Сорбция калия засоленными почвами Западного Забайкалья
- Авторы: Сосорова С.Б.1, Меркушева М.Г.1, Лаврентьева И.Н.1, Болонева Л.Н.1
-
Учреждения:
- Институт общей и экспериментальной биологии СО РАН
- Выпуск: № 1 (2025)
- Страницы: 11-25
- Раздел: Плодородие почв
- URL: https://ogarev-online.ru/0002-1881/article/view/285066
- DOI: https://doi.org/10.31857/S0002188125010027
- EDN: https://elibrary.ru/VCSZEK
- ID: 285066
Цитировать
Аннотация
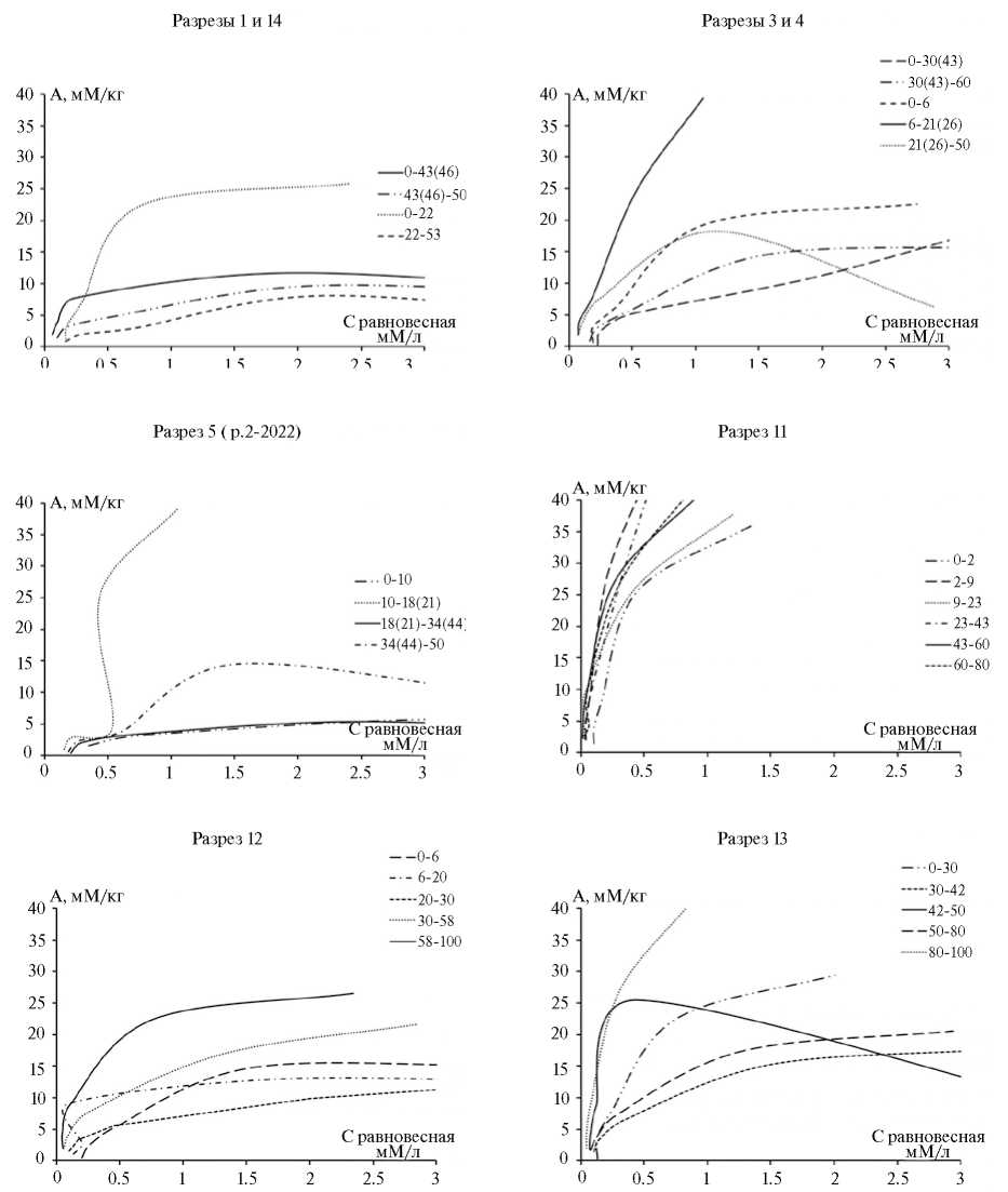
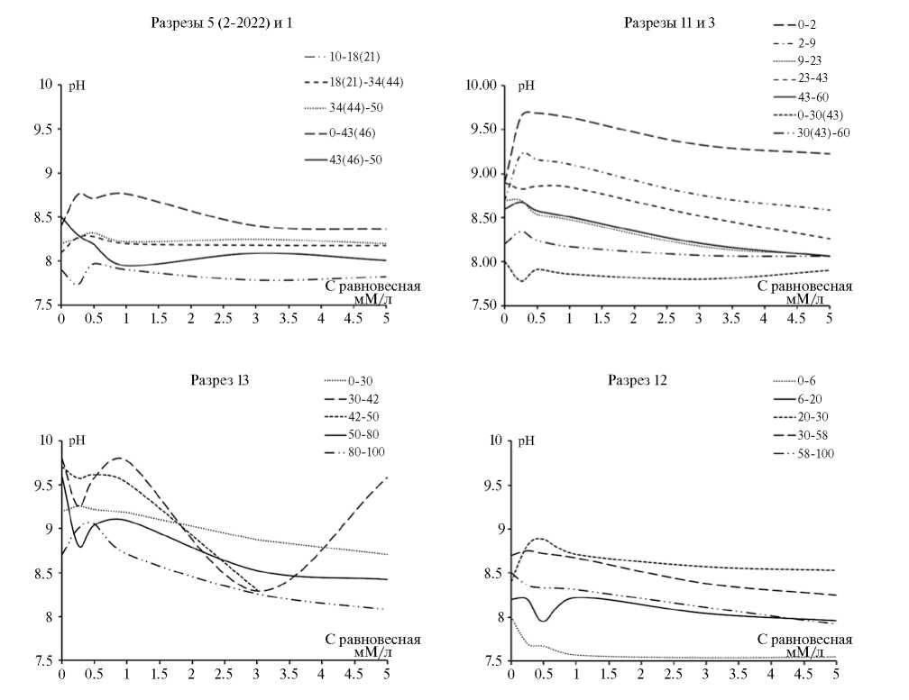
Впервые в статических условиях изучена сорбция калия засоленными почвами Западного Забайкалья и дана количественная оценка ее параметров. Установлено, что уравнения Ленгмюра и Фрейндлиха удовлетворительно описывают адсорбцию калия изученными почвами. Показано, что максимальная сорбционная емкость почв (Аmax) в отношении калия менялась в пределах 5.1–137 мМ K+/кг, что указывало на различие сорбционных мест. Выявлена относительно высокая сорбция K+ солончаками глеевым и типичным. Величина Аmax в гумусовых горизонтах изменялась в 2.6 раза, в нижележащих – в 15.6 раза и была минимальной в солончаке квазиглеевом. Константа адсорбционного равновесия (КL) варьировала в широком диапазоне от 0.32 до 26.8 л/мМ с меньшими показателями в гумусовых горизонтах, что свидетельствовало о менее прочном связывании в них калия. Величины коэффициента емкости уравнения Фрейндлиха (KF) составляли в гумусовом горизонте от 3.1 до 91 л/кг = мМ K+/кг, в минеральных – от 3.2 до 69.5. Высокие величины коэффициента распределения (Кd) были характерны для солончака глеевого и низкие – квазиглеевого (4.28–184 л/кг). Относительно высокая величина максимальной буферной емкости по отношению к калию (МБЕк) выявлена в солончаках глеевом и типичном, относительно минимальная – в квазиглеевом. По способности сорбировать калий засоленные почвы Западного Забайкалья образовали следующий убывающий ряд (средневзвешенное в слое 0–30 см): солончак глеевый > солончак типичный > аллювиальная светлогумусовая засоленная > солончак соровый > солончак темный > солончак квазиглеевый. Четкой корреляции между параметрами адсорбции калия с некоторыми показателями свойств почв не выявлено. Наблюдали лишь слабую зависимость поглощения ионов калия от реакции почвенной среды и содержания физической глины.
