Адаптивный алгоритм управления на основе виртуального синхронного генератора. Часть 1
- Авторы: Суворов А.А.1, Аскаров А.Б.1, Рубан Н.Ю.1, Бай Ю.Д.1
-
Учреждения:
- Федеральное государственное автономное образовательное учреждение высшего образования «Национальный исследовательский Томский политехнический университет»
- Выпуск: № 1 (2024)
- Страницы: 82-94
- Раздел: Статьи
- URL: https://ogarev-online.ru/0002-3310/article/view/259123
- DOI: https://doi.org/10.31857/S0002331024010103
- ID: 259123
Цитировать
Полный текст
Аннотация
В современных гибридных энергосистемах общая постоянная инерция системы не является постоянной величиной и зависит от доли генерируемой мощности возобновляемых источников энергии (ВИЭ), подключаемых к сети через силовые преобразователи, в каждый конкретный момент времени. Из-за этого требуемые в электрических сетях ограничения скорости изменения частоты и величины ее отклонения при возмущениях становятся труднореализуемыми с помощью традиционных подходов и средств. Актуальным является переход к новой стратегии управления ВИЭ, в рамках которой силовой преобразователь становится ведущим, что позволяет последним выполнять ряд необходимых системных функций. С этой целью может быть использован алгоритм управления на основе виртуального синхронного генератора (ВСГ), имитирующий свойства и возможности традиционной синхронной генерации для объектов ВИЭ. Однако из-за постоянно меняющихся схемно-режимных условий в гибридных энергосистемах создаваемая за счет ВСГ виртуальная инерция должна быть адаптивной. При этом эффективность адаптивных алгоритмов во многом зависит от используемой структуры ВСГ. В связи с этим в первой части статьи предложена модифицированная структура ВСГ, для которой сформирована передаточная функция контура по управлению активной мощностью. С помощью нее выполнен сравнительный анализ традиционной и модифицированной структур ВСГ, по результатам которого доказано отсутствие трех принципиальных противоречий у последней. За счет особых свойств достигнута возможность гибкого управления параметрами модифицированного ВСГ для достижения желаемого качества динамического отклика на любом этапе протекания переходного процесса. Во второй части статьи приведен анализ влияния параметров настройки на инерционные и демпфирующие свойства ВСГ, на основе которого разработаны адаптивные алгоритмы их изменения в зависимости от складывающихся схемно-режимных условий. Полученные аналитические выводы подтверждены путем нелинейного динамического моделирования.
Полный текст
ВВЕДЕНИЕ
С развитием объектов распределенной генерации на базе возобновляемых источников энергии (ВИЭ) количество силовых преобразователей (СП) электрической энергии в современных энергосистемах существенно увеличивается, обуславливая тенденции трансформации энергосистем в гибридные системы, которые содержат элементы на постоянном и переменном токах. Одной из основных проблем таких энергосистем является изменяемость в широком диапазоне общей постоянной инерции системы, величина которой зависит от доли генерируемой мощности объектами ВИЭ с СП в каждый конкретный момент времени [1]. Известно, что общая постоянная инерция играет определяющую роль при формировании характера изменения частоты сети на первых секундах возникновения переходного процесса при малых или больших возмущениях в энергосистемах [2]. Величиной инерции определяется скорость изменения частоты и величина ее отклонения, максимально допустимые значения которых строго регламентированы в стандартах и сетевых кодексах различных стран [3]. Необходимость последнего связана с обеспечением надежного функционирования устройств противоаварийной автоматики и устойчивости энергосистем в целом, что становится крайне сложным в обозначенных условиях развития гибридных энергосистем и требует применения новых интеллектуальных и гибких технологий [4, 5].
Уникальная особенность СП заключается в динамике их функционирования, которая определяется быстродействующими силовыми полупроводниковыми ключами и соответствующей по быстродействию системой автоматического управления (САУ), что в совокупности открывает широкие возможности по использованию установок с СП для решения различных задач [6–8]. В связи с этим актуальным является переход от классического управления, при котором подразумевается работа СП в режиме ведомого сетью, к новой стратегии управления с СП, работающим в режиме ведущего [9, 10]. Подобное решение позволяет обеспечить с помощью СП необходимый инерционный отклик, который является определяющим при первичном регулировании частоты [11]. В качестве наиболее перспективного направления в данной области можно выделить алгоритмы управления СП на основе виртуального синхронного генератора (ВСГ), которые позволяют имитировать поведение и свойства традиционного синхронного генератора (СГ) [12]. Однако качество функционирования ВСГ существенно зависит от заданных параметров настройки [13]. Причем из-за постоянно меняющихся схемно-режимных условий в современных энергосистемах выбор постоянно заданных параметров настроек или жестких структур ВСГ не позволяет достичь желаемых целей управления. Всегда возникает необходимость поиска компромисса между надежностью и эффективностью регулирования режима, например при изменении плотности сети [14]. Таким образом, с учетом постоянно меняющейся величины общей постоянной инерции в современных гибридных энергосистемах, формируемые с помощью ВСГ виртуальная инерция и демпферный коэффициент должны быть адаптивными к изменяющимся условиям сети для обеспечения допустимых диапазонов скорости и величины отклонения частоты. Анализу данной проблемы и разработке эффективных решений посвящена статья, которая в связи со значительным объемом разделена на две части.
