Оценка ферментативной и микробиологической активности почвы ризосферы Solanum tuberosum L. под влиянием обработки клубней эндофитными бактериями Bacillus subtilis в условиях Предуралья
- Авторы: Гарипова С.Р.1,2, Пусенкова Л.И.1, Сидорова Л.В.3, Валиева В.А.1, Чистоедова А.В.1, Матюнина В.Д.1, Григориади А.С.2
-
Учреждения:
- Башкирский научно-исследовательский институт сельского хозяйства – обособленное структурное подразделение Уфимского федерального исследовательского центра РАН
- Уфимский университет науки и технологий
- Институт биологии – обособленное структурное подразделение Уфимского федерального исследовательского центра РАН
- Выпуск: № 12 (2024)
- Страницы: 54-63
- Раздел: Агроэкология
- URL: https://ogarev-online.ru/0002-1881/article/view/273591
- DOI: https://doi.org/10.31857/S0002188124120085
- EDN: https://elibrary.ru/vvpxel
- ID: 273591
Цитировать
Полный текст
Аннотация
Исследовали влияние инокуляции эндофитными бактериями B. subtilis 26Д и 10-4 на урожайность картофеля, его товарное качество, распространенность болезней клубней, численность бактерий в разных органах эндосферы растений, ферментативную активность почвы ризосферы инокулированных и неинокулированных (контроль) растений и численность разных трофических групп микроорганизмов в динамике. Обработка штаммом B. subtilis 10-4 привела к увеличению общего числа клубней с куста на 35.4, их массы – на 16.5%, снижению числа больных клубней с признаками парши и сухой гнили. Обработка штаммом B. subtilis 26Д способствовала защите от сухой гнили при сохранении продуктивности на уровне контроля без инокуляции. Численность эндофитных бактерий в разных органах растения менялась от 106 до 8×107 КОЕ/г сырой массы. Бóльшая, чем в контроле и варианте инокуляции штаммом 26Д, численность эндофитов была зафиксирована в варианте обработки штаммом 10-4 в фазе бутонизации в корнях, а в фазе цветения – в стеблях и листьях. По соотношению активности полифенолоксидазы/пероксидазы в ризосфере инокулированных вариантов коэффициент гумусонакопления увеличился с 0.51 в контроле без инокуляции до 0.56 и 0.57 в вариантах инокуляции эндофитными бактериями. Коэффициент интенсивности гидролиза органических соединений почвы (соотношение активности инвертазы/каталазы) был в 2 раза меньше в варианте инокуляции штаммом 10-4. Высокая и пролонгированная активность каталазы в ризосфере растений, инокулированных штаммом 10-4, указывала на положительное влияние эндофитов не только на сохранение почвенного плодородия, но и на эффективность биоконтроля фитопатогенов. Различия в микробиоме ризосферы инокулированных растений были связаны с увеличением численности микромицетов и высоким коэффициентом микробной минерализации в варианте обработки штаммом 26Д и преобладанием численности олигонитрофилов при обработке штаммом 10-4.
Полный текст
ВВЕДЕНИЕ
Применение микробных препаратов для предпосевной инокуляции семян на основе штаммов ассоциативных бактерий может оказывать положительное влияние на рост, развитие и защитные свойства растений [1], в том числе за счет интенсификации биохимических процессов в системе почва–растение [2]. Особенность эндофитных бактерий в том, что, занимая нишу внутри растения, они меньше конкурируют с аборигенной микробиотой и оказывают непосредственное действие на метаболические процессы растительного организма [3]. Применение эндофитных бактерий в определенных сорт–штаммовых комбинациях может положительно влиять на рост и развитие растений, способствовать повышению продуктивности и качества урожая сельскохозяйственных культур [4, 5].
Картофель является стратегически важной культурой в обеспечении продовольственной безопасности в мире [6]. По сравнению с другими культурами производство картофеля требует интенсивной обработки почвы, что приводит к минимальному количеству растительных остатков и быстрой потере питательных веществ почвы [7]. Благодаря инокуляции картофеля эндофитными бактериями можно повысить урожай картофеля и качество клубней, снизить заболеваемость клубней при хранении [8–10]. При этом влияние инокуляции растений эндофитными бактериями на биохимические и микробиологические процессы, происходящие в ризосфере растений, пока слабо изу- чено [11, 12]. Вместе с тем рассмотрение растительно-микробной системы в совокупности с микробиомом ризосферы может выявить новые механизмы управления компонентами агроэкосистем [13].
Удобным диагностическим показателем экологического состояния почвы, отражающим не только ее биологические свойства, но и их изменения под влиянием агроэкологических факторов, является ферментативная активность почвы. Этот показатель биологической активности почв относительно стабилен, характеризуется малой ошибкой, простотой определения, высокой чувствительностью к внешним воздействиям [14]. Процессы, определяющие ферментативную активность почв, находятся в тесной взаимосвязи с микробиотой почвы, которая подавляется или стимулируется в результате применения препаратов с разным принципом действия [15].
Цель работы – изучение влияния предпосадочной инокуляции клубней картофеля препаратами эндофитных бактерий Bacillus subtilis на продуктивность и устойчивость клубней к болезням, численность эндофитных бактерий в разных тканях растений, а также на ферментативную активность почв и численность трофических групп микроорганизмов в ризосфере растений Solanum tuberosum L. в полевых условиях.
