Properties of Red Sea Pillow-Basalt Titanomagnetite at Different Distances from the Crust
- Authors: Tselebrovskiy A.N.1, Maksimochkin V.I.1, Tatarintsev A.A.1, Alekhina Y.A.1, Grachev R.A.1
-
Affiliations:
- Lomonosov Moscow State University, faculty of physics
- Issue: No 1 (2023)
- Pages: 81-94
- Section: Articles
- URL: https://ogarev-online.ru/0002-3337/article/view/138994
- DOI: https://doi.org/10.31857/S0002333723010088
- EDN: https://elibrary.ru/CBCUTY
- ID: 138994
Cite item
Full Text
Abstract
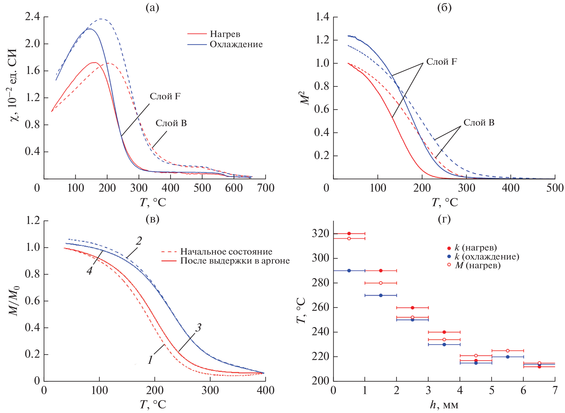
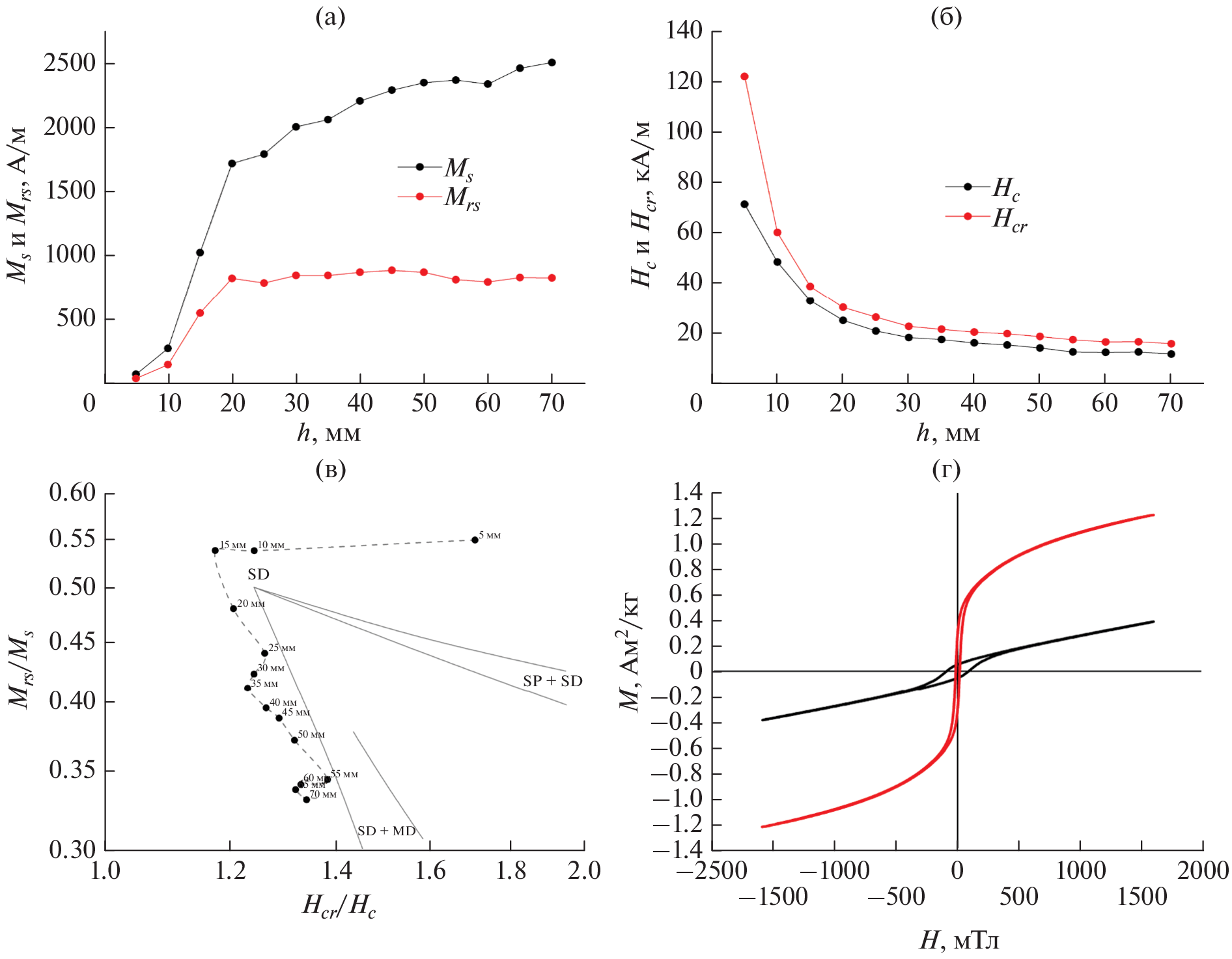
The magnetic properties and mineralogy of titanomagnetite in the Red Sea pillow-basalt at different distances from the contact surface with water were studied. It was revealed that the composition of titanomagnetite in the pillow basalt changes from the crust deep into the pillow: the titanium content in titanomagnetite increases, while the magnesium and aluminum content decreases. Titanomagnetite in the surface layer of pillow basalt (0–2 cm) is single-phase oxidized, with a maximum oxidation degree of 0.13, and at more than 3 cm from the crust has stoichiometric composition. According to the increase in magnetic susceptibility from 0.2 up to 1.8 × 10–2 SI, saturation magnetization from 0.026 to 0.895 A m2/kg and residual saturation magnetization from 0.014 to 0.296 A m2/kg, decrease in coercivity (Hc from 90 to 15 mT, Hcr from 153 to 20 mT), as well as by observations of electron and magnetic force microscopy, it is shown that the concentration of titanomagnetite in basalt and the grain size from single-domain state to pseudo-single-domain state increase with distance from the crust. The magnetic hardness of titanomagnetite grains was found to correlate with the maximum cooling rate of basalt. The NRM of basalt varies non-monotonically with distance from the pillow surface: up to a depth of about 3 cm its growth caused by the growth of titanomagnetite concentration was revealed, then a decrease caused by a decrease in the magnetic hardness of the grains. In spite of a rather strong variation of the magnetic properties in the 0–7 cm layer of pillow basalt, the experiments by the Thellier-Coe method for all layers showed close values of the geomagnetic field paleointensity (62.5–66.0 μT) with a high value of quality coefficient q (11–45). No regularity in the value of paleointensity with distance from the cushion surface was detected.