Несмотря на возможную гибкость в задании параметров ВСГ в широких пределах, эффективность адаптивных алгоритмов во многом зависит от используемой структуры ВСГ. Большинство адаптивных алгоритмов предназначено для использования в составе традиционной структуры, управляемой по напряжению (ВСГ-Н) [15]. Изменение постоянной инерции и демпферного коэффициента для такой структуры неизбежно приводит к возникновению трех принципиальных противоречий [16], анализ которых выполнен в рамках первой части данной статьи. Первое из них связано с влиянием эффективности демпфирования колебаний на скорость отклика по активной мощности. В результате при увеличении демпферного коэффициента увеличивается время нарастания и спада мощности ВИЭ. Второе связано с влиянием демпферного коэффициента на статизм по частоте, что приводит к установлению активной мощности, отличающейся от заданной, после возмущения. Третье противоречие возникает между скоростью реакций на изменение активной мощности и отклонение частоты. Для приемлемого отклика по активной мощности необходимо уменьшать демпферный коэффициент, а для эффективной реакции на отклонения частоты, наоборот, увеличивать. Таким образом, с учетом приведенных трудностей, развитие адаптивных алгоритмов управления должно идти вместе с разработкой наиболее подходящих для них структур ВСГ.
В связи с вышеизложенным в первой части статьи предлагается применение альтернативной структуры ВСГ, управляемой по току (ВСГ-Т), у которой отсутствуют проблемы, присущие традиционной структуре ВСГ-Н. Для рассматриваемой ВСГ-Т разработана передаточная функция контура по управлению активной мощностью, с помощью которой доказано отсутствие противоречий, приведенных ранее. Во второй части статьи на основе выявленных и доказанных свойств предлагаемой структуры ВСГ-Т разработан и протестирован адаптивный алгоритм управления, с помощью которого осуществляется независимое изменение основных параметров ВСГ, влияющих на инерционный отклик и демпфирование, за счет чего формируется желаемый динамический отклик ВСГ на любой стадии переходного процесса.
ТЕСТОВАЯ СХЕМА ЭНЕРГОСИСТЕМЫ И ИСХОДНЫЕ ДАННЫЕ
Общий вид исследуемой электрической сети с системой управления СП на основе ВСГ и ее упрощенное представление приведены на рис. 1. СП подключается к сети в точке общего подключения через LC-фильтр, который состоит из индуктивности Lф и емкости Cф. В данной статье с целью исключения детального описания конкретных принципов практической реализации первичного источника энергии, в роли которого может выступать, например, накопитель электрической энергии, и вводимых при этом особенностей функционирования принято, что в цепи постоянного тока инвертора подключен идеальный источник постоянного напряжения UDC через конденсатор CDC. Подобный подход широко используется при разработке алгоритмов управления силовыми преобразователями и позволяет получить обобщенные результаты без привязки к конкретному объекту генерации. Для уменьшения громоздкости уравнений рассматривается только индуктивная составляющая общего сопротивления связи между СП и внешней сетью Lс (Rс = 0). Внешняя энергосистема представлена в виде идеального источника переменного напряжения Uс, определяющего частоту сети ωс. Параметры тестовой схемы приведены в табл. 1.
Рис. 1. Схема тестовой энергосистемы: (а) топология сети и структура управления; (б) упрощенное представление
Таблица 1. Исходные параметры сети и настройки САУ
Сеть и преобразователь | ВСГ-Т | ||
Параметр | Значение | Параметр | Значение |
Uб, В | 480 | H0, с | 2 |
Sб, МВА | 2 | Rv, отн.ед. | 0 |
fб, Гц | 60 | Lv, отн.ед. | 0.105 |
fШИМ, кГц | 5 | R1q, отн.ед. | 0.01 |
Lф, отн.ед. | 0.1 | L1q, отн.ед. | 0.71 |
Cф, отн.ед. | 0.112 | Ku, отн.ед. | 1 |
Lс, отн.ед. | 0.3 | Qуст, ВСГ, отн.ед. | 0 |
Rс, отн.ед. | 0 | Kpcc, отн.ед. | 0.052 |
Kicc, отн.ед. | 13.195 | ||
В системе управления Pуст, Qуст – уставки по активной и реактивной мощности, Pвых и Qвых – выходная активная и реактивная мощность, i1 – ток на выходе СП, u2 и i2 – напряжение и ток в точке подключения СП за фильтром, EВСГ и θВСГ – амплитуда и фаза выходного напряжения ВСГ, δВСГ – угол между фазами напряжений ВСГ и внешнего источника. Регулирование выходной активной и реактивной мощности обеспечивается путем управления фазой и амплитудой выходного напряжения ВСГ соответственно. Внутренний контур управления является типовой частью всей системы управления и состоит из каскадных пропорционально-интегральных регуляторов тока и напряжения, за счет которых формируется опорный сигнал uabc, м для широтно-импульсной модуляции (ШИМ) с частотой коммутации fШИМ.
