Релаксация напряжений в клеточной модели нелинейно взаимодействующих элементов
- Авторы: Черепанцев А.С.1
-
Учреждения:
- Южный федеральный университет
- Выпуск: № 1 (2023)
- Страницы: 39-53
- Раздел: Статьи
- URL: https://ogarev-online.ru/0002-3337/article/view/138991
- DOI: https://doi.org/10.31857/S0002333723010027
- EDN: https://elibrary.ru/BZWMZE
- ID: 138991
Цитировать
Полный текст
Аннотация
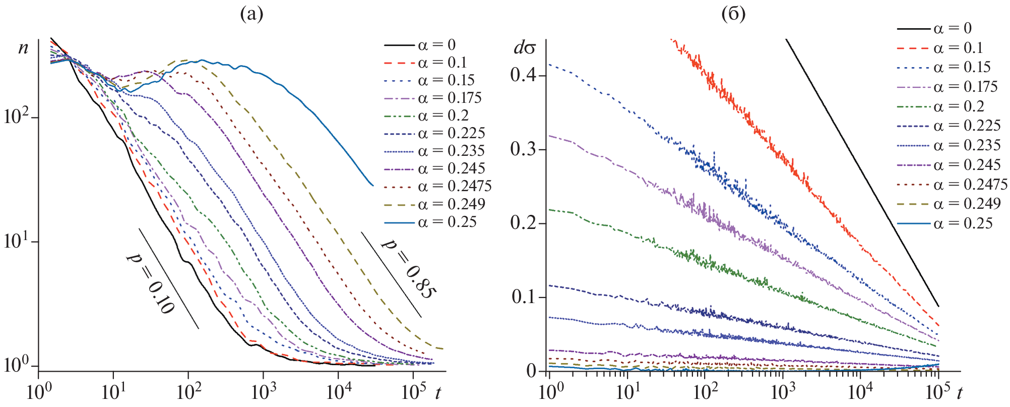
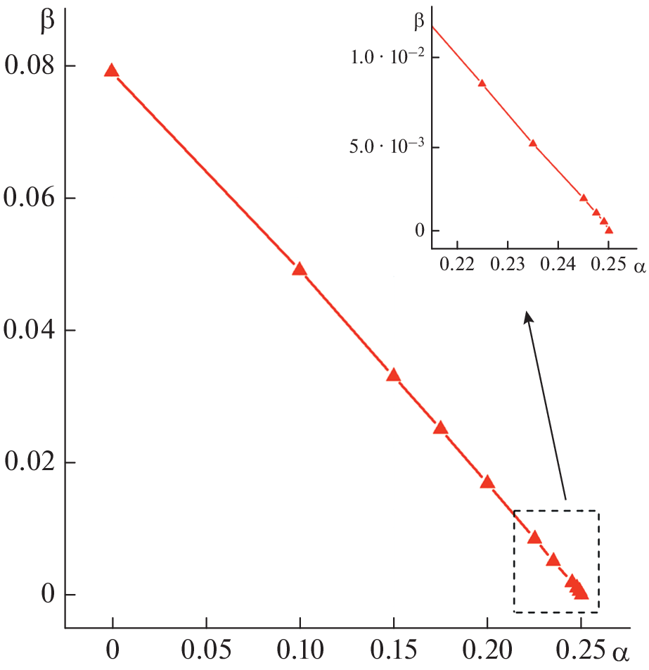
Рассмотрена модель релаксации напряжений в системе дискретных элементов. Модель предполагает рассмотрение малого временного масштаба процесса, при котором внешнее поступление дополнительных напряжений в систему пренебрежимо мало. Нелинейное взаимодействие элементов аналогично взаимодействию элементов в открытой диссипативной OFC-модели. Условия сброса определяются эффектом статической усталости. Показано, что при высоком уровне связи элементов в модели формируется степенной спад частоты сбросов во времени, аналогичный, наблюдаемому в афтершоковых последовательностях землетрясений. Данная закономерность слабо зависит от начального распределения напряжений в системе и имеет степенной показатель \(p = 0.85{\kern 1pt} - {\kern 1pt} 1.0\) при значениях параметра связи элементов \(\alpha = 0{\kern 1pt} - {\kern 1pt} 0.25\). Анализ длительности временной задержки \(c\) возникновения степенного спада частоты сбросов показывает связь данного параметра с длительностью сбросов большой амплитуды в начальной фазе релаксационного процесса. Величина \(c\) в этом случае определяется параметром \(\alpha \). Расчеты показывают, что и релаксация среднего напряжения \(\sigma \left( t \right)\) в системе элементов подчиняется соотношению \(t \propto {{e}^{{ - \gamma \sigma }}}\) с временем задержки, соответствующим значению \(c\) для зависимости частоты сбросов. При этом во временном ряде средней величины уменьшения напряжения при сбросе отдельного элемента \(d\sigma \) задержка отсутствует. Зависимость \(d\sigma \left( t \right)\) определяется соотношением \(t \propto {{e}^{{ - \beta \Delta \sigma }}}\) во всем диапазоне расчетных времен релаксационного процесса. Значение \(\beta \) линейно уменьшается с ростом связи элементов модели \(\alpha \).
