The Influence of Materials Structure on the Main Features of the Fracture Process in Rocks: Discrete Elements Method and Laboratory Experiment
- Authors: Hilarov V.L.1, Damaskinskaya E.E.1, Gesin I.D.2
-
Affiliations:
- Ioffe Institute
- Peter the Great St. Petersburg Polytechnic University
- Issue: No 3 (2023)
- Pages: 158-167
- Section: Articles
- URL: https://ogarev-online.ru/0002-3337/article/view/139034
- DOI: https://doi.org/10.31857/S0002333723030031
- EDN: https://elibrary.ru/JZNSMS
- ID: 139034
Cite item
Full Text
Abstract
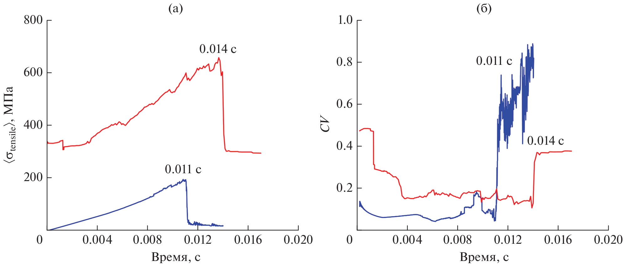
A computer model of fracture of the heterogeneous materials (including rocks) based on the Discrete Element Method (DEM) is proposed. We used the bonded particle model (BPM), various modifications of which are widely used in the study the fracture process. The material is modeled by a set of spherical particles (simulating polycrystalline grains) connected by bonds placed at the points of particle contacts (simulating grain boundaries). In BPM model, the initiation of cracks was determined by the bonds breakage, and their propagation is provided by the coalescence of many broken bonds. Computer experiments were carried out for the materials with different features (various grain mechanical properties and sizes, various mechanical properties of the grain boundaries), in order to find out the influence of these parameters on local stresses and the defect formation. Calculations were held in the MUSEN software. Cylindrical samples were filled with spherical particles of the same or different radii. The parameters of materials for grains and bonds (grain boundaries) were taken corresponding to granite, quartz, orthoclase, oligoclase, and glass. The sample was placed in a virtual press, in which the lower plate was stationary, and the upper plate moved towards the lower one at a constant velocity until the sample was destroyed. The calculation of the maximum local stresses showed that the homogeneity of material leads to greater space heterogeneity of local stresses and vice versa, heterogeneity contributes to their greater uniformity. Comparison with the results of laboratory experiments on rock deformation showed that the proposed model of polycrystalline materials realistically describes some features of their destruction when the main processes occur along the grain boundaries. These features include the brittle nature of homogeneous materials fracture and the presence of nonlinear elasticity (plasticity) for ones that were more heterogeneous. For heterogeneous materials, the model demonstrates a two-stage character of fracture process, when at the first stage the accumulation of defects occurs uniformly over the sample, and at the second stage – the formation and growth of the fracture site.
About the authors
V. L. Hilarov
Ioffe Institute
Author for correspondence.
Email: Vladimir.Hilarov@mail.ioffe.ru
194021 Russia, Saint Petersburg
E. E. Damaskinskaya
Ioffe Institute
Author for correspondence.
Email: Kat.Dama@mail.ioffe.ru
194021 Russia, Saint Petersburg
I. D. Gesin
Peter the Great St. Petersburg Polytechnic University
Email: Kat.Dama@mail.ioffe.ru
195251 Russia, Saint Petersburg
References
- Botvina L.R. Damage evolution on different scale levels // Izv. Phys. Solid Earth, 2011. V. 47. № 10. P. 859–872.
- Brown N.J. Discrete Element Modelling of Cementitious Materials. Ph.D. Thesis. Edinburgh: The University of Edinburgh. 2013. 247 p.
- Carpinteri A., Chiodoni A., Manuello A., Sandrone R. Compositional and microchemical evidence of piezonuclear fission reactions in rock specimens subjected to compression tests // Strain. 2011. V. 47. P. 282–292.
- Cundall P.A. A computer model for simulating progressive largescale movements in blocky rock systems. Proceedings of the Symposium of International Society of Rock Mechanics. Nancy: France. 1971. V. 1. Paper № II-8.