ОПИСАНИЕ ТРАДИЦИОННОЙ СТРУКТУРЫ ВСГ-Н
Исходя из основной идеи системы управления на основе ВСГ, заключающейся в имитации свойств и возможностей синхронной генерации, в ней можно выделить три основных контура: внутренний контур управления, модель виртуального СГ и внешний контур управления [13]. Известно, что инерционный отклик ВСГ определяется используемым в структуре управления уравнением движения виртуального ротора. Причем за счет введения демпферного коэффициента D осуществляется аппроксимативный учет демпфирующих свойств СГ. Также в традиционной реализации ВСГ-Н демпферный коэффициент и коэффициент статизма довольно часто объединяются, и уравнение движения преобразуется в вид:
, (1)
где ωВСГ – текущая частота вращения виртуального ротора ВСГ; отн. ед., HВСГ – виртуальная постоянная инерции ВСГ, измеряемая в секундах, которая также может быть записана как 2HВСГ = TJ, ВСГ; ωб – базисное значение частоты вращения, рад/с.
Такая реализация позволяет исключить в системе управления применение блока фазовой автоподстройки частоты, поскольку вместо частоты сети ωс используется номинальное значение частоты ωуст, и, соответственно, присущих ему проблем обеспечения устойчивости функционирования, особенно в слабых и сверхслабых сетях [14]. Однако несмотря на кажущуюся эффективность обозначенной реализации, ей присущи принципиальные противоречия, обозначенные во введении. Таким образом, структурная схема контура управления активной мощностью для традиционной структуры ВСГ-Н имеет вид, представленный на рис. 2.
Рис. 2. Контур управления по активной мощности для ВСГ-Н
Поскольку в статье предлагается подход к улучшению инерционного отклика ВСГ, достаточно рассматривать только контур по управлению активной мощностью. Именно данный контур формирует выходную активную мощность и частоту ВСГ, которые непосредственно влияют на переходные процессы, связанные с отклонениями частоты в сети. Путем оценки характера изменения данных переменных могут быть проанализированы недостатки, присущие традиционной структуре ВСГ-Н, и доказаны преимущества предлагаемой модифицированной структуры ВСГ-Т. В связи с этим для каждой рассматриваемой структуры сформирована замкнутая передаточная функция контура по управлению активной мощностью. Для ВСГ-Н схема такой функции приведена на рис. 3, где ks является величиной синхронизирующей мощности при нулевом угле δВСГ0 и определяется как ks = EВСГUс/Lс [17].
Рис. 3. Схема замкнутой передаточной функции контура по управлению активной мощностью для ВСГ-Н
ОПИСАНИЕ МОДИФИЦИРОВАННОЙ СТРУКТУРЫ ВСГ-Т
Для устранения ранее обозначенных недостатков ВСГ-Н, препятствующих применению эффективных адаптивных подходов к управлению виртуальной постоянной инерции и демпферным коэффициентом, в статье предлагается модифицированная структура ВСГ-Т [18]. Структурная схема ВСГ-Т представлена на рис. 4. Основной особенностью данной модели является параллельная работа контуров, формирующих опорные значения мощности. Первый из них отвечает за формирование уставок по активной и реактивной мощности (Pуст и Qуст). Второй контур воспроизводит динамику ВСГ, формируемые выходные мощности PВСГ и QВСГ которого затем прибавляются к значениям уставок. Из результирующих опорных значений мощностей Pуст* и Qуст* вычисляются опорные значения токов i1dq, уст для внутреннего контура управления током. Структурно внутренний контур управления током представлен аналогично ВСГ-Н пропорционально-интегральными регуляторами с коэффициентами усиления Kpcc и Kicc.
Рис. 4. Структурная схема ВСГ-Т
Электромагнитные характеристики виртуальной синхронной машины соответствуют схеме замещения традиционного СГ в осях dq и описываются согласно уравнениям (2)–(5). Выходные значения активной и реактивной мощности ВСГ рассчитываются в соответствии с теорией мгновенной мощности (6).
, (2)
, (3)
, (4)
, (5)
, (6)
где ψd и ψq – потокосцепления виртуального статора по осям d и q соответственно; ψ1q – потокосцепление виртуальной демпферной обмотки по оси q; R1q, L1q и τ1q – активное сопротивление, индуктивность и постоянная времени виртуальной демпферной обмотки; Qуст, ВСГ – уставка ВСГ по реактивной мощности; PВСГ и QВСГ – рассчитываемое значение выходной активной и реактивной мощности ВСГ; Ku – коэффициент усиления контура управления реактивной мощностью; u2dq – напряжение в осях dq, ось q опережает ось d на 90°, а ток фазы a совпадает с осью q, следовательно u2d = U2sin(δВСГ) и u2q = U2cos(δВСГ); U2 – действующее значение напряжения в точке подключения емкости LC-фильтра; id,ВСГ и iq,ВСГ – виртуальные токи ВСГ в осях d и q.