МЕТОДИКА ИССЛЕДОВАНИЯ
Условия проведения полевых опытов. Опыты проводили в условиях лесостепной зоны Республики Башкортостан (Чишминский р-н). Исследование проводили на растениях картофеля (Solanum tuberosum L.) раннего сорта Башкирский. Почва опытного участка – чернозем выщелоченный тяжелосуглинистого гранулометрического состава. Агрохимическая характеристика пахотного слоя почвы: рНKCI 6.3, содержание гумуса (по Тюрину) – 7.4%, подвижных форм фосфора и калия – 12.7 и 14.8 мг/100 г почвы соответственно. Условия вегетационного периода 2023 г. были неблагоприятными как для закладки, так и формирования урожая картофеля. Накопление сумм положительных и эффективных температур происходило в опережающем режиме, распределение осадков было неравномерным. Период интенсивного клубнеобразования характеризовался дефицитом влаги на фоне аномально высоких температур (максимальная температура на поверхности почвы достигала 30–50 оC), что способствовало раннему (10 августа) увяданию ботвы. ГТК вегетационного периода составил 0.56–0.61, что соответствует засушливым условиям.
Инокуляция. Для инокуляции клубней картофеля использовали препараты эндофитных бактерий Bacillus subtilis 10–4 и 26Д (эталон). Препарат представлял собой суспензии спор бактерий, выросших на жидкой среде LB, разбавленный до получения заданного титра 1·108 кл/мл. Численность клеток бактерий подсчитывали в камере Горяева и верифицировали по стандарту мутности. Клубни картофеля замачивали в биопрепарате в течение 30 мин, затем их подсушивали на воздухе и высаживали на следующий день.
Закладка полевого опыта. Посадка клубней картофеля была проведена 15 мая в предварительно нарезанные гребни. Делянки 7035м размещали рандомизированно в четырехкратной повторности. Технология подготовки почвы: вспашка на глубину 22–24 см, культивация почвы на 15–17 см, нарезка гребней, внесение азофоски 16 : 16 : 16 в дозе 100 кг/га. Уход за посадками состоял из одной довсходовой, одной повсходовой междурядных обработок и окучивания перед смыканием рядков.
Отбор почвенных образцов. Отбор образцов почвы осуществляли трижды: в начале вегетации, в фазе бутонизации и в фазе созревания. Образец почвы без растений представлял собой смешанную пробу из 4-х прикопок с пахотного слоя с глубины 20 см. Образцы ризосферной почвы получали путем 4-х смешанных проб почвы, непосредственно примыкающей к корням 4-х растений. Варианты полевого опыта включали: почву без растений в начале вегетации, ризосферу растений без обработки (контроль) и обработанных штаммами Bacillus subtilis 26Д и 10–4 в фазе бутонизации, а также в эти же варианты опыта в фазе созревания.
Определение численности трофических групп почвенных микроорганизмов. Численность бактериальных гидролитиков определяли на мясо-пептонном агаре (МПА), копиотрофов – на крахмало-аммиачном агаре (КАА), олиготрофов – на почвенном агаре (ПА), олигонитрофилов – на среде Эшби, микромицетов – на среде Чапека [16].
Определение ферментативной активности почв. Ферментативную активность почв определяли следующими методами: пероксидазы (ПО) и полифенолоксидазы (ПФО) (мг 1.4-бензохинона/г почвы/30 мин при 30 оС) – методом Карягиной–Михайловской (1986), каталазы (мг 1,4-бензохинона/г почвы/30 мин при 30 оС) – газометрическим методом Галстяна (1978), анаэробной дегидрогеназы (мкг фармазана/г почвы) – методом Росса (1970), протеазы (мг глицина/г почвы/24 ч) – методом Галстяна (1978), фосфатазы (мг фенола/г почвы/3 ч) – методом Гоффмана (1967), инвертазы (мг глюкозы/г почвы/4 ч) – методом Щербаковой (1983); уреазы (мг NH3/г почвы/3 ч) – колориметрическим методом с реактивом Несслера [17].
Определение численности эндофитных микроорганизмов в тканях растений. Со стебля, листа и корня растения брали навеску 0.5 г. Поверхностная стерилизация образца включала промывку образца мыльным раствором и водой, замачивание в 70%-ном спирте 1 мин, промывку стерильной водой, замачивание в 30%-ном растворе гипохлорита натрия 5 мин, 5-кратную промывку стерильной водой. Контроль чистоты поверхностной стерилизации проводили путем высева на питательную среду смыва с последней обработки. Образец растирали до гомогенного состояния, разводили водой, перемешивали в Vortex и высевали серию кратных разведений в чашки Петри со средой PDA (Himedia) и инкубировали в термостате при 36.5 оС. Учитывали все выросшие колонии через 24–48 ч.
Статистическую обработку полученных результатов проводили методом дисперсионного анализа. При математической обработке экспериментальных данных использовали статистические программы Microsoft Excel. На гистограммах показаны средние величины и их стандартные ошибки при р <0.95.
РЕЗУЛЬТАТЫ И ИХ ОБСУЖДЕНИЕ
Обработка штаммом B. subtilis 10-4 положительно повлияла на продуктивность и товарное качество клубней картофеля (табл. 1).