- Damaskinskaya E.E., Hilarov V.L., Nosov Yu.G., Podurets K.M., Kaloyan A.A., Korost D.V., Panteleev I.A. Defect structure formation in quartz single crystal at the early stages of deformation // Physics of the Solid State. 2022. V. 64. № 4. P. 439–445.
- Damaskinskaya E.E., Panteleev I.A., Gafurova D.R., Frolov D.I. Structure of a Deformed Inhomogeneous Material on the Data of Acoustic Emission and X-Ray Computer Microtomography // Phys. Solid State. 2018. V. 60. № 7. P. 1363–1367.
- Damaskinskaya E.E., Panteleev I.A., Korost D.V., Damaskinskii K.A. Structure-Energy Regularities of Accumulation of Damages during Deformation of a Heterogeneous Material // Phys. Solid State. 2021. V. 63. № 1. P. 101–106.
- Dosta M., Skorych V. MUSEN: An open-source framework for GPU-accelerated DEM simulations // SoftwareX. 2020. 12. 100618.
- Hamiel Y., Katz O., Lyakhovsky V., Reches Z., Fialko Yu. Stable and unstable damage evolution in rocks with implications to fracturing of granite // Geophys. J. Int. 2006. V. 167. P. 1005–1016.
- Hertz H. Über die Berührung fester elastischer Körper // Journal die reine und angewandte Mathematik. 1882. V. 92. P. 156–171.
- Krajcinovic D. Damage mechanics // Mech Mater. 1989. V. 8. P. 117–97.
- Kuksenko V., Tomilin N., Damaskinskaya E., and Lockner D. A two-stage model of fracture of rocks // Pure Appl. Geophys. 1996. V. 146. № 2. P. 253–263.
- Lei X. Evolution of b-Value and Fractal Dimension of Acoustic Emission Events During Shear Rupture of an Immature Fault in Granite // Applied Sciences. 2019. V. 9. № 12. P. 2498.
- Lisjak A., Grasselli G. A review of discrete modeling techniques for fracturing processes in discontinuous rock masses // J. Rock Mechanics and Geotechnical Engineering. 2014. V. 6. № 4. P. 301–314.
- Lockner D.A., Byerlee J.D., Kuksenko V., Ponomarev A., Sidorin A. Quasi-static fault growth and shear fracture energy in granite // Nature. 1991. V. 350. P. 39–42.
- Naimark O.B. Collective Properties of Defects Ensemble and Some Nonlinear Problems of Plasticity and Failure // Phys. Mesomech. J. 2003. V. 4. № 4. P. 45–72
- Panteleev I.A., Plekhov O.A., Naimark O.B. Nonlinear dynamics of the blow-up structures in the ensembles of defects as a mechanism of formation of earthquake sources // Izv. Phys. Solid Earth. 2012. V. 48. P. 504–515.
- Petružálek M., Vilhelm J., Rudajev V., Lokajíček T., Svitek T. Determination of the anisotropy of elastic waves monitored by a sparse sensor network // Int. J. Rock Mech. Min. Sci. 2013. V. 60. P. 208–216.
- Ponomarev A.V., Zavyalov A.D., Smirnov V.B., Lockner D.A. Physical modeling of the formation and evolution of seismically active fault zones // Tectonophysics. 1997. V. 277. P. 57–81.
- Potyondy D.O., Cundall P.A. A bonded-particle model for rock // Int. J. Rock Mech. Min. Sci. 2004. V. 41. P. 1329–1364.
- Rapaport D.C. The Art of Molecular Dynamics Simulation. Cambridge University Press: Cambridge. 1995. 549 p.
- Smirnov V.B., Ponomarev A.V., Benard P., Patonin A.V. Regularities in transient modes in the seismic process according to the laboratory and natural modeling // Izv. Phys. Solid Earth. 2010. V. 46. P. 104–135.
- Tal Y., Goebel T., Avouac J.-P. Experimental and modeling study of the effect of fault roughness on dynamic frictional sliding // Earth and Planetary Science Letters. 2020. V. 536. P. 116133.
- Tsuji Y., Tanaka T., Ishida T. Lagrangian numerical simulation of plug flow of cohesionless particles in horizontal pipe // Powder Technology. 1992. 71. P. 239–250.
- Xinglin L., Shengli M. Laboratory acoustic emission study for earthquake generation Process // Earthq Sci. 2014. V. 27. 6. P 627–646.
Supplementary files










