Modeling the Composition of the Earth’s Liquid Outer Core
- Authors: Anisichkin V.F.1
-
Affiliations:
- Lavrentyev Institute of Hydrodynamics, Siberian Branch, Russian Academy of Sciences
- Issue: No 2 (2023)
- Pages: 36-48
- Section: Articles
- URL: https://ogarev-online.ru/0002-3337/article/view/138999
- DOI: https://doi.org/10.31857/S0002333723020035
- EDN: https://elibrary.ru/LHHSXF
- ID: 138999
Cite item
Full Text
Abstract
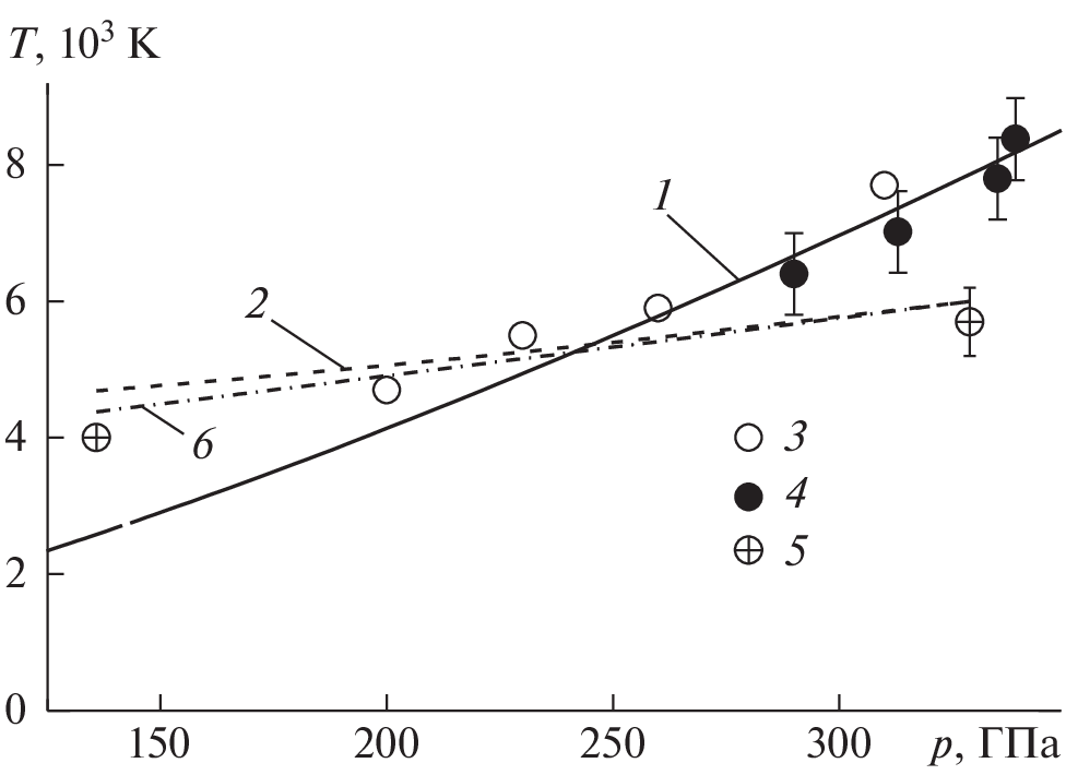
The paper suggests expressions, coherent with experimental data, for the calculation of the sound velocity and the temperature of a condensed medium under pressures in the Earth’s liquid outer core through parameters of the shock Hugoniot of the medium. Additives to the Earth’s liquid outer iron-nickel core were fitted so that the calculated pressure, density and sound wave velocity corresponded to geophysical values and the temperature did not exceed the admissible limits. It was established that the iron carbide Fe3C containing (4.0 ± 0.5) wt.% carbon with additives of FeS2 and SiC with a total content of Si and S up to 1.5 wt.% meets the required criteria as the main light additive in the upper layers of the Earth’s core. Less probable is the additive of carbon in the diamond phase up to 0.5 wt.%. In the Earth’s outer core, at the boundary with the solid inner core, among the possible light additives are the iron carbide Fe3C with (3.5 ± 0.4) wt.% carbon or diamond phase carbon of (4.0 ± 0.5) wt.%. Additives at the bottom of the Earth’s liquid outer core, containing significant amounts of Si, S, are hardly probable. The content of H in the Earth’s liquid outer core can be significant at the minimum possible core temperatures. The content of O is insignificant.
About the authors
V. F. Anisichkin
Lavrentyev Institute of Hydrodynamics, Siberian Branch, Russian Academy of Sciences
Author for correspondence.