Ключевые слова
Полный текст
Об авторах
С. Б. Сосорова
Институт общей и экспериментальной биологии СО РАН
Автор, ответственный за переписку.
Email: soelma_sosorova@mail.ru
Россия, 670004 Улан-Удэ, ул. Сахьяновой, 6,
М. Г. Меркушева
Институт общей и экспериментальной биологии СО РАН
Email: soelma_sosorova@mail.ru
Россия, 670004 Улан-Удэ, ул. Сахьяновой, 6
И. Н. Лаврентьева
Институт общей и экспериментальной биологии СО РАН
Email: soelma_sosorova@mail.ru
Россия, 670004 Улан-Удэ, ул. Сахьяновой, 6
Л. Н. Болонева
Институт общей и экспериментальной биологии СО РАН
Email: soelma_sosorova@mail.ru
Россия, 670004 Улан-Удэ, ул. Сахьяновой, 6
Список литературы
- Ильин Б.В. Элементный химический состав растений. Новосибирск: Наука, 1985. 129 с.
- Шеуджен А.Х. Биогеохимия. Майкоп: ГУРИПП “Адыгея”, 2003. 1028 с.
- Давлятшин И.Д., Лукманов А.А., Бадиков А. Калий в пахотных почвах лесостепи // Плодородие. 2013. № 2. С. 27–28.
- Минеев В.Г. Агрохимия и экологические функции калия. М.: Изд-во МГУ, 1999. 332 с.
- Сычев В.Г. Возможности совершенствования градации содержания “доступного” калия // Агрохим. вестн. 2000. № 5. С. 30–34.
- Якименко В.Н. Калий в агроценозах Западной Сибири. Новосибирск: Изд-во СО РАН, 2003. 231 с.
- Убугунов Л.Л., Лаврентьева И.Н., Убугунова В.И., Меркушева М.Г. Разнообразие почв Иволгинской котловины: эколого-агрохимические аспекты. Улан-Удэ: БГСХА, 2000. 208 с.
- Абидуева Т.И., Соколова Т.А. Глинистые минералы и калийное состояние степных почв Западного Забайкалья. Новосибирск: Изд-во СО РАН, 2005. 101 с.
- Пьянкова Н.А., Рузавин Ю.Н., Билтуев А.С. Агрохимическая характеристика серых лесных неоподзоленных почв Селенгинского среднегорья // Вестн. Бурят. ГСХА им. В.Р. Филиппова. 2008. № 2(11). С. 39–44.
- Пигарева Н.Н. Агрохимические свойства дерновых лесных почв Бурятии // Агрохимия. 2012. № 6. С. 13–22.
- Меркушева М.Г., Убугунов Л.Л., Болонева Л.Н., Лаврентьева И.Н. Содержание, запасы и формы калия в каштановых почвах Забайкалья в зависимости от орошения и возрастающих доз калийных удобрений (на фоне NPS) под картофель // Агрохимия. 2020. № 3. С. 3–10.
- Меркушева М.Г., Убугунов Л.Л., Болонева Л.Н. Калийное состояние неорошаемых и орошаемых аллювиальных дерновых почв Забайкалья // Агрохим. вестн. 2008. № 4. С. 10–11.
- Рузавин Ю.Н., Чимитдоржиева И.Б., Норбованжилов Р.Д., Тарасова Л.А. Изменение содержания форм калия при длительном сельскохозяйственном использовании черноземных почв Республики Бурятия // АгроЭко-Инфо. 2020. № 4.
- Сосорова С.Б. Сорбция калия некоторыми типами почв Западного Забайкалья // Биота, генезис и продуктивность почв. Мат-лы XIX Всерос. совещ. по почвенной зоологии / Под ред. А.В. Тиунова, К.Б. Гонгальского, А.В. Уварова. Улан-Удэ, 2022. С. 155–156.