Основным преимуществом рассматриваемой технологии ВСГ, в рамках которого предлагается использование разрабатываемого алгоритма ВСГ-Т, является отсутствие необходимости в изменении аппаратной части сетевых инверторов, работающих в режиме ведомых сетью, которые широко используются в промышленности. Для перехода к «ведущим» сетевым инверторам на основе предлагаемой структуры ВСГ-Т достаточно изменения только в алгоритмах их управления с учетом разработки соответствующих программно-аппаратных решений для САУ инверторов. При этом с учетом представленной структуры ВСГ-Т в рамках САУ сетевого инвертора используемые пропорционально-интегральные регуляторы тока и широтно-импульсный преобразователь остаются неизменными, которые могут быть свободно «унаследованы» от традиционной структуры САУ. В таком случае изменятся только внутренние контуры управления для формирования значений опорных токов для регулятора тока.
Отличие уравнения движения, используемого в ВСГ-Т, от традиционного заключается в исключении демпферного коэффициента D. В структуре ВСГ-Т демпфирование обеспечивается за счет виртуальной демпферной обмотки, эффективность действия которой определяется параметрами: постоянной времени τ1q и индуктивным сопротивлением L1q, являющимися аналогом коэффициента D. Также стоит отметить отсутствие необходимости использования блока фазовой автоподстройки частоты. Предлагаемая модель ВСГ-Т является управляемой по току, соответственно выходным параметром модели ВСГ является ток, а входными параметрами для системы управления являются напряжения в точке подключения СП к сети. В соответствии с этим уравнения, описывающие внешнюю сеть, имеют следующий вид (индуктивное сопротивление фильтра Lф учтено в сопротивление сети Lс):
, (7)
. (8)
Для формирования замкнутой передаточной функции контура по управлению активной мощностью ВСГ-Т выполним линеаризацию уравнений (1)–(8) в рассматриваемой точке равновесия и преобразование Лапласа. При этом примем ряд допущений, аналогичных случаю ВСГ-Н:
1) активные сопротивления Rv и Rс исключаются;
2) рассматривается установившийся режим работы, т. е. dψq/dt = dψd/dt = 0 и ωВСГ = 1;
3) поскольку виртуальный генератор работает с нулевой загрузкой, то PВСГ0 = QВСГ0 = id0,ВСГ = iq0,ВСГ = 0;
4) внутренний контур управления током исключается, поскольку скорость его работы существенно превышает рассматриваемый диапазон процессов.
Выходная активная мощность СП Pвых с учетом структуры ВСГ и принятых допущений имеет следующий вид:
. (9)
Выходная мощность виртуального генератора в свою очередь определяется уравнением:
. (10)
Из выражений (9) и (10) следует, что малое приращение активной мощности виртуального генератора и на выходе СП зависит только от приращения соответствующего тока по оси q, поэтому достаточно выполнить линеаризацию уравнения для тока iq,ВСГ (10). В итоге получим выражение:
. (11)
Виртуальный ток по оси q зависит от двух потокосцеплений. Для нахождения приращения потокосцепления демпферной обмотки Δψ1q выполним соответствующее преобразование уравнения (3), а для нахождения приращения потокосцепления статора по оси q Δψq рассмотрим первое уравнение из системы уравнений (2) с учетом принятых допущений. В результате получаем уравнения:
, (12)
, (13)
где p – оператор Лапласа.
Для нахождения ΔU2d выполняется линеаризация первого уравнения из системы уравнений (8), и ток сети i2 выражается через ток на выходе СП i1. В итоге получится выражение (14), которое зависит от приращения тока Δi1 и угла ΔδВСГ. Последняя переменная находится из уравнения движения и описывается уравнением (15).
(14)
(15)
Объединив уравнения (9)–(15), сформируем замкнутую передаточную функцию для контура управления по активной мощности, схема которой изображена на рис. 5.
Рис. 5. Схема замкнутой передаточной функции контура по управлению активной мощностью для ВСГ-Т
СРАВНЕНИЕ ДИНАМИЧЕСКИХ ХАРАКТЕРИСТИК СТРУКТУР ВСГ-Н И ВСГ-Т
Сравнение особенностей моделей ВСГ-Н и ВСГ-Т выполнялось на тестовой схеме, приведенной на рис. 1. Для проведения анализа линеаризованной модели ВСГ-Н и ВСГ-Т, а также замкнутой передаточной функции контура по управлению активной мощностью использовался пакет прикладных программ MATLAB. Из полученных замкнутых функций для контура по управлению активной мощностью ВСГ-Н и ВСГ-Т на рис. 3 и 5 следует, что есть две входные переменные Pуст и ωс. Среди выходных переменных основной интерес представляют ΔPвых и ΔωВСГ, которые непосредственно определяют динамический отклик всей системы. Именно данные входы/выходы системы рассматриваются далее.