Email: avf@hydro.nsc.ru
630090 Russia, Novosibirsk
References
- Альтшулер Л.В., Кормер С.Б., Бражник С.Б., Владимиров Л.А., Сперанская М.П., Фунтиков А.И. Изэнтропическая сжимаемость алюминия, меди, свинца и железа при высоких давлениях // ЖЭТФ. 1960. Т. 38. Вып. 4. С. 1061–1073.
- Анисичкин В.Ф. Аномальная ударная сжимаемость и теплоемкость алмаза // Физика горения и взрыва. 1984. Т. 20. № 1. С. 77–79.
- Анисичкин В.Ф., Бордзиловский С.А., Караханов С.М., Половинкин В.Г., Титов В.М., Туркин А.И. Скорость звука за фронтом ударной волны в смесях железа с серой и кремнием // Физика горения и взрыва. 2009. Т. 45. № 1. С. 100–107.
- Анисичкин В.Ф. Взрываются ли планеты? // Физика горения и взрыва. 1997. Т. 33. № 1. С. 138–142.
- Анисичкин В.Ф. Обобщенные ударные адиабаты и нулевые изотермы элементов // Физика горения и взрыва. 1979. Т. 15. № 2. С. 152–157.
- Анисичкин В.Ф. Ударно-волновые данные как доказательство присутствия углерода в ядре и нижней мантии Земли // Физика горения и взрыва. 2000. Т. 36. № 4. С. 108–115.
- Анисичкин В.Ф. Уравнение состояния для расчета температуры материалов при обработке взрывом // Инженерно-физический журн. 2017. Т. 90. № 4. С. 1025–1035.
- Бажанова З.Г., Оганов А.Р., Джанола О. Системы Fe–C и Fe–H при давлениях внутреннего ядра Земли // Успехи физических наук. 2012. Т. 182. № 5. С. 521–530.
- Бажанова З.Г., Ройзен В.В., Оганов А.Р. Поведение системы Fe – S при высоких давления и состав ядра Земли // Успехи физических наук. 2017. Т. 187. № 10. С. 1105–1113.
- Жарков В.Н. Внутреннее строение Земли и планет. М.: Наука и образование. 2013. 416 с.
- Жимулев Е.И., Чепуров А.И., Сонин В.М., Похиленко Н.П. Миграция расплава железа через оливиновую матрицу в присутствии углерода при высоких p–T-параметрах (экспериментальные данные) // Докл. РАН. 2015. Т. 463. № 1. С. 72–74.
- Зельдович Я.Б., Райзер Ю.П. Физика ударных волн и высокотемпературных гидродинамических явлений. М.: Наука. 1963. 688 с.
- Копышев В.П. Термодинамическая модель плотной жидкости // ПМТФ. 1971. № 1. С. 119-122.
- Копышев В.П. Теория уравнений состояния. Саров: ФГУП “РФЯЦ-ВНИИЭФ”. 2009. 386 с.
- Кристенсен Р. Введение в механику композитов. Пер с англ. Бейля А.И. и Жмудя Н.П. М.: Мир. 1982. 334 с.
- Куропатенко В.Ф. Скорость звука в многокомпонентной смеси // Докл. РАН. 2012. Т. 446. № 4. С. 401–403.
- Литасов К.Д., Попов З.И., Гаврюшкин П.Н., Овчинников С.Г., Федоров А.С. Первопринципные расчеты уравнений состояния и относительной стабильности карбидов железа при давлениях ядра Земли // Геология и геофизика. 2015. Т. 56. № 1–2. С. 214–223.
- Литасов К.Д., Шацкий А.Ф. Современные представления о составе ядра Земли // Геология и геофизика. 2016. Т. 57. № 1. С. 31–62.
- Медведев А.Б. Широкодиапазонное многофазное уравнения состояния железа // Физика горения и взрыва. 2014. Т. 50. № 5. С. 91–108.
- Павловский М.Н. Ударное сжатие алмаза // Физика твердого тела. 1971. Вып. 3. С. 893–895.
- Сагатов Н.Е., Гаврюшкин П.Н., Инербаев Т.М., Литасов К.Д. Карбиды железа при p-T параметрах ядра Земли. Труды Всероссийского ежегодного семинара по экспериментальной минералогии, петрологии и геохимии. 2019. С. 37–39.
- Сагатова Д.Н., Гаврюшкин П.Н., Сагатов Н.Е., Медриш И.В., Литасов К.Д. Фазовые диаграммы гидридов железа при давлениях 100–400 ГПа и температурах 0–5000 K // Письма в ЖЭТФ. 2020. Т. 111. Вып. 3. С. 160–165.
