Управление продуктивностью льна-долгунца путем оптимизации минерального питания
- Авторы: Сорокина О.Ю.1
-
Учреждения:
- Федеральный научный центр лубяных культур
- Выпуск: № 8 (2024)
- Страницы: 42-49
- Раздел: Удобрения
- URL: https://ogarev-online.ru/0002-1881/article/view/263789
- DOI: https://doi.org/10.31857/S0002188124080067
- EDN: https://elibrary.ru/cdwwll
- ID: 263789
Цитировать
Полный текст
Аннотация
В Тверской обл. на дерново-подзолистой легкосуглинистой почве изучили управление продуктивностью разных по срокам созревания сортов льна-долгунца (Зарянка и Дипломат) путем оптимизации их минерального питания. Для расчета дозы минерального питания использовали 3 способа: балансовый, модифицированный Каюмовым, балансовый на компенсацию выноса и по соотношению элементов в удобрении. Соответственно дозы составили N0P0K0 (контроль), N30P0K50, N30P22K80, N30P60K150. Установлено, что несмотря на различные погодные условия, применение удобрений с начальных фаз роста растений льна позволило растениям накапливать бóльшую биомассу: в засушливых условиях в среднем для сортов больше на 58%, в оптимальных условиях водообеспечения – на 45%. Поглощение элементов питания растениями льна-долгунца возрастало с увеличением дозы внесенных элементов. При равной дозе азота в удобрении его количество было больше как в корнях, так и стеблях льна, при увеличении доз фосфора и калия в удобрении. Содержание азота, фосфора и калия в корнях льна позднеспелого сорта Дипломат было больше, чем раннеспелого Зарянка. При оптимизации питания за счет внесения удобрений в дозах N30P22K80 и N30P60K150 доля стеблей в структуре растений льна увеличивалась и составляла у сорта Зарянка 45 и 46%, у сорта Дипломат – 44 и 49% соответственно дозам. Без удобрений доля стебля составила 38%, а доля корней и листьев была самая высокой – 22 и 42%. Продукционный процесс в этом случае был менее рациональный. Позднеспелый сорт Дипломат в среднем за 3 года при внесении всех доз удобрений имел урожайность льносоломы больше на 3.1–3.9 ц/га, чем раннеспелый сорт Зарянка. У раннеспелого сорта Зарянка более высокая доза удобрений N30P60K150 снижала показатели качества: номер длинного волокна и процентономер всего волокна, особенно в засушливый вегетационный период.
Ключевые слова
Полный текст
Введение
В условиях интенсификации сельскохозяйственного производства важнейшей задачей является создание оптимальной системы питания растений, обеспечивающей полную реализацию генетического потенциала сорта с получением максимально возможного урожая с хорошим качеством продукции. Для решения данной задачи следует определиться с дозой удобрений и оптимальным соотношением элементов в них при возделывании льна. Величина дозы зависит от многих факторов: вида предшественника и степени его удобренности, погодных условий периода вегетации, гранулометрического состава и агрохимических показателей почвы, особенностей возделываемого сорта, планируемой урожайности. Нерациональным применением удобрений можно реально снизить качество волокна льна [1].
При выборе доз минеральных удобрений необходимо нацеливаться на получение не только наибольшей прибавки урожайности, но и высокой окупаемости затрат на их применение [2]. Например, на светло-серой лесной почве применение полного минерального удобрения N45Р90K90 позволило получить не только максимальную урожайность льносоломы, но и способствовало увеличению общего выхода волокна (на 5%) и длинного (на 15%) [3]. Исследования на дерново-подзолистой среднесуглинистой почве с низким содержанием гумуса с новым сортом льна-долгунца Феникс показали, что применение (NPK)48–64 позволило получить высокий урожай продукции. Увеличение дозы удобрения приводило к снижению прочности и гибкости волокна [4]. На дерново-подзолистой среднесуглинистой почве при возделывании льна сорта Сурский наибольшую урожайность всего и длинного волокна (2.33 и 2.16 т/га соответственно) и высокое качество стланцевой тресты 2.8 номера обеспечило сочетание 24 млн всхожих семян / га с дозой удобрения N15Р30K60 [5].