1) ΔPвых/ΔPуст: согласно рис. 3, замкнутая передаточная функция выходной активной мощности от входной активной мощности для ВСГ-Н имеет вид:
. (16)
Уравнение (16) является типовым звеном второго порядка, для которого основные коэффициенты, определяющие динамические свойства системы: собственная частота колебаний ωn и коэффициент демпфирования ζ находятся по известным выражениям:
. (17)
На основе рис. 5 запишем аналогичную передаточную функцию для ВСГ-Т:
. (18)
Характеристическое уравнение функции GP/P_ВСГ-Т(p) является многочленом третьей степени, который можно записать:
, (19)
где .
Очевидно, что уравнение третьего порядка можно представить как последовательное соединение апериодического звена первого порядка с постоянной времени T1 и колебательного звена второго порядка, имеющих в совокупности один вещественный и два сопряженных корня соответственно. Расположение корней характеристического уравнения и соответственно динамические свойства GP/P_ВСГ-Т(p) зависят от трех коэффициентов: ζ, ωn и постоянной времени T1. Для их нахождения удобно использовать параметры A и B диаграммы Вышнеградского, отражающей условия устойчивости системы третьего порядка [19, 20]. Для этого уравнение (19) приводится к нормированному виду (20) путем деления всех членов уравнения на свободный член и введения новой переменной
, (20)
где:
.
Для выражения (20) интересуемые коэффициенты находятся по следующим выражениям:
, (21)
в которых – положительный вещественный корень кубического уравнения .
Проведенные вычисления по данным выражениям подтверждают, что демпфирующие свойства ВСГ-Т зависят от параметров τ1q и L1q, которые являются аналогом коэффициента D в традиционной модели ВСГ-Н (17). Кроме этого, важно отметить, что передаточная функция (18) содержит аналогичный знаменателю многочлен третьей степени в числителе, нули которого оказывают влияние на качество переходного процесса. У данного многочлена коэффициент перед переменной в старшей степени всегда будет меньше аналогичной величины в знаменателе. Данная особенность приводит к тому, что наиболее удаленными от мнимой оси будут корни числителя, которые и будут определять время нарастания переходного процесса.
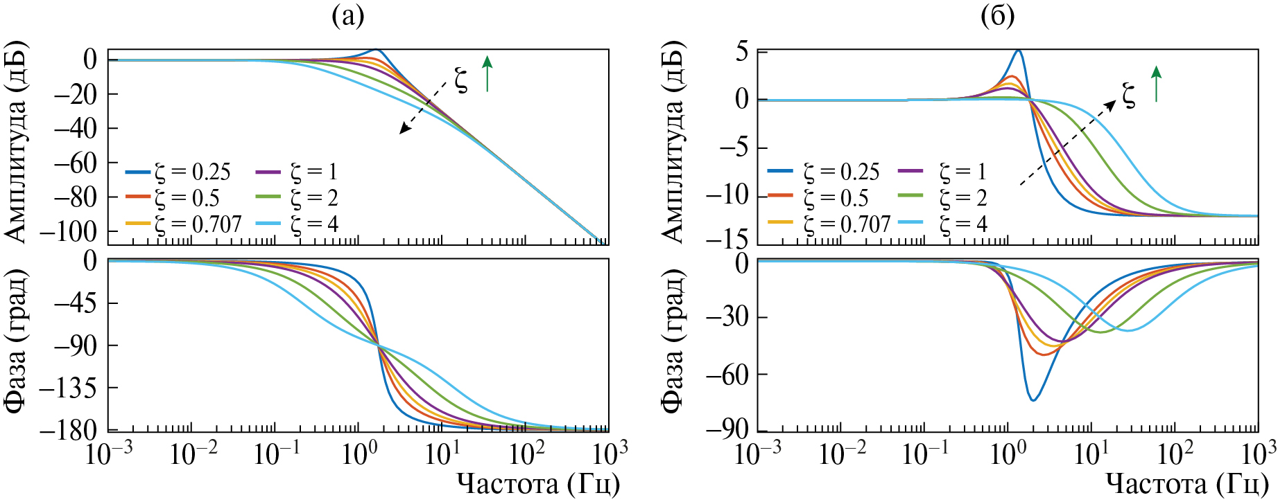
На рис. 6a показаны логарифмические амплитудно-фазовые частотные характеристики (ЛАФЧХ) замкнутой передаточной функции ΔPвых/ΔPуст для традиционной структуры ВСГ. Как было отмечено ранее, GP/P_ВСГ-Н(p) является типовым звеном второго порядка, и по мере увеличения коэффициента демпфирования ζ величина перерегулирования уменьшается. Однако, что более важно в рамках разрабатываемых адаптивных алгоритмов, рост демпфирования сопровождается уменьшением полосы пропускания и, соответственно, снижением быстродействия системы управления. В результате в случае адаптивного изменения коэффициента демпфирования будет необходим поиск компромисса между способностью подавлять перерегулирование и скоростью реакции системы управления.