Таблица 1. Влияние предпосадочной обработки клубней препаратами эндофитных бактерий Bacillus subtilis 26Д и 10-4 на продуктивность, товарное качество и распространенность болезней клубней
Вариант | Число клубней | Число товарных клубней | Масса клубней | Масса товарных клубней | Парша | Сухая гниль |
шт./куст | г/куст | % | ||||
Контроль без обработки | 4.8 | 1.8 | 253 | 163 | 34.7 | 18.5 |
26 Д | 5.1 | 1.8 | 238 | 137 | 31.2 | 10.0 |
10-4 | 6.5 | 2.4 | 295 | 188 | 10.4 | 4.0 |
Стандартная ошибка | 0.5 | 0.2 | 20 | 18 | 7.6 | 4.2 |
По сравнению с контролем без инокуляции количество клубней с куста увеличилось на 35.4, их масса – на 16.6%, число больных клубней с признаками парши снизилось в 3.3 раза и с признаками сухой гнили – в 4.6 раза. Обработка штаммом B. subtilis 26Д способствовала снижению числа пораженных сухой гнилью клубней в 1.9 раза при сохранении продуктивности на уровне контроля.
Эти данные согласуются с литературными, в которых инокуляция картофеля сорта Удача препаратом БисолбиСан обеспечила увеличение урожайности на 20.5%, показав высокую биологическую эффективность против возбудителей грибковых болезней картофеля – фитофтороза, ризоктониоза [9].
Численность эндофитов в растениях контрольного варианта в фазе бутонизации была сосредоточена в большей степени в стеблях, а в фазе цветения – в стеблях и листьях (табл. 2).
Таблица 2. Численность бактериальных клеток с бациллоподобным морфотипом колоний в разных органах картофеля в разных фазах вегетации
Вариант | Органы растения | ||
листья | стебли | корни | |
КОЕ ×106/г | |||
Фаза бутонизации | |||
Контроль без инокуляции | 1.2 | 8 | 1 |
26Д | 2.4 | 0.5 | 1 |
10-4 | 1.3 | 1.5 | 8.8 |
Фаза цветения | |||
КОЕ ×107/г | КОЕ ×106/г | ||
Контроль без инокуляции | 2 | 5 | 6 |
26Д | 3 | 2.6 | 1.4 |
10-4 | 5 | 8 | 4.7 |
По сравнению с контролем без инокуляции в варианте обработки штаммом 10-4 численность эндофитов в фазе бутонизации преобладала в корнях, в фазе цветения – в стеблях и листьях, превышая контроль в 1.6 и 2.5 раза соответственно. В варианте обработки штаммом 26Д по сравнению с другими вариантами опыта численность бактерий в фазе бутонизации была в 2 раза больше в листьях, тогда как в стеблях и корнях в обеих фазах развития численность эндофитов была меньше, чем в контроле. По-видимому, это обстоятельство снизило защитный эффект обработки штаммом 26Д по сравнению со штаммом 10-4.
Как показало исследование микробного биоразнообразия эндофитов в разных органах картофеля, возбудитель парши обнаруживали и в стеблях, и в корнях, и в клубнях как больных, так и здоровых растений, но присутствие некоторых специфичных видов в микробиоме здоровых и отсутствие их в больных указывало на их определенную роль в контроле фитопатогена [18]. По данным литературы, численность эндофитных бактерий в тканях картофеля составляла от <1×103 до 4.2×107 клеток/см3 в ткани стебля [19]. Это согласуется с уровнем численности клеток эндофитных бактерий в эксперименте авторов.
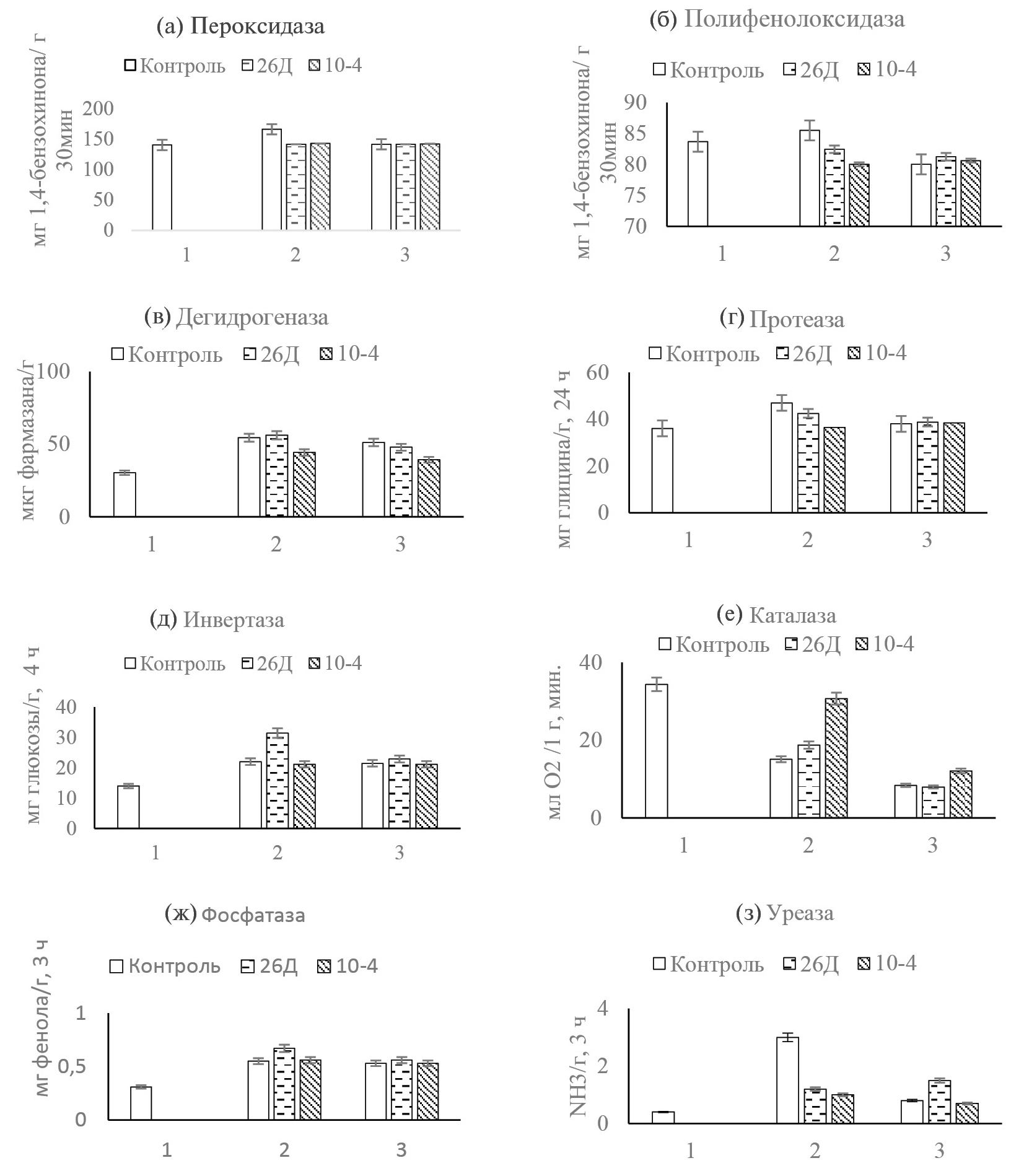
Активность пероксидазы (ПО) и полифенолоксидазы (ПФО) в почве часто рассматривают в связи с процессами трансформации гумуса. Считается, что ПФО-активность является показателем процессов гумификации, а ПО-активность – показателем интенсивности процессов минерализации гумуса, соотношение активности ПФО/ПО используют как условный коэффициент накопления гумуса [20, 21].