Современные сорта имеют более высокое содержание волокна в стебле – 30–35% против 20–23% у старых сортов, что требует оптимизации дозы минерального удобрения, чтобы не вызвать полегание посева [6, 7]. Сортовые особенности влияют на структуру урожая. Наиболее существенно отличаются раннеспелые и позднеспелые сорта [8]. Взаимосвязь между реакцией сорта на высокий фон удобрений и скороспелостью отмечали ряд авторов [9, 10]. Оптимизация минерального питания способствует лучшей направленности продукционного процесса, выраженного в накоплении растениями льна полноценной хозяйственно ценной части урожая – волокна [11].
Цель работы – выявить оптимальные условия минерального питания различных по срокам созревания сортов льна-долгунца для получения высокой продуктивности культуры и качественной льнопродукции.
Методика исследования
Исследование проведено в Тверской обл. на дерново-подзолистой легкосуглинистой на моренном карбонатном суглинке почве. Содержание гумуса в пахотном слое – 1.3%, подвижных фосфора и калия (по Кирсанову) – 217–222 и 86– 100 мг/кг соответственно, рНKCl 5.2 ед. [12].
Для изучения влияния питания на продукционный процесс разных по срокам созревания сортов льна-долгунца использовали дозы удобрений, рассчитанные разными методами:
1 – балансовый метод на запланированный урожай льносоломы (с учетом побочной) 40 ц/га по формуле, предложенной ВИУА и модифицированной Каюмовым [13]. Вынос питательных веществ 1 ц основной продукции и соответствующей ей побочной, кг: P2O5 – 0.55, K2O – 1.97, N – 1.3 [14, с. 34]. При повышенном содержании фосфора (в нашем случае от 217 до 222 мг/кг) по этому способу расчета внесение фосфора не требовалось. Доза азота при этом методе расчета составляла значительную величину (75–80 кг/га). Так как лен возделывают на легкосуглинистой почве и по данным многих опытов ОП НИИЛ и др. исследователей [15, 16] наибольшая доза азота для льна равна 30 кг/га. Соответственно, в этом варианте доза для внесения составила N30Р0K50 (80 кг д. в./га);
2 – балансовый метод расчета доз фосфорных и калийных удобрений по методу компенсации их выноса урожаями: P2O5 – на 100, K2O – на 100% [15, с. 100]. Доза составила N30Р22K80 (132 кг д. в./га);
3 – по соотношению элементов в удобрениях: N : P : K = 1 : 2 : 5, что соответствовало дозе N30Р60K150 (240 кг д. в./га) [17, с. 122].
Исследования проводили с раннеспелым сортом Зарянка и позднеспелым Дипломат.
Наблюдения и исследования проводили в соответствии с [18]. Агротехника возделывания – общепринятая в данной зоне. Норма высева – 20 млн всхожих семян/га, способ посева – узкорядный. Площадь делянки 33 м2, повторность четырехкратная.
В растениях определяли содержание общего фосфора методом электроколориметрии, калия – методом пламенной фотометрии, азота – колориметрическим феноловым методом в модификации Кудеярова из одной навески после мокрого сжигания [18]. Учет урожайности осуществляли сплошным методом с каждой делянки с последующим пересчетом на стандартную влажность 19%, нормированную засоренность 5% [19]. Показатели качества волокна определяли по методике [20].
Экспериментальные данные обрабатывали методом дисперсионного анализа.