Keywords
About the authors
A. N. Tselebrovskiy
Lomonosov Moscow State University, faculty of physics
Author for correspondence.
Email: tselebr@physics.msu.ru
Russia, 119991, Moscow, Leninskie gory 1/2
V. I. Maksimochkin
Lomonosov Moscow State University, faculty of physics
Author for correspondence.
Email: maxvi@physics.msu.ru
Russia, 119991, Moscow, Leninskie gory 1/2
A. A. Tatarintsev
Lomonosov Moscow State University, faculty of physics
Email: maxvi@physics.msu.ru
Russia, 119991, Moscow, Leninskie gory 1/2
Yu. A. Alekhina
Lomonosov Moscow State University, faculty of physics
Email: maxvi@physics.msu.ru
Russia, 119991, Moscow, Leninskie gory 1/2
R. A. Grachev
Lomonosov Moscow State University, faculty of physics
Email: maxvi@physics.msu.ru
Russia, 119991, Moscow, Leninskie gory 1/2
References
- Белов К.П. Ферромагнетики и антиферромагнетики вблизи точки Кюри // Успехи физических наук. 1958. Т. 65. № 2. С. 207–231.
- Богданов Ю.А. и др. Атлас подводных фотографий Красноморского рифта / А.С. Монин, В.С. Ястребов (ред.). М.: Наука. 1983. 139 с.
- Большаков А.С., Щербакова В.В. Термомагнитный критерий определения доменной структуры ферримагнетиков // Изв. АН СССР. Сер. Физика Земли. 1979. № 2. С. 38–47.
- Грибов С.К., Долотов А.В., Щербаков В.П. Экспериментальное моделирование химической остаточной намагниченности и методики Телье на титаномагнетитсодержащих базальтах // Физика Земли. 2018. № 2. С. 109–128.
- Максимочкин В.И., Грачев Р.А., Целебровский А.Н. Определение поля формирования искусственной CRM и pTRM методом Телье на различных стадиях окисления природного титаномагнетита // Физика Земли. 2020. № 3. С. 134–146.
- Максимочкин В.И., Целебровский А.Н. Влияние химической намагниченности океанических базальтов на определение палеонапряженности геомагнитного поля методом Телье // Вестник Московского университета. 2015. Т. 6. С. 136–143.
- Максимочкин В.И., Целебровский А.Н. Палеонапряженность геомагнитного поля по базальтам Красного моря // Палеомагнетизм и магнетизм горных пород. Материалы XXV юбилейной Всероссийской школы-семинара по проблемам палеомагнетизма и магнетизма горных пород. Ярославль: Филигрань. 2019. С. 156–163.