Согласно данным активности ПО и ПФО (рис. 1а, б), в почве без растений перед посадкой условный коэффициент накопления гумуса был равен 0.6.
Рис. 1. Активность ферментов в ризосфере картофеля: 1 – начало вегетации, 2 – фаза бутонизации, 3 – фаза созревания урожая.
В ризосфере картофеля без инокуляции в фазе бутонизации–цветения этот коэффициент снизился до 0.51, при этом в вариантах инокуляции B. subtilis он сохранялся на уровне 0.56 (штамм 10-4)–0.57 (штамм 26Д). В период уборки коэффициенты гумусонакопления в разных вариантах опыта сравнялись: 0.56 (контроль) и 0.57 (при обработках). Однако процессы, происходившие в ризосфере в период активной вегетации инокулированных и неинокулированных растений, различались, что свидетельствовало об определенном модулирующем влиянии эндофитных бактерий на почвенный микробиом опосредованно через физиологический статус растения. Известно, что прижизненные выделения корней способны менять химические свойства почвы и состав микробного сообщества [22, 23].
С ризосферным эффектом тесно связана активность ферментов каталазы (Кат) и дегидрогеназы (ДГГ). Кат относится к одному из наиболее распространенных и устойчивых видов оксидоредуктаз, осуществляющих окисление продуктов гидролиза органических соединений с образованием предгумусовых веществ [24]. Дегидрогеназы, в отличие от других ферментов, не имеют внеклеточного компонента, они не адсорбируются и не накапливаются в почве, дегидрирование органического субстрата идет за счет дегидрогеназ живых микробных клеток. Поэтому дегидрогеназная активность относится к наиболее объективным характеристикам как актуальной численности, так и метаболической активности микробных сообществ почвы [25].
В почве без растений исходный уровень каталазной (Кат) активности был выше, чем в ризосфере (рис. 1в), что согласовалось с более высоким коэффициентом гумусонакопления (ПФО/ПО = 0.6) в начальной точке измерений динамики процесса. В период бутонизации–цветения каталазная активность в почве под растениями уменьшалась (синхронно снижался и коэффициент гумусонакопления), но повышалась дегидрогеназная активность, обусловленная деятельностью ризосферной микробиоты в связи с притоком экзометаболитов растений.
В вариантах инокуляции в ризосфере растений были обнаружены отличия активности Кат и ДГГ. В фазе цветения картофеля в ризосфере обработанных штаммами 26Д и 10-4 активность Кат была в 1.3 и 2.0 раза больше, чем в ризосфере растений без инокуляции. Следует отметить, что это также согласовалось и более высоким коэффициентом гумусонакопления в ризосфере инокулированных вариантов (0.56–0.57), косвенно характеризовавшим баланс трансформации органического вещества почвы, близким к исходному. Повышенная (в 1.5 раза больше контроля) Кат-активность в ризосфере обработанных штаммом 10-4 растений сохранялась и в фазе созревания (рис. 1в). Если принять во внимание высокую сопротивляемость болезням растений, обработанных штаммом 10-4 (табл. 2), то можно с Кат-активностью связать не только влияние на процессы трансформации гумуса, но и подавление возбудителей болезней в ризосфере этих растений, т. к. именно активность этого фермента значительно отличалась в данном варианте опыта от других вариантов. Дегидрогеназная активность в ризосфере растений, обработанных штаммом 10-4, в обеих фазах вегетации была меньше, чем в контроле без инокуляции (рис. 1г), что также косвенно указывало на снижение метаболической активности микроорганизмов в ризосфере.