Рис. 6. ЛАФЧХ зависимости выходной от входной активной мощности (ΔPвых/ΔPуст): (а) ВСГ-Н; (б) ВСГ-Т
Для функции GP/P_ВСГ-Т(p) при увеличении коэффициента демпфирования ζ также происходит уменьшение величины перерегулирования и длительности колебаний (рис. 6б). Однако в отличие от ВСГ-Н рост ζ увеличивает полосу пропускания, что обеспечивает более быстрый динамический отклик по активной мощности. Данная особенность связана с удалением от мнимой оси одного из корней числителя при росте ζ. В случае увеличения ζ от 0 до 1 данный корень соответствует апериодическому звену, а при ζ > 1 колебательному звену, корни которого уже становятся вещественными. Таким образом, увеличение демпфирующих свойств ВСГ-Т за счет τ1q и L1q повышает способность системы к подавлению перерегулирования и увеличению скорости отклика при изменении уставки по активной мощности, т. е. динамические показатели системы по реакции на изменения активной мощности и частоты улучшаются одновременно. Благодаря данной особенности ВСГ-Т, решающей первое из трех принципиальных противоречий, обозначенных во введении, может быть применен адаптивный алгоритм управления демпфирующими свойствами системы, который позволяет получить быстрый отклик по активной мощности без перерегулирования и длительного времени затухания возникающих колебаний. В результате отсутствует необходимость введения искусственного занижения демпферного коэффициента, чтобы обеспечить компромисс между скоростью реакции и перерегулированием. Закономерность изменения τ1q и L1q для формирования требуемого коэффициента демпфирования ζ будет рассмотрена далее.
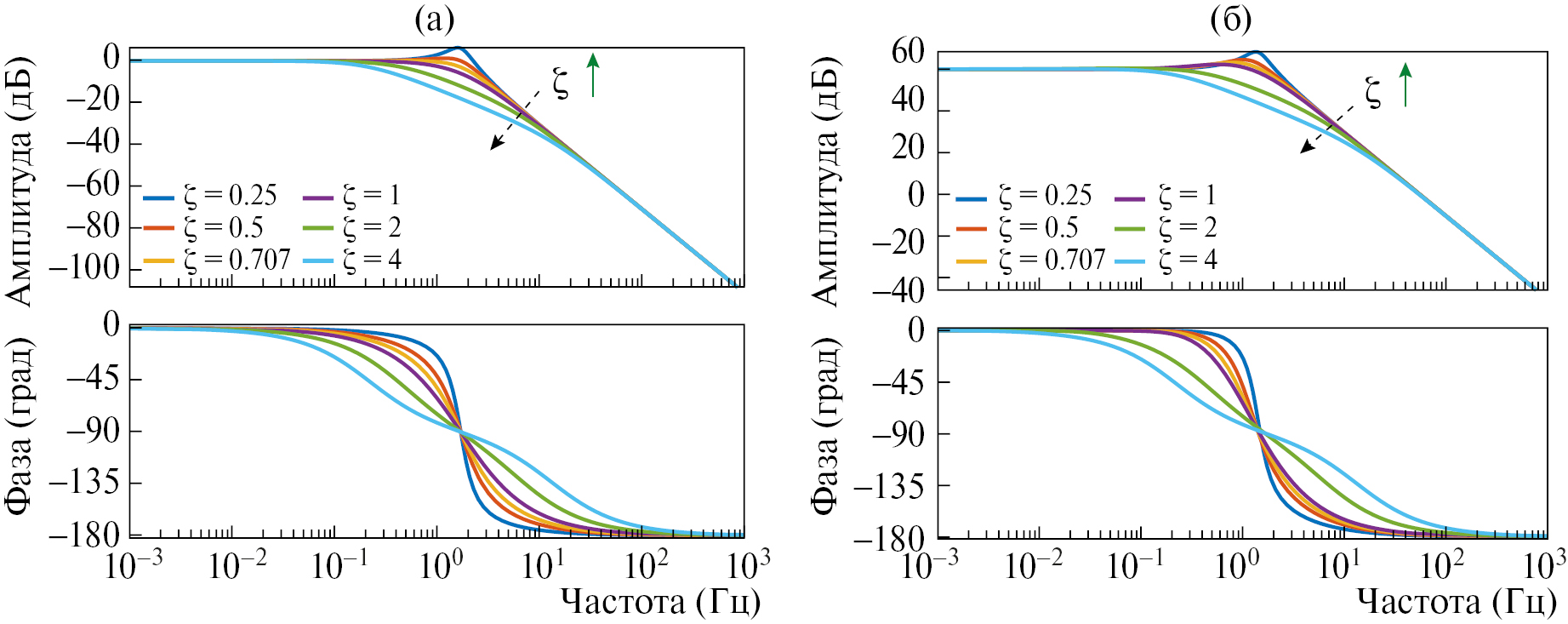
2) ΔPвых/Δωс: замкнутая передаточная функция для рассматриваемых контуров управления представлена в уравнениях:
, (22)
. (23)
В уравнениях (22) и (23) числитель обеих передаточных функций изменился. Отличия проявляются в расположении нулей передаточных функций и их значений в установившемся режиме. ЛАФЧХ для ВСГ-Н и ВСГ-Т приведены на рис. 7. Полученные зависимости свидетельствуют об уменьшении амплитуды на резонансной частоте при увеличении коэффициента демпфирования для обеих передаточных функций. Однако для GP/ω_ВСГ-Н(p) при росте ζ наблюдается аналогичный рост величины активной мощности в установившемся режиме. Данное поведение системы обусловлено влиянием коэффициента D на статизм регулирования по частоте. Напротив, для ВСГ-Т установившееся значение выходной активной мощности не зависит от ζ.