- Сосорова С.Б. Особенности сорбции калия почвами Западного Забайкалья // Географ. и природ. ресурсы. 2023. Т. 44. № 3. С. 51–60.
- Чиркова Т.В. Физиологические основы устойчивости растений. СПб.: Изд-во СПбГУ, 2002. 244 с.
- Кузнецов В.В., Дмитриева Г.А. Физиология растений. М.: Высш. шк., 2006. 742 с.
- Веселов Д.С., Маркова И.В., Кудоярова Г.Р. Реакция растений на засоление и формирование солеустойчивости // Усп. соврем. биол. 2007. Т. 127. № 5. С. 482–493.
- Веселов Д.С., Шарипова Г.В., Кудоярова Г.Р. Сравнительное изучение реакции растений ячменя (Hordeum vulgare) и пшеницы (Triticum durum) на кратковременное и длительное действие натрий-хлоридного засоления // Агрохимия. 2007. № 7. С. 41–48.
- Rus A., Lee B., Munoz-Mayor A., Sharhuu A., Miura K., Zhu J.-K., Bressan R., Hasegawa P.M. AtHKT1 facilitates Na+ homeostasis and K+ nutrition in planta // Plant Physiol. 2004. V. 136. Iss. 12. P. 2500–2511.
- Pardo J.M., Quintero F.J. Plants and sodium ions: Keeping company with the enemy // Genome Biol. 2002. Rev. 3. P. 1017.1–1017.4.
- Панкова Е.И., Горохова И.Н. Анализ сведений о площади засоленных почв России на конец XX и начало XXI веков // Бюл. Почв. ин-та им. В.В. Докучаева. 2020. Вып. 103. С. 5–33.
- Ефремов Е.Н. Плодородие почв и удобрения. URL: https://www.agroxxi.ru/journal/199804/199804001.pdf. (дата обращения: 02.02.2023).
- Панкова Е.И., Новикова А.Ф. Засоленные почвы России (диагностика, география, площади) // Почвоведение. 1995. № 1. С. 73–83.
- Убугунов Л.Л., Ральдин Б.Б., Убугунова В.И. Почвенный покров Бурятии как базовый компонент природных ресурсов Байкальского региона. Улан-Удэ: Изд-во БНЦ СО РАН, 2002. 53 с.
- Убугунов Л.Л., Меркушева М.Г., Андреева И.М. Натрий в экосистемах Забайкалья и его агрохимическая эффективность. Новосибирск: СО РАН, 2022. 239 с.
- Национальная стратегия сохранения биоразнообразия России. М., 2012. 129 с.
- Классификация и диагностика почв России. Смоленск: Ойкумена, 2004. 342 с.
- Герасимова М.И., Лебедева И.И., Хитров Н.Б. Индексация почвенных горизонтов: состояние вопроса. проблемы и предложения // Почвоведение. 2013. № 5. С. 627–638.
- Агрохимические методы исследования почв. М.: Наука, 1975. 656 с.
- Сосорова С.Б., Меркушева М.Г., Болонева Л.Н., Балданова А.Л., Убугунов Л.Л. Содержание микроэлементов в со-лончаках Западного Забайкалья // Почвоведение. 2016. № 4. C. 459–474.
- Убугунов Л.Л., Лаврентьева И.Н., Меркушева М.Г. Биологическая продуктивность и гумусное состояние почв Иволгинской котловины (Западное Забайкалье) // Почвоведение. 2001. № 5. С. 557–568.
- https://soil-db.ru/soilatlas/razdel-6-funkcii-pochv/sorbcionnye-funkcii-pochv
- Зеленцов В.И., Дацко Т.Я. Применение адсорбционных моделей для описания равновесия в системе оксигидроксид алюминия–фтор // Электр. обработка мат-лов. 2012. № 48(6). С. 65–73.
- Scherrer R.A., Howard S.M. The Use of distribution coefficients in quantitative structure-activity relationships // J. Med. Chem. 1977. V. 20. P. 53–58.