Результаты и их обсуждение
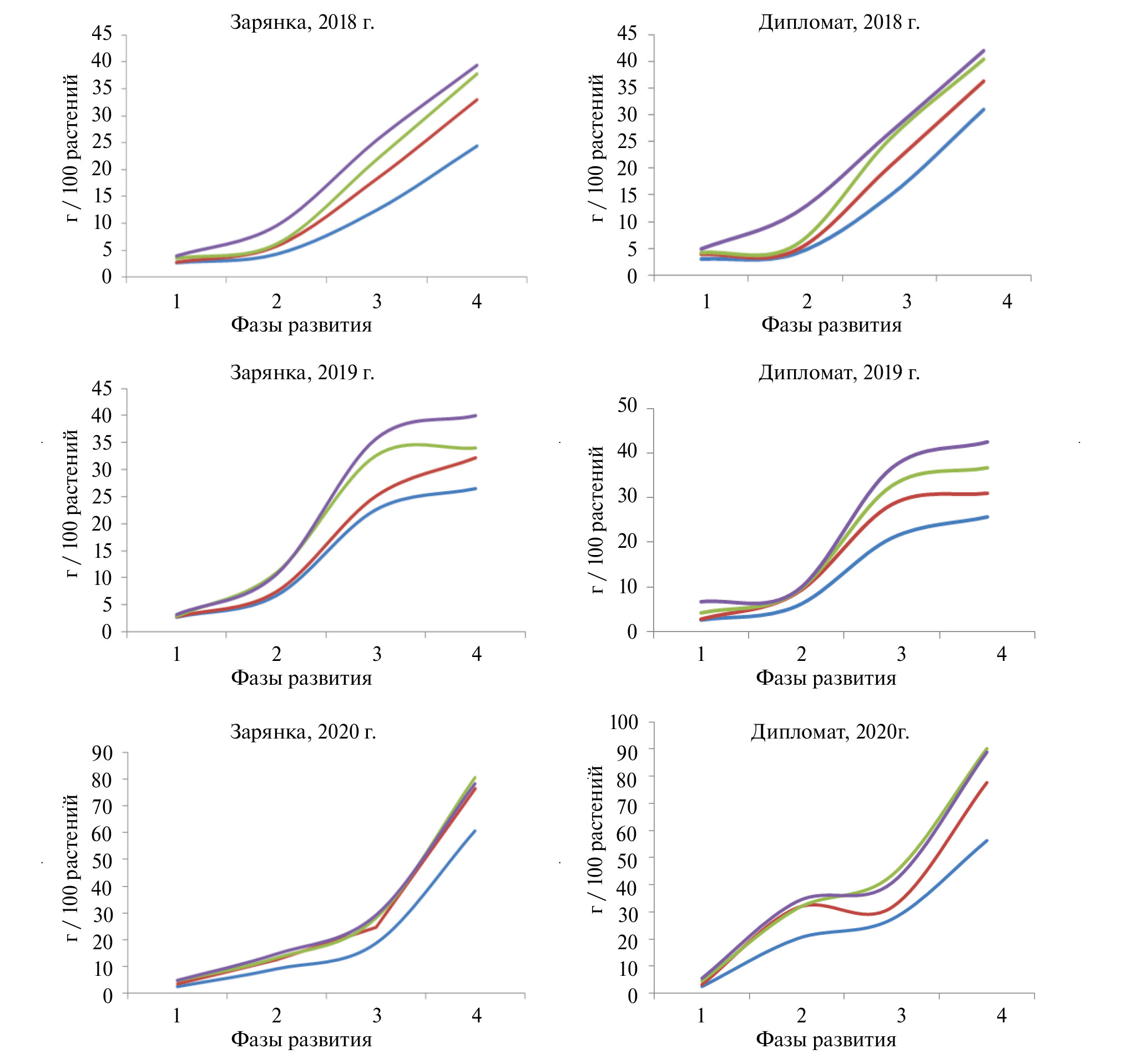
В продукционном процессе роль минеральных удобрений высока. С фазы развития “елочка” отметили преимущество применения полных минеральных удобрений в накоплении биомассы растениями как раннеспелого сорта Зарянка, так и позднеспелого сорта Дипломат. При графическом изображении данных прироста воздушно-сухой массы наблюдали, что кривые прироста по годам несколько отличались (рис. 1).