Влияние инокуляции высокоэффективным эндофитным штаммом Bacillus endophyticus IGPEB33 на повышение каталазной активности относительно контроля без инокуляции прослеживалось и в экспериментах с растениями имбиря (Zingiber officinale) [26]. Увеличение каталазной активности в ризосфере растений люпина, инокулированных эндофитным штаммом B. subtilis, отмечено в разных фазах развития растений. Дегидрогеназная активность в этом опыте варьировала в зависимости от периода развития растений люпина: в фазе всходов она была больше, чем в ризосфере неинокулированных растений, в фазе цветения снижалась, а затем, после созревания вновь значительно повышалась относительно неинокулированного контроля [27].
Интересно, что в экспериментах с растениями картофеля при применении биопрепарата на основе экстракта зеленого чая, содержащего наночастицы железа, в фазах всходы и бутонизация–цветение активность Кат в ризосфере обработанных данным препаратом растений обратно коррелировала с конечной урожайностью, а активность ДГГ сильно варьировала, и существенных взаимосвязей активности этого фермента с продуктивностью картофеля не было выявлено [28].
В наших экспериментах Кат-активность в ризосфере растений в фазах цветения и созревания прямо коррелировала с показателями продуктивности (r = 0.57 и 0.80 соответственно), а ДГГ-активность в тех же фазах – отрицательно (r = –0.84 и –0.56 соответственно). Возможно, различия в действии разных препаратов на Кат- и ДГГ-активность в ризосфере были связаны с тем, что эндофитные бактерии влияли на окислительно-восстановительный пул в ризосфере опосредованно через экссудацию определенных метаболитов корневой системой, а железосодержащие препараты могли оказывать прямое контактное действие на активность ферментов.
Протеазная активность мало зависела от вариантов опыта (рис. 1д). Исключение составило повышение активности этого фермента в ризосфере неинокулированных растений в фазе бутонизации. Синхронная активизация протеазной и пероксидазной активности в ризосфере неинокулированных растений (рис. 1а) могла быть связана с процессами трансформации органического вещества почвы в ризосфере этих растений.
При оценке различных диагностических критериев экологического состояния агрогенных почв было предложено использовать активность ДГГ, инвертазы (Инв), уреазы (Ур) и фосфатазы (Фсф). При этом с учетом чувствительности, точности и сложности определения наиболее чувствительным и информативным биохимическим показателем была признана активность Инв, которая прямо коррелировала с содержанием органического вещества (r = 0.84) [29]. Определение активности Инв позволяет одновременно судить как о способности к преобразованию углеводов растительных остатков, так и о мобилизующей способности микробиоценоза почвы. Инвертазная активность почвы в значительной степени определяет общий уровень биогенности почвы и ее обогащенность биомассой [30].
В эксперименте в ризосфере растений активность Ур, Инв и Фсф была больше, чем в почве без растений (рис. 1е–з). Вероятно, это было вызвано поступлением в ризосферу растительных экзометаболитов, содержащих аминокислоты, сахара и органические кислоты. Различия в уровне активности данных ферментов в ризосфере разных вариантов инокуляции, возможно, были связаны с модулирующим действием штаммов на состав разных фракций корневых выделений. В ризосфере неинокулированных растений Ур-активность была значительно больше, чем в ризосфере инокулированных, а активность Инв и Фсф повышалась в ризосфере обработанных штаммом 26Д растений относительно других вариантов опыта.
Повышение активности Ур, Инв и Фсф в почве было отмечено при инокуляции эндофитными бактериями растений имбиря [26]. Кислая Фсф в фазе созревания усиливала свою активность в ризосфере растений люпина, обработанных эндофитным штаммом B. subtilis [27]. В экспериментах с применением железосодержащих биопрепаратов для растений картофеля выявлена отрицательная связь между активностью Инв в фазе отмирания ботвы и урожайностью картофеля [28]. В нашем эксперименте связь между активностью Инв в ризосфере в фазе бутонизации–цветения и конечным урожаем была отрицательной (r = –0.95), а в фазе созревания различия между вариантами уже не прослеживались (рис. 1ж). Это указывало на действие разных механизмов взаимодействия растения с ризосферным микробиомом при инокуляции эндофитными и иными биопрепаратами.
Высокое отношение активности Инв к активности Кат указывало на то, что в системе преобладали реакции гидролиза органических соединений и менее интенсивно шел синтез гумусовых веществ. В эксперименте отношение Инв : Кат было равно 1.5 и 1.6 в ризосфере растений без инокуляции и инокулированных штаммом 26Д, тогда как при инокуляции штаммом 10-4 это отношение снизилось в 2 раза и составило 0.7. Более низкий коэффициент Инв : Кат, как и более высокий коэффициент ПФО : ПО, могли указывать на то, что формирование более высокого урожая растений, инокулированных штаммом 10-4, происходило не столько с участием питательных веществ, образующихся при транформации гумуса в ризосфере, сколько за счет процессов эффективного использования ресурсов микроорганизмов в эндосфере растений. Не исключено, что это может происходить в том числе посредством механизмов ризофагии – процесса, в котором микробы чередуются между корневой внутриклеточной эндофитной фазой и свободноживущей почвенной фазой; микробы усваивают питательные вещества почвы в свободноживущей фазе почвы, питательные вещества извлекаются посредством воздействия реактивного кислорода, вырабатываемого хозяином, во внутриклеточной эндофитной фазе [31]. Эта гипотеза поддерживается наблюдением высокой активности Кат в ризосфере наиболее эффективного варианта обработки.
Данные ферментативной активности почвы в разных вариантах опыта было интересно сопоставить с численностью разных трофических групп почвенных микроорганизмов (рис. 2).