Рис. 7. ЛАФЧХ зависимости выходной активной мощности от частоты сети (ΔPвых/Δωс): (а) ВСГ-Н; (б) ВСГ-Т
Ранее было отмечено, что выходная активная мощность для обеих структур ВСГ зависит от входных переменных Pуст и ωс. Следовательно, математический отклик по активной мощности можно представить с помощью уравнения:
. (24)
Используя уравнение (24), определим величину выходной мощности в установившемся режиме (p = 0) для обеих моделей ВСГ:
, (25)
. (26)
При сравнении (25) и (26) очевидно, что с ростом коэффициента D увеличивается статизм по частоте, приводящий к увеличению величины выходной активной мощности в установившемся режиме для ВСГ-Н. Для ВСГ-Т величина выходной активной мощности никак не связана с демпфирующими свойствами системы, а в случае добавления коэффициента статизма будет зависеть только от его величины. Таким образом, модифицированная структура ВСГ-Т позволяет решить второе из обозначенных во введении противоречий, связанное с влиянием демпферного коэффициента в рамках структуры ВСГ-Н на статизм регулирования по частоте.
3) ΔωВСГ/Δωс: замкнутая передаточная функция частоты виртуального генератора от частоты сети для ВСГ-Н и ВСГ-Т имеет вид соответственно:
, (27)
. (28)
ЛАФЧХ для обеих функций приведены на рис. 8. В данном случае частотный отклик обеих систем управления совпадает. Как видно, при росте коэффициента демпфирования уменьшается величина перерегулирования. При этом также достигается уменьшение скорости снижения и глубины просадки частоты. Нули числителя функции Gω/ω_ВСГ-Т(p) не оказывают существенного влияния на качество переходного процесса. Таким образом, для ВСГ-Н и ВСГ-Т в данном случае большие значения коэффициента демпфирования являются предпочтительными.
Рис. 8. ЛАФЧХ зависимости частоты ВСГ от частоты сети (ΔωВСГ/Δωс): (а) ВСГ-Н; (б) ВСГ-Т
Если резюмировать динамические свойства рассмотренных систем управления при изменении активной мощности и частоты сети, следует, что предлагаемая структура ВСГ-Т позволяет одновременно обеспечить быструю реакцию по активной мощности и медленную реакцию при изменении частоты сети, в отличие от традиционной структуры ВСГ-Н. В случае адаптивного изменения демпферного коэффициента для ВСГ-Н скорость реакции по активной мощности и частоте меняется в одном направлении, т. е. отклик по частоте и мощности будет одновременно либо медленным, либо быстрым. При этом становится необходимым определение приоритета в управлении по активной мощности или частоте. Такое поведение системы управления является нежелательным, поскольку неизбежно ухудшается качество переходного процесса, а адаптивность в управлении не дает заметного положительного эффекта. Таким образом, за счет использования ВСГ-Т решается третье противоречие, заключающееся в необходимости поиска компромисса между управлением активной мощностью и регулированием частоты.
ЗАКЛЮЧЕНИЕ
В рамках первой части статьи:
- Предлагается применение альтернативной структуры ВСГ, управляемой по току (ВСГ-Т), в которой модель виртуальной синхронной машины описывается упрощенными уравнениями Парка–Горева с учетом виртуальной демпферной обмотки по поперечной оси и уравнения движения виртуального ротора, а сам алгоритм ВСГ-Т работает с нулевой загрузкой и параллельно с уставками по активной и реактивной мощности СП.
- Для рассматриваемой структуры ВСГ-Т разработана передаточная функция контура по управлению активной мощностью, с помощью которой доказано отсутствие трех противоречий, связанных с влиянием эффективности демпфирования колебаний на скорость отклика по активной мощности, с влиянием демпферного коэффициента на статизм по частоте и возникающих между скоростью реакций на изменение активной мощности и отклонение частоты, присутствующих при рассмотрении традиционной структуры ВСГ-Н.
- Также наглядно продемонстрировано, что в случае использования предлагаемой структуры ВСГ-Т, в отличие от традиционного алгоритма ВСГ-Н, могут быть применены адаптивные алгоритмы для гибкого изменения коэффициентов системы управления: HВСГ, L1q и τ1q. За счет их изменения становится возможным достижение желаемого качества переходного процесса вне зависимости от этапа его протекания и причин его возникновения.
Во второй части статьи представлены результаты разработки и тестирования адаптивных алгоритмов управления виртуальной инерцией и параметрами демпферной обмотки для модифицированной структуры ВСГ-Т.
Исследование выполнено за счет гранта Российского научного фонда № 22-79-00204.