- Титов В.М., Анисичкин В.Ф., Бордзиловский С.А., Караханов С.М., Туркин А.И. Измерение скорости звука за фронтом ударной волны в смесях железа с алмазом // Физика горения и взрыва. 2004. Т. 40. № 4. С. 117–130.
- Трунин Р.Ф. (ред.) Экспериментальные данные по ударно-волновому сжатию и адиабатическому расширению конденсированных веществ. Саров: РФЯЦ-ВНИИЭФ. 2006. 531 с.
- Фор Г. Основы изотопной геологии. Пер с англ. Горохова И.М., Шуколюкова Ю.А. М.: Мир. 1989. 590 с.
- Ahrens T.J., Holland K.G., Chen G.Q. Shock Temperatures and the Melting Point of Iron. Shock Compression of Condensed Matter -1997 / S.C. Schmidt et al. (eds.). NY AIP Press, Woodbury. 1998. P. 133 – 136.
- Ahrens T.J., Holland K.G., Chen G.Q. Phase diagram of iron, revised-core temperatures // Geophysical Research Letters. 2002. V. 29. № 7. P. 1150. . P. 54-1–54-4.https://doi.org/10.1029/2001gl014350
- Anderson W.W., Ahrens T.J. An equation of state for liquid iron and implications for the Earth’s core // Journal of Geophysical Research. 1994. V. 99. № B3. P. 4273–4284.
- Anzellini S., Dewaele A., Mezouar M., Loubeyre P., Morard G. Melting of iron at Earth’s inner core boundary based on fast X-ray diffraction // Science. 2013. V. 340(6131). P. 464–466.
- Badro J., Cote, A. S., Brodholt J. P. A seismologically consistent compositional model of Earth’s core. Proc. Nat. Acad. Sci. 2014. USA 111. P. 7542–7545.
- Brown J.M., McQueen R.G. Phase transitions, Grüneisen parameter, and elasticity for shocked iron between 77 GPa and 400 GPa // Journal of Geophysical Research. 1986. V. 91(B7). P. 7485–7491.
- Chen B., Lai X., Li J., Liu J., Zhao J., Bi W., Alp E.E., Hu M.Y., Xiao Y. Experimental constrains on the sound velocities of cementite Fe3C to core pressures // Earth and Planetary Science Letters. 2018. V. 494. P. 164–171.
- Dziewonski A.M., Anderson D.L. Preliminary reference Earth model // Physics of the Earth and Planetary Interiors. 1981. V. 25. Is. 4. P. 297–356.
- Eggert J.H., Hicks D.G., Celliers P.M., Bradley D.K., McWilliams R.S., Jeanloz R., MillerJ.E., Boehly T.R., Collins G.W. Melting temperature of diamond at ultrahigh pressure // Nature Physics. 2010. V. 6. P. 40–43.
- Helffrich G., Kaneshima S. Seismological Constraints on Core Composition from Fe-O-S Liquid Immiscibility // Science. 2004. V. 306. P. 2239–2242.
- Hirose K., Wood B., Vočadlo L. Light elements in the Earth’s core // Nature Reviews | Earth & Environment. 2021. V. 2. P. 645–658.
- Iizuka-Oku R, Yagi T, Gotou H, Okuchi T, Hattori T, Sano-Furukawa A. Hydrogenation of iron in the early stage of Earth’s evolution. Nat. Commun. 2017 Jan 13. 8:14096. https://doi.org/10.1038/ncomms14096
- Komabayashi T., Pesce G., Sinmyo R., Kawazoe T., Breton H., Shimoyama Y., Glazyrin K., Konopkova Z., Mezouar M. Phase relation in the system Fe-Ni-Si to 200 GPa and 3900 K and implications for Earth’s core // Earth and Planetary Science Leters. 2019. V. 512. P. 82–88.
- Li Y., Vočadlo L., Sun T., Brodholt J.P. The Earth’s core as a reservoir of water // Nat. Geosci. 2020. V. 13. P. 453–458.
- McWilliams R.S. Elastic and inelastic shock compression of diamond and other minerals. A dissertation submitted in partial satisfaction of the requirements for the degree of doctor of philosophy. University of California. Berkeley, 2008. 158 c.
- McWilliams R.S., Eggert J.H., Hicks D.G., Bradley D.K., Celliers P.M., Spaulding D.K., Boehly T.R., Collins G.W., Jeanloz R. Strength effects in diamond under shock compression from 0.1 to 1 TPa // Physical Review. 2010. V. B 81. P. 014111-1–014111-19.