Рис. 2. Численность микроорганизмов в ризосфере картофеля в начале вегетации (1), в фазе бутонизации (2) и в фазе созревании урожая (3): (а) –микромицеты, (б) – гидролитики, (в) – копиотрофы, (г) – олиготрофы, (д) – олигонитрофилы, (е) – коэффициент микробиологической минерализации, (ж) – коэффициент олиготрофности.
Численность гидролитических бактерий в ризосфере была больше, чем в почве без растений в начальный период вегетеции, при этом в фазе цветения преобладали микромицеты (рис. 2а), а в фазе созревания – сапротрофные бактерии (рис. 2б). В фазе бутонизация–цветение в ризосфере растений численность микромицетов преобладала в варианте инокуляции штаммом 26Д, не исключено, что увеличение активности Инв и Фсф могло быть следствием активности грибов.
Численность копиотрофов в почве без растений была больше, чем в ризосфере растений в фазе бутонизации–цветения (рис. 2в). Это можно объяснить высокой аэрацией пахотного слоя свежеобработанной почвы, которая активизировала минерализацию органического вещества почвы гидролитическими бактериями (рис. 2б). При этом очевидно, что высвобожденные в результате этой деятельности микроорганизмов легкодоступные для копиотрофов субстраты в почве без растений не встречали конкуренции со стороны ассимиляции их растениями.
Важно отметить, что в ризосфере растений без инокуляции в фазе бутонизации–цветения численность копиотрофов была меньше, чем в почве без растений, а численность олиготрофов возросла (рис. 2в, г). Очевидно, что в этом варианте опыта наблюдали дефицит легкодоступных соединений, несмотря на повышение в ризосфере протеазной и особенно уреазной активности. Предположили, что это происходило за счет активного поглощения продуктов минерализации органических веществ грибами и корнями растений. Возможно, наличие большой численности грибов обусловило связывание ими легкодоступных соединений углерода и азота, не оставляя субстратов для развития копиотрофов. В фазе созревания, когда метаболическая активность корневой системы растений затормозилась (снизилась каталазная активность, рис. 1в) и соответственно уменьшилась конкуренция за продукты минерализации органического вещества, численность копиотрофов и численность гидролитических бактерий синхронно увеличились в 3 и 10 раз (рис. 2 в, г).
При сравнении численности трофических групп микроорганизмов в ризосфере инокулированных и неинокулированных растений в активный период развития выявлены штаммовые различия. Растения, обработанные штаммом 26Д, привлекали в ризосферу бóльшую численность микромицетов, чем обработанные штаммом 10–4 и неинокулированные растения (рис. 2а). Согласно принципу конкурентного исключения, численность гидролитических бактерий в этом варианте опыта была меньше, чем в 2-х названных других (рис. 1б). Примечательно, что численность олиготрофов в варианте инокуляции штаммом 26Д была такой же низкой, как и в почве без растений, а в ризосфере контрольного варианта и варианта обработки штаммом 10–4 их численность увеличилась по отношению к таковой в почве без растений (рис. 1в). Можно предположить, что в ризосфере растений, инокулированных штаммом 26Д, существовал приток доступных питательных веществ. На это указывает более высокая активность инвертазы и фосфатазы в этом варианте опыта по сравнению с другими (рис. 1ж, з). Об интенсивности процессов разложения органических веществ в варианте инокуляции штаммом 26Д свидетельствовал и коэффициент микробной минерализации, который был на 23% больше, чем в свободной почве, и в 3 раза больше, чем в ризосфере растений без инокуляции и инокулированных штаммом 10–4 (рис. 2е). Учитывая повышенный уровень активности Инв и Фсф и пониженный уровень численности олигонитрофилов в варианте инокуляции штаммом 26Д, приходим к предположению, что источником легкодоступных соединений в ризосфере этого варианта опыта были скорее корневые выделения, а не трансформация гумуса.
В отличие от этого варианта опыта, в ризосфере растений без инокуляции была высокая вероятность использования микроорганизмами именно органического вещества почвы, о чем упоминалось выше при анализе условного коэффициента гумусонакопления (ПФО : ПО), повышенной активности протеазы и особенно уреазы (рис. 1д, е), а также более высокой численности олиготрофных бактерий (рис. 1).
Что касается варианта инокуляции штаммом 10–4, то видим возрастание численности олигонитрофилов в ризосфере, отсюда полагаем, что эти растения извлекали азотсодержащие питательные вещества не из гумуса, т. к. коэффициент гумусонакопления был больше, чем в ризосфере небактеризованных растений, а за счет увеличения на 56% численности азотфиксаторов по сравнению с небактеризованными растениями (рис. 2д).
Сопоставляя данные биологической активности почвы в ризосфере инокулированных растений картофеля по сравнению с неинокулированными и по сравнению с почвой без растений до начала вегетации, можно сделать вывод, что формирование более высокой продуктивности клубней картофеля было связано не только с метаболической активностью внесенных с инокулюмом эндофитных бактерий, но и с процессами, происходящими в почвенном микробиоме. Растения без инокуляции для пополнения доступных запасов питательных веществ задействовали ресурсы органического вещества почвы, а растения, инокулированные эндофитами, повышали коэффициент гумусонакопления. При этом штаммовые различия при инокуляции проявлялись в том, что растения, инокулированные штаммом 26Д, усиливали ассоциативные или симбиотические связи с микромицетами, повышая уровень инвертазной и фосфатазной активности. Растения, инокулированные штаммом 10–4, влияли на почвенный микробиом усилением численности олигонитрофилов-азотфиксаторов. Высокая каталазная активность в ризосфере наиболее эффективного варианта опыта поддерживала интересную гипотезу ризофагии [31]. Дальнейшая проверка этой гипотезы с привлечением новых данных микробной и ферментативной активности почвы инокулированных эндофитами растений может дополнить наши представления о положительной роли этих бактерий не только на формирование продуктивности и устойчивости сельскохозяйственных растений к болезням, но и о их вкладе в сохранение почвенного плодородия.