- Шашканов В.А., Металлова В.В. Нарушение закона Телье для парциальных термоостаточных намагниченностей // Изв. АН СССР. Сер. Физика Земли. 1972. № 3. С. 80–86.
- Шрейдер А.А. и др. Детальные геомагнитные исследования рифтовой зоны на юге Красного моря // Океанология. 1982. Т. 22. № 3. С. 439–445.
- Щербаков В.П., Грибов С.К., Афиногенова Н.А., Цельмович В.А. Однофазное окисление ферримагнитных зерен как причина L-образной формы диаграмм Араи–Нагата // Физика Земли. 2020. № 5. С. 70–80.
- Bleil U., Petersen N. Variations in magnetization and low-temperature titanomagnetite oxidation of ocean floor basalts // Nature. 1983. V. 301. P. 384–388.
- Coe R.S. Geomagnetic Paleointensities From Radiocarbon-Dated Lava Flows on Hawaii and the Question of the Pacific Nondipole Low // J. Geophys. Res. 1978. V. 83. № B4. P. 1740–1756.
- Day R., Fuller M., Schmidt V.A. Hysteresis properties of titanomagnetites: grain-size and compositional dependence // Phys. Earth Planet. Inter. 1977. V. 13. P. 260–267.
- Dunlop D.J. Theory and application of the Day plot (Mrs/Ms versus Hcr/Hc) 1. Theoretical curves and tests using titanomagnetite data // J. Geophysical Research. 2002. V. 107. № B3. P. EPM 4-1-EPM 4-22.
- Fabian K. Approach to saturation analysis of hysteresis measurements in rock magnetism and evidence for stress dominated magnetic anisotropy in young mid-ocean ridge basalt // Phys. Earth Planet. Inter. 2006. V. 154. № 3–4. P. 299–307.
- Gee J.S., Kent D.V. Source of Oceanic Magnetic Anomalies and the Geomagnetic Polarity Timescale // Treatise on Geophysics. 2007. V. 5. P. 455–507.
- Johnson H.P., Pariso J.E. Variations in oceanic crustal magnetization: systematic changes in the last 160 million years // J. Geophysical Research. 1993. V. 98. № B1.
- Koenigsberger J.G. Natural residual magnetism of eruptive rocks (part 1) // Terr. Magn. Atmos. Electr. 1938. V. 43. № 2. P. 119–130.
- Lattard D. et al. Curie temperatures of synthetic titanomagnetites in the Fe–Ti–O system: Effects of composition, crystal chemistry, and thermomagnetic methods // J. Geophysical Research: Solid Earth. 2006. V. 111. № 12.
- Levi S. The effect of magnetite particle size on paleointensity determinations of the geomagnetic field // Phys. Earth Planet. Inter. 1977. V. 13. P. 245–259.
- aksimochkin V.I., Tselebrovskiy A.N. Chemical magnetization when determining Thellier paleointensity experiments in oceanic basalts. Geophysical Research Abstracts. 2017. V. 19. EGU2017-10613
- Nagata T., Arai Y., Momose K. Secular variation of the geomagnetic total force during the last 5000 years // J. Geophys. Res. 1963. V. 68. № 18. P. 5277–5281.
- Nishitani T., Kono M. Curie temperature and lattice constant of oxidized titanomagnetite // Geophysical J. Royal Astronomical Society. 1983. V. 74. № 2. P. 585–600.
- Richards J.C.W., O’Donovan J.B., Hauptman Z., O’Reilly W., Creer K.M. A magnetic study of titanomagnetite substituted by magnesium and aluminium // Physics of the Earth and Planetary Interiors. 1973. V. 7. № 4. P. 437–444.
- Roman A., Arndt N. Differentiated Archean oceanic crust: Its thermal structure, mechanical stability and a test of the sagduction hypothesis // Geochimica et Cosmochimica Acta. 2020. V. 278. P. 65–77.
- Thellier E., Thellier O. Sur l’intensité du champ magnétique terrestre dans le passé historique et géologique // Ann. Géophysique. 1959. V. 15. № 8.
- Yoder H.S. Generation of Basaltic Magma. Washington, DC: The National Academies Press. 1976.
- Zhou W., Voo R.V., Peacor D.R., Zhang Y. Variable Ti-content and grain size of titanomagnetite as a function of cooling rate in very young MORB // Earth and Planetary Science Letters. 2000. V. 179. № 1. P. 9–20.
- Zijderveld J.D.A. A.C. demagnetization of rocks: analysis of results. Methods in paleomagnetism / Collinson D.W., Creer K.M., Runkorn S. (eds.). Elsevier, Amsterdam. 1967. P. 254–286.
Supplementary files