Об авторах
А. С. Черепанцев
Южный федеральный университет
Автор, ответственный за переписку.
Email: s6319a@mail.ru
Россия, г. Ростов-на-Дону
Список литературы
- Баранов С.В., Шебалин П.Н. Глобальная статистика афтершоков сильных землетрясений: независимость времен и магнитуд // Вулканология и сейсмология. 2019. № 2. С. 67–76.
- Журков С.Н. Кинетическая концепция прочности // Вестн. АН СССР. 1968. Вып. 3. С. 46–52.
- Смирнов В.Б., Пономарёв А.В. Физика переходных режимов сейсмичности. М. 2020. 412 с.
- Черепанцев А.С. Временные вариации параметров динамических систем геодеформационных процессов // Физика Земли. 2018. № 4S. С. 20–38.
- Bailey J. Attempt to correlate some strength measurements of glass // Glass Industry. 1939. V. 20 (№ 1. P. 21–25; № 2. P. 59–65; № 3. P. 95–99; № 4. P. 143–147).
- Benioff H. Earthquakes and rock creep // Bull. Seism. Soc. Am. 1951. V. 41. P. 31–62.
- Burridge R., Knopoff L. Model and Theoretical Seismicity // Bull. Seism Soc. Am. 1967. V. 57. P. 341–371.
- Cherepantsev A.S. The Mechanism of the Faults Genesis and Synchronization in the Dissipative Cellular Model of Earthquakes // Russian J. Nonlinear Dynamics. 2022. V. 18. № 1
- Christensen K., Olami Z. Scaling, phase transitions, and nonuniversality in a self-organized critical cellular-automaton model // 1992. Phys.Rev. A. V. 46. P. 1829.
- Christensen K. Self-organization in models of sandpiles, earthquakes and flashing fireflies. University of Aarhus. Denmark. Ph. D. Thesis. 1992. 64 p.
- Corral A., Perez C.J., Diaz-Guilera A., Arenas A. Self-organized criticality and synchronization in a lattice model of integrate-and-fire oscillators // 1995. Phys. Rev. Lett. V. 74. P. 118.
- Grassberger P. Efficient large-scale simulations of a uniformly driven system // Phys. Rev. E. 1994. V. 49. P. 2436–2444.
- Helmstetter A., Sornette D. Foreshocks Explained by Cascades of Triggered Seismicity // J. Geophys. Res. 2003. V. 108. P. 2457.
- Helmstetter A., Hergarten S., Sornette D. Properties of foreshocks and aftershocks of the nonconservative self-organized critical Olami-Feder-Christensen model // Phys. Rev. E. 2004. V. 70. P. 046120.
- Hergarten S., Neugebauer H.J. Foreshocks and aftershocks in the Olami-Feder-Christensen model // Phys. Rev. Lett. 2002. V. 88. P. 238501
- Holliday J.R., Turcotte D.L., Rundle J. Self-similar branching of aftershock sequences // Physica A. 2008. V. 387. P. 933–943.
- Kostrov B.V., Das S. Principles of Earthquake Source Mechanics. Cambridge University Press, Applied Mathematics and Mechanics Series. 1988. 286 p.
- Ogata Y. Statistical models for earthquake occurrences and residual analysis for point processes // J. Am. Stat Assoc. 1988. V. 83. P. 9–27.
- Olami Z., Feder H.J.S. Christensen K. Self-organized criticality in a continuous, nonconservative cellular automaton modeling earthquakes // Phys. Rev. Lett. 1992. V. 68. P. 1244–1247.
- Scholz C. Microfractures, aftershocks, and seismicity // Bull. Seism. Soc. Am. 1968. V. 58. P. 1117–1130.
- Scholz C.H. Microfractures, aftershocks and seismicity // Bull. Seismol. Soc.Am. 1968. V. 58. P. 1117–1130.
- Schorlemmer W.M.D., Wiemer S. Variations in earthquake-size distribution across different stress regimes // Nature. 2005. № 437. P. 539–542.
- Shebalin P.N., Narteau C., Baranov S.V. Earthquake Productivity Law // Geophys. J. Int. 2020. V. 222(2). P. 1264–1269.
- Smirnov V.B., Ponomarev A.V., Stanchits S.A., Potanina M.G., Patonin A.V., Dresen G., Narteau C., Bernard P., Stroganova S.M. Laboratory modeling of aftershock sequences: stress dependences of the Omori and Gutenberg–Richter parameters // Izvestiya, Physics of the Solid Earth. 2019. V. 55. № 1. P. 124–137.
Дополнительные файлы
