Об авторах
С. Р. Гарипова
Башкирский научно-исследовательский институт сельского хозяйства – обособленное структурное подразделение Уфимского федерального исследовательского центра РАН; Уфимский университет науки и технологий
Автор, ответственный за переписку.
Email: garipovasvetlana@gmail.com
Россия, 450059 Уфа, ул. Р. Зорге, 19; 450076 Уфа, ул. З. Валиди, 32
Л. И. Пусенкова
Башкирский научно-исследовательский институт сельского хозяйства – обособленное структурное подразделение Уфимского федерального исследовательского центра РАН
Email: garipovasvetlana@gmail.com
Россия, 450059 Уфа, ул. Р. Зорге, 19
Л. В. Сидорова
Институт биологии – обособленное структурное подразделение Уфимского федерального исследовательского центра РАН
Email: garipovasvetlana@gmail.com
Россия, 450054 Уфа, просп. Октября, 69
В. А. Валиева
Башкирский научно-исследовательский институт сельского хозяйства – обособленное структурное подразделение Уфимского федерального исследовательского центра РАН
Email: garipovasvetlana@gmail.com
Россия, 450059 Уфа, ул. Р. Зорге, 19
А. В. Чистоедова
Башкирский научно-исследовательский институт сельского хозяйства – обособленное структурное подразделение Уфимского федерального исследовательского центра РАН
Email: garipovasvetlana@gmail.com
Россия, 450059 Уфа, ул. Р. Зорге, 19
В. Д. Матюнина
Башкирский научно-исследовательский институт сельского хозяйства – обособленное структурное подразделение Уфимского федерального исследовательского центра РАН
Email: garipovasvetlana@gmail.com
Россия, 450059 Уфа, ул. Р. Зорге, 19
А. С. Григориади
Уфимский университет науки и технологий
Email: garipovasvetlana@gmail.com
Россия, 450076 Уфа, ул. З. Валиди, 32
Список литературы
- Singh J., Yadav A.N. Natural bioactive products in sustainable agriculture // Springer Nat. 2020. P. 307. https://doi.org/10.1007/978-981-15-3024-1
- Hafez M., Rashad M., Popov A. The biological correction of agrophotosynthesis of soil plant productivity // J. Plant Nutr. 2020. V. 43. № 19. P. 2929–2980. https://doi.org/10.1080/01904167.2020.1799008
- Rani S., Kumar P., Dahiya P, Maheshwari R., Dang A.S., Suneja P. Endophytism: A Multidimensional approach to plant–prokaryotic microbe interaction // Front. Microbiol. 2022. № 13. P. 861235. https://doi: 10.3389/fmicb.2022.861235
- Lastochkina O., Garshina D., Allagulova C., Pusenkova L., Garipova S., Maslennikova D., Fedorova K., Shpirnaya I., Ibragimov A., Koryakov I., Sakhapova A., Yuldasbaeva G., Dmitrieva A., Sobhani M., Aliniaeifard S. Potential aspects of plant growth promoting bacteria to improve horticultural crop production // International J. Horticult. Sci. Technol. 2021. Т. 8. № 2. С. 103–122.
- Веселова С.В., Сорокань А.В., Бурханова Г.Ф., Румянцев С.Д., Алексеев В.Ю., Черепанова Е.А., Максимов И.В. Бактерии рода Bacillus как перспективный источник для создания биопрепаратов от патогенов и вредителей сельскохозяйственных культур // Тр. КубанГАУ. 2022. № 97. С. 40–45.
- Devaux A., Goffart J.-P., Petsakos A., Kromann P., Gatto M., Okello J., Suarez V., Hareau G. Global food security, contributions from sustainable potato agri-food systems // The Potato Crop / Еds. Campos H., Ortiz O. Cham: Springer, 2020. https://doi.org/10.1007/978-3-030-28683-5_1
- Hao J., Ashley K. Irreplaceable role of amendment-based strategies to enhance soil health and disease suppression in potato production // Microorganisms. 2021. V. 9. P. 1660. https://doi.org/10.3390/microorganisms9081660
- Пусенкова Л.И., Гарипова С.Р., Ласточкина О.В., Федорова К.А., Марданшин И.С. Влияние эндофитных бактериий Bacillus subtilis на урожай, качество клубней и послеуборочные болезни картофеля // Агрохим. вестн. 2021. № 5. С. 73–79.
- Гергиева Ф.Т., Газданова И.О., Дзедаев Х.Т., Моргоев Т.А., Бекмурзов Б.В. Применение биологических препаратов в производстве картофеля на почвах Северной Осетии // Аграрн. научн. журн. 2021. № 12. С. 4–8. http://dx.doi.org/10.28983/asj.y2021i12pp4-8
- Карамова Н.С., Туама А.А., Сташевски З. Эндофитные микроорганизмы картофеля (Solanum tuberosum L.): разнообразие, функции и биотехнологический потенциал // Экол. генет. 2023. Т. 21. № 2. С. 123–135.
- Пусенкова Л.И., Ильясова Е.Ю., Ласточкина О.В., Максимов И.В., Леонова С.А. Изменение видового состава микофлоры ризосферы и филлосферы сахарной свеклы под влиянием биопрепаратов на основе эндофитных бактерий и их метаболитов // Почвоведение. 2016. № 10. С. 1205–1213.