- Ayenew B., Tadesse A.M., Kibret K. Phosphorous status and adsorption characteristics of acid soils from Cheha and Dinsho districts, southern highlands of Ethiopia // Environ. Syst. Res. 2018. V. 7. P. 17. doi: 10.1186/s40068-018-0121-1
- Грег С., Синг К. Адсорбция, удельная поверхность, пористость. Пер. с англ. 2-е изд. М.^ Мир, 1984. 306 с.
- Гаврилова Н.Н., Назаров В.В. Анализ пористой структуры на основе адсорбционных данных: учеб. пособ. М.: РХТУ им. Д.И. Менделеева, 2015. 132 с.
- Парфит Г., Рочестер К. Адсорбция из растворов на поверхности твердых тел. М.: Мир, 1986. 488 с.
- Кучер Л.И. Калий органической части почв в почвозащитном земледелии // SCI-ARTICLE.RU. № 38 (октябрь) 2016. URL: https://www.sci-article.ru/stat.php?i=1477062216
- Кулакова Н.Ю., Соколова Т.А. Влияние агролесомелиорации на калийное состояние лугово-каштановых почв в глинистой полупустыне // Аридн. экосист. 2010. Т. 16. № 5(45). С. 79–89.
- Калиновская А.А. Распределение тяжелых металлов и радионуклидов в почвах природных и агроэкосистем северо-востока Лужской возвышенности: Дис. … канд. биол. наук. СПб.: СПбГАУ, 2021. 159 с.
- Ягодин Б.А., Жуков Ю.П., Кобзаренко В.И. Агрохимия / Под ред. Б.А. Ягодина. М.: Колос, 2002. 584 с.
- Якименко В.Н. Фиксация калия и магния почвой агроценоза // Агрохимия. 2023. № 3. С. 3–11.
- https://agric4profits.com/potassium-content-of-soils-forms-sources
- Магомедалиев З.Г. Калий в почвах Дагестана и эффективность калийных удобрений под зерновые культуры в Прикаспийской низменности: Автореф. дис. … д-ра с-х. наук. Нальчик, 2006. 42 с.
- Загузина Н.А., Рузавин Ю.Н. Минералогический состав почв Бурятской АССР и содержание в них различных форм соединений калия // Почвенные ресурсы Забайкалья / Под ред. В.М. Корсунова. Новосибирск: Наука, СО, 1989. С. 59–66.
- Авакян Н.О. Агроxимия калия почв Армении: Автореф. дис. ... д-ра с.-х. наук. Баку, 1971. 52 с.
- Pal Y., Wong M.T.F., Gilkes R. The forms of potassium and potassium adsorption in some virgin soils from South-Western Australia //Austral. J. Soil Res. 1999. V. 37. P. 695–709.
- Середина В.П. Геохимические особенности поведения калия в почвах // Вестн. ТомскГУ. Биология. 2007. № 1. C. 106–118.
- Петрофанов В.Л. Подвижность калия гранулометрических фракций дерново-подзолистых почв и чернозема: Автореф. дис. … канд. с.-х. наук. М.: Почв. ин-т им. В.В. Докучаева РАСХН, 2012. 23 с.
- Voud rias E., Fytianos F., Bozani E. Sorption description isotherms of dyes from aqueous solutions and waste waters with different sorbent materials // Glob. Nest. Inter. J. 2002. V. 4(1). P. 75–83.
- Kenyanya O., Muthengia J., Mbuvi H. Determination of potassium levels in intensive subsistence agricultural soils in Nyamira County, Kenya // Inter. J. Agric. 2013. V. 3(7). P. 294–302.
- Dada A.O., Olalekan A.P., Olatunya A.M., Dada O. Langmuir, Freundlich, Temkin and Dubinin–Radushkevich isotherms studies of equilibrium sorption of Zn unto phosphoric acid modified rice husk // IOSR J. Appl. Chem. (IOSR-JAC). 2012. V. 3(1). P. 38–45.
- Пардаев О.Т., Даминова Ш.Ш. Cорбция ионов серебра на твердых экстрагентах на основе полимерных матриц // Universum: хим. и биол.: электр. научн. журн. 2021. № 10(88).