Об авторах
А. А. Суворов
Федеральное государственное автономное образовательное учреждение высшего образования «Национальный исследовательский Томский политехнический университет»
Email: aba7@tpu.ru
Россия, Томск
А. Б. Аскаров
Федеральное государственное автономное образовательное учреждение высшего образования «Национальный исследовательский Томский политехнический университет»
Автор, ответственный за переписку.
Email: aba7@tpu.ru
Россия, Томск
Н. Ю. Рубан
Федеральное государственное автономное образовательное учреждение высшего образования «Национальный исследовательский Томский политехнический университет»
Email: aba7@tpu.ru
Россия, Томск
Ю. Д. Бай
Федеральное государственное автономное образовательное учреждение высшего образования «Национальный исследовательский Томский политехнический университет»
Email: aba7@tpu.ru
Россия, Томск
Список литературы
- Tan B. et al. Power system inertia estimation: Review of methods and the impacts of converter-interfaced generations. – International Journal of Electrical Power & Energy Systems, 2022, vol. 134, 107362, doi: 10.1016/j.ijepes.2021.107362
- Лазарев Г. Б., Новаковский А. Н. Технологии применения синхронных компенсаторов в электрических сетях современных энергосистем // Энергетик. 2022. № 4. С. 59–69.
- Бубенчиков А. А., Бубенчикова Т. В., Шепелева Е. Ю. Анализ зарубежного опыта исследования систем генерации ветроэнергетических установок // Омский научный вестник. 2018. № 6 (162). С. 142–149.
- Илюшин П. В. Интеграция электростанций на основе возобновляемых источников энергии в Единой энергетической системе России: обзор проблемных вопросов и подходов к их решению // Вестник Московского энергетического института. 2022. № 4. С. 98–107.
- Андранович Б. и др. Интеллектуальное управление режимами изолированно работающей энергосистемы // Известия НТЦ Единой энергетической системы. 2021. № 1 (84). С. 61–66.
- Крамской Ю. Г. Интеграция возобновляемых источников электроэнергии в электрические сети с применением силовой электроники // Энергия единой сети. 2017. № 1 (30). С. 54–68.
- Соснина Е. Н., Шалухо А. В., Эрдили Н. И. Повышение эффективности использования возобновляемых источников энергии в составе виртуальной электростанции на основе мультиагентного управления // Вестник Чувашского университета. 2022. № 3. С. 103–113.
- Булатов Ю. Н., Крюков А. В., Суслов К. В. Изолированная система электроснабжения с энергетическими роутерами и возобновляемыми источниками энергии // Вестник ИжГТУ им. М. Т. Калашникова. 2021. Т. 24. № 2. С. 124–134.
- Rathnayake D. B. et al. Grid Forming Inverter Modeling, Control, and Applications. – IEEE Access, 2021, vol. 9, pp. 114781–114807, doi: 10.1109/ACCESS.2021.3104617
- Аскаров А. Б. и др. К вопросу о современных принципах управления возобновляемыми источниками энергии на основе виртуального синхронного генератора. // Вестник Пермского национального исследовательского политехнического университета. Электротехника, информационные технологии, системы управления. 2022. № 41. С. 5–30.
- Разживин И. А. и др. Оценка влияния ветроэлектростанций на изменение суммарной инерции электроэнергетической системы // Вестник Иркутского государственного технического университета. 2021. Т. 25. № 2 (157). С. 220–234.
- Bevrani H., Ise T., Miura Y. Virtual synchronous generators: A survey and new perspectives. International Journal of Electrical Power & Energy Systems, 2014, vol. 54, pp. 244–254, doi: 10.1016/j.ijepes.2013.07.009
- Суворов А. А. и др. Синтез и тестирование типовых структур систем автоматического управления на основе виртуального синхронного генератора для генерирующих установок с силовым преобразователем // Электрические станции. 2022. № 3 (1088). С. 43–57.
- Суворов А. А. и др. Управление сетевым инвертором на основе виртуального синхронного генератора при изменении плотности электрической сети // Электричество. 2023. № 3. С. 35–51.
- D’Arco S., Suul J. A., Fosso O. B. A Virtual Synchronous Machine implementation for distributed control of power converters in SmartGrids. – Electric Power Systems Research, 2015, vol. 122, pp. 180–197, doi: 10.1016/j.epsr.2015.01.001
- Li M. et al. Phase Feedforward Damping Control Method for Virtual Synchronous Generators. – IEEE Transactions on Power Electronics, 2022, vol. 37(8), pp. 9790–9806, doi: 10.1109/TPEL.2022.3150950
- Kundur P. Power System Stability and Control. McGraw-Hill, 1993, 1199 p.
- Суворов А. А. и др. Система автоматического управления силовым преобразователем на основе свободно конфигурируемой структуры виртуального синхронного генератора // Электричество. 2022. № 4. С. 15–26.
- Бесекерский В. А., Попов Е. П. Теория систем автоматического управления. СПб.: Профессия, 2003. 752 с.
- Сырчина А. С., Кулешов А. В. Синтез регулятора индикаторного гиростабилизатора с использованием критерия Вышнеградского // Известия Тульского государственного университета. Технические науки. 2022. № 11. С. 99–110.
Дополнительные файлы