- Масленникова В.С., Цветкова В.П., Нерсесян С.М., Бедарева Е.В., Калмыкова Г.В., Дубовский И.М., Литвина Л.А. Влияние инокуляции клубней картофеля бактериями рода Bacillus на популяцию ризосферных микроорганизмов // Вестн. НГАУ. 2022. № 1(62). С. 46–55.
- Petrushin I.S., Filinova N.V., Gutnik D.I. Potato microbiome: relationship with environmental factors and approaches for microbiome modulation // Inter. J. Mol. Sci. 2024. V. 25. P. 750. https://doi.org/10.3390/ijms25020750
- Поляк Ю.М., Сухаревич В.И. Почвенные ферменты и загрязнение почв: биодеградация, биоремедиация, биоиндикация // Агрохимия. 2020. № 3. С. 83–93.
- Алексеева А.А., Фомина Н.В. Оценка воздействия фунгицидов на активность гидролитических почвенных ферментов // Вестн. КрасГАУ. 2017. № 3. С. 144–153.
- Практикум по микробиологии / сост. А.И. Нетрусов, М.А. Егорова, Л.М. Захарчук и др. М.: Изд. центр «Академия», 2005. 608 с.
- Хазиев Ф.Х. Методы почвенной энзимологии. М.: Наука, 2005. 252 с.
- Shi W., Su G., Li M., Wang B., Lin R., Yang Y., Wei T., Zhou B., Gao Z. Distribution of bacterial endophytes in the non-lesion tissues of potato and their response to potato common scab // Front. Microbiol. 2021. № 12. P. 616013. https://doi org/10.3389/fmicb.2021.616013
- Boer S.H., Copeman R.J. Endophytic bacterial flora in solanum tuberosum and its significance in bacterial ring rot diagnosis // Canad. J. Plant Sci. 1974. V. 54. № 1. P. 115–122. https://doi.org/10.4141/cjps74-019
- Битов Х.А., Бжеумыхов В.С. Влияние сидеральных культур на ферментативную активность почвы // Вестн. аграрн. науки. 2023. № 2(101). С. 6–11. https://doi.org/10.17238/issn2587-666X.2023.2.6
- Зинченко М.К. Система биологических показателей при оценке экологического состояния серой лесной почвы на примере стационарного опыта // Владимир. земледелец. 2022. № 1. С. 9–15. https://doi.org/10.24412/2225-2584-2022-1-9-15
- Ларикова Ю.С., Волобуева О.Г. Современные представления об эколого-физиологической роли корневых экссудатов растений (обзорная статья) // Зернобоб. и круп. культ. 2021. № 4(40). С. 93–101.
- Lyu D., Smith D.L. The root signals in rhizospheric inter-organismal communications // Front. Plant Sci. 2022. № 13. P. 1064058. https://doi.org/10.3389/fpls.2022.1064058
- Зинченко М.К., Зинченко С.И. Ферментативная активность серой лесной почвы при различных приемах основной обработки // Достиж. науки и техн. АПК. 2021. Т. 35. № 4. С. 17–21. https://doi.org/10.24411/0235-2451-2021-10402
- Самусик Е.А., Головатый С.Е. Ферментативная активность дерново-подзолистых почв в условиях воздействия выбросов предприятия по производству строительных материалов // Журн. Белорус. гос. ун-та. Экология. 2022. № 1. С. 104–113.
- Jabborova D., Davranov K., Jabbarov Z., Bhowmik S.N., Ercisli S., Danish S., Singh S., Desouky S.E., Elazzazy A.M., Nasif O., Datta R. Hydrolysis of tetrafluoroborate and hexafluorophosphate counter ions in imidazolium-based ionic liquids // ACS Omega. 2022. № 7(39). P. 34779–34788. https://doi.org/10.1021/acsomega.2c02353
- Niewiadomska A., Sulewska H., Wolna-Maruwka A., Ratajczak K., Głuchowska K., Waraczewska Z., Budka A. An Assessment of the influence of co-inoculation with endophytic bacteria and Rhizobia, and the influence of PRP SOL and PRP EBV fertilisers on the microbial parameters of soil and nitrogenase activity in yellow lupine (Lupinus luteus L.) cultivation // Pol. J. Environ. Stud. 2018. V. 27. № 6. P. 2687–2702. https://doi.org/10.15244/pjoes/78890
- Любимова Н.А., Рабинович Г.Ю. Влияние биопрепарата с наночастицами железа на активность почвенных ферментов и урожайность картофеля // Аграрн. наука Евро-Северо-Востока. 2023. Т. 24. № 3. С. 417–429.
- Романов В.Н., Заушинцена А.В., Кожевников Н.В. Применение показателей активности ферментов для оперативной диагностики экологического состояния агрогенных почв // Достиж. науки и техн. АПК. 2019. Т. 33. № 7. С. 44–47. https://doi.org/10.24411/0235-2451-2019-10711
- Зинченко М.К., Автономова И.Н. Активность ферментов в почвенных разностях серой лесной почвы агроландшафтов // Современные тенденции в научном обеспечении агропромышленного комплекса. Суздаль–Иваново, 2022. С. 12–16.
- White J.F., Kingsley K.L., Verma S.K., Kowalski K.P. Rhizophagy cycle: An Oxidative process in plants for nutrient extraction from symbiotic microbes // Microorganisms. 2018. V. 6. № 3. P. 95. https://doi.org/10.3390/microorganisms6030095
Дополнительные файлы




