preseismic ionospheric electron enhancements revisited // J. Geophys. Res. 2013. V. 118. P. 6618–6626. doi: 10.1002/jgra.50578
- Inan S., Akgül T., Seyis C., Saatçılar R., Baykut S., Ergintav S., Bas M. Geochemical monitoring in the Marmara region (NW Turkey): a search for precursors of seismic activity // J. Geophys. Res. 2008. V. 113. B03401. doi: 10.1029/2007JB005206
- Jin S., Occhipinti G., Jin R. GNSS ionospheric seismology: Recent observation evidences and characteristics // Earth-Sci. Rev. V. 2015. V. 147. P. 54–64.
- https://doi.org/10.1016/j.earscirev.2015.05.003
- Kachakhidze N., Kachakhidze M., Kereselidze Z., Ramishvili G. Specific variations of the atmospheric electric field potential gradient as a possible precursor of Caucasus earthquakes // Nat. Hazards Earth Syst. Sci. 2009. V. 9. P. 1221–1226.
- Klimenko M.V., Klimenko V.V., Zakharenkova I.E., Pulinets S.A., Zhao B., Tsidilina M.N. Formation mechanism of great positive TEC disturbances prior to Wenchuan earthquake on May 12, 2008 // J. Adv. Space Res. 2011. V. 48. № 3. P. 488–499. https://doi.org/10.1016/j.asr.2011.03.040
- Marapulets Y., Rulenko O. Joint anomalies of high-frequency geoacoustic emission and atmospheric electric field by the ground – atmosphere boundary in a seismically active region (Kamchatka) // Atmosphere. 2019. V. 10. P. 267. doi: 10.3390/atmos10050267
- Mareev E.A., Iudin D.I., Molchanov O.A. Mosaic source of internal gravity waves associated with seismic activity / Hayakawa M. (ed.). Seismo-Electromagnetics (Lithosphere-Atmosphere-Ionosphere Coupling). Tokyo: TERRAPUB. 2002. P. 335–342.
- Reist P.C. Aerosol science and technology. McGraw-Hill. New York. 1993.
- Rulenko O.P. Immediate earthquake precursors in near-ground atmospheric electricity // J. Volcanol. Seismol. 2001. V. 22. P. 435–451.
- Silva H.G., Bezzeghoud M., Reis A.H., Rosa R.N., Tlemçani M., Araújo A.A., Serrano C., Borges J.F., Caldeira B., Biagi P.F. Atmospheric electrical field decrease during the M = 4.1 Sousel earthquake (Portugal) // Nat. Hazards Earth Syst. Sci. 2011. V. 11 P. 987–991.
- Surkov V.V., Pokhotelov O.A., Parrot M., Hayakawa M. On the origin of stable IR anomalies detected by satellite above seismo-active regions // Physics and Chemistry of the Earth. 2006. V. 31. № 4–9. P. 164–171.
- Surkov V., Hayakawa M. Ultra and Extremely Low Frequency Electromagnetic Fields. Springer Geophysics Series. V. XVI. Springer. 2014. 486 pp. doi: 10.1007/978-4-431-54367-1
- Surkov V.V. Pre-seismic variations of atmospheric radon activity as a possible reason for abnormal atmospheric effects // Ann. Geophys. 2015. V. 58. № 5. A0554. doi: 10.4401/ag-6808
- Tramutoli V., Bello D., Pergola G.N., Piscitelli S. Robust satellite technique for remote sensing of seismically active areas // Ann. Di Geofisica. 2001. V. 44. P. 295–312.
- Tronin A.A. Satellite thermal survey application for earthquake prediction / Hayakawa M. (ed.). Atmospheric and ionospheric Electromagnetic Phenomena associated with Earthquakes. TERRAPUB. Tokyo. 1999. P. 357–370.
- Virk H.S., Singh B. Radon recording of Uttarkashi earthquake // Geophys. Res. Lett. 1994. V. 21. P. 737–742.
- Yasuoka Y., Kawada Y., Nagahama H., Omori Y., Ishikawa T., Tokonami S., Shinogi M. Pre-seismic changes in atmospheric radon concentration and crustal strain // Phys. Chem. Earth. 2009. V. 34. P. 431–434.
Supplementary files