- Nakajima Y., Imada S., Hirose K., Komabayashi T., Ozawa H., Tateno S.). Carbon-depleted outer core revealed by sound velocity measurements of liquid iron-carbon alloy // Nature Communications. 2015. V. 6. P. 8942. https://doi.org/10.1038/ncomms9942
- Nguyen J.H., Holmes N.C. Melting of iron at the physical conditions of the Earth’s core // Nature. 2004. V. 427. P. 339–342.
- Norton O.R. Rocks from Space: Meteorite and Meteorite Hunters. Mountain Press Publishing Company, Missoula, Montana. 1998. 447 c.
- Sakamaki T., Ohtani E., Fukui H., Kamada S., Takahashi S., Sakairi T., Takahata A., Sakai T., Tsutsui S., Ishikawa D., Shiraishi R., Seto Y., Tsuchiya T., Baron A.Q.R. Constraints on Earth’s inner core composition inferred from measurements of the sound velocity of hcp-iron in extreme conditions // Science Advances. 2016. V. 2(2). P. 1–6.
- Shigemori K., Sakaiya T., Asakura Y., Kondo T., Shimizu K., Kadono T., Hironaka Y., Azechi H. Sound velocity measurements by x-ray shadowgraph technique for melting phenomena at ultrahigh-pressure regime // Review of Scientific Instruments. 2012. V. 83. P. 10E529-1–10E529-3.
- Siebert J., Badro J., Antonangeli D., Ryerson F.J. Terrestrial accretion under oxidizing conditions // Science. 2013. V. 339. P. 1194–1197.
- Smith E.M., Shirey S.B., Nestola F., Bullock E.S., Wang J., Richardson S.H., Wang W. Large gem diamonds from metallic liquid in Earth’s deep mantle // Science. 2016. V. 354. Is. 6318. P. 1403–1405.
- Smith R.F., Fratanduono D.E., Braun D.G., Duffy T.S., Wicks J.K., Celliers P.M., Ali S.J., Fernandez-Panella A., Kraus R.G., Swift D.C., Collins G.W., Eggert J.H. Equation of state of iron under core conditions of large rocky exoplanets // Nature Astronomy. 2018. V. 2. P. 452–458.
- Tagawa S., Sakamoto N., Hirose K, Yokoo S., Hernlund J., Ohishi Y., Yurimoto H. Experimental evidence for hydrogen incorporation into Earth’s core. Nat Commun. 2021 May 11. V. 12(1). P. 2588. https://doi.org/10.1038/s41467-021-22035-0
- Umemoto K., Hirose K. Chemical compositions of the outer core examined by first principles calculations // Earth Planet. Sci. Lett. 2020. V. 531. P. 116009.
- Wang Z., Ma H., Fang S., Yang Z., Miao X., Chen L., Jia X. Synthesis and characterization of gem diamond single crystals in Fe-C system under high temperature and high pressure // Journal of Crystal Growth. 2020. V. 531. P. 125371.
- Xiaojun Hu, Yingwei Fei, Jing Yang, Yang Cai, Shijia Ye, Meilan Qi, Fusheng Liu, and Mingjian Zhan. Phase Stability and Thermal Equation of State of Iron Carbide Fe3C to 245 GPa // Geophysical Research Letters. 2019. P. 1–7. https://doi.org/10.1029/2019GL084545
- Yokoo S., Hirose K., Tagawa S., Morard G., Ohishi Y. Stratification in planetary cores by liquid immiscibility in Fe–S–H. Nat. Commun. 2022 Feb 3. V. 13(1). P. 644. https://doi.org/10.1038/s41467-022-28274-z
- Yoo C.S., Holmes N.C., Ross M., Webb D.J., Pike C. Shock Temperatures and Melting of Iron at Earth Core Conditions // Physical Review Letters. 1993. V. 70. № 25. P. 3931–3934.
- Young D.A., Cynn H., Söderlind P., Landa A. Zero-Kelvin Compression Isotherms of the Elements 1 ≤ Z ≤ 92 to 100 GPa // J. Physical and Chemical Reference Data. 2016. V. 45. № 4. P. 043101-1–043101-36.
- Zhang Y., Sekine T., Lin J.-F., He H., Liu F., Zhang M., Sato T., Zhu W., Yu Y. Shock compression and melting of an Fe-Ni-Si alloy: implications for the temperature profile of the Earth’s core and the heat flux across the core-mantle boundary // J. Geophysical Research Solid Earth. 2018. V. 123(2). P. 1314–1327.
Supplementary files