Гидротермические условия вегетационных периодов влияли на этот процесс. Например, в 2018 г. гидротермический коэффициент (ГТК) за вегетацию был равен 1.09. Фазы развития льна прошли в более короткий срок. Вегетационный период у раннеспелого сорта Зарянка составил 67 сут, у позднеспелого сорта Дипломат – 80 сут, и было накоплено воздушно-сухой массы 40 и 43 г/100 растений соответственно сортам в вариантах полного применения удобрений. В 2020 г. ГТК за этот период был равен 2.15, и продолжительность вегетации составила 83 и 90 сут соответственно сортам. Накопление воздушно-сухой массы к концу вегетации было в 2 раза больше и составило 80 и 90 г/100 растений соответственно.
Рис. 1. Накопление воздушно-сухой массы растениями льна-долгунца в фазах вегетации: 1 – “елочка”, 2 – быстрый рост, 3 – бутонизация, 4 – цветение.
Увеличение массы растений как у сорта Зарянка, так и у сорта Дипломат, происходило с ростом дозы NPK до 240 кг д. в./га, начиная с фазы “елочка” и до окончания вегетации. Увеличение массы растений льна при применении дозы (NPK)132 в некоторые годы приближалось к накоплению биомассы в варианте применения более высокой дозы, но в среднем урожайность была меньше. В первых фазах развития растения льна в варианте без внесения фосфора наращивали меньшую массу, чем в вариантах с внесением всех элементов. В более благоприятном вегетационном периоде (2020 г.), биомасса растений в варианте без фосфора приблизилась к варианту внесения полного удобрения у раннеспелого сорта Зарянка, а у позднеспелого сорта Дипломат прирост массы хотя и приближался на первых этапах к вариантам с полным внесением удобрений, но к цветению заметно был меньше (рис. 1). Оценка гидротермических условий (за 72 года) по величине коэффициента ГТК (оптимальный – от 1.0 до 2.0) за вегетационный период для льна-долгунца (май–август) показала, что благоприятными они бывают в 60% вегетационных периодов [21].
Таблица 1. Влияние различных доз удобрений на поглощение и распределение элементов питания (NPK) в растениях льна (на 22-е сут после всходов, среднее за 3 года), мг/10 растений
Доза удобрений | Стебель | Корень | ΣNPK стебель + корень | ||||||
N | P2O5 | K2O | ΣNPK | N | P2O5 | K2O | ΣNPK | ||
Сорт Зарянка | |||||||||
Без удобрений | 9.5 | 1.8 | 8.4 | 19.7 | 1.36 | 0.34 | 1.97 | 3.67 | 23.4 |
N30P0K50 | 13.4 | 2.4 | 12.6 | 28.4 | 1.72 | 0.43 | 2.68 | 4.83 | 33.2 |
N30P22K80 | 14.2 | 2.7 | 16.1 | 33.0 | 1.86 | 0.46 | 3.22 | 5.54 | 38.5 |
N30P60K150 | 16.0 | 3.3 | 19.8 | 39.1 | 2.04 | 0.53 | 4.07 | 6.64 | 45.7 |
Сорт Дипломат | |||||||||
Без удобрений | 9.4 | 1.86 | 8.7 | 20.0 | 1.40 | 0.36 | 2.28 | 4.04 | 24.0 |
N30P0K50 | 13.8 | 2.5 | 12.4 | 28.7 | 2.11 | 0.47 | 3.87 | 6.45 | 35.2 |
N30P22K80 | 14.1 | 2.77 | 16.2 | 33.0 | 1.95 | 0.51 | 3.41 | 5.87 | 38.9 |
N30P60K150 | 17.0 | 3.43 | 20.2 | 40.6 | 2.44 | 0.58 | 4.81 | 7.83 | 48.5 |
Применение различных доз минеральных удобрений повлияло на поглощение и распределение элементов питания в молодых растениях льна. В варианте без удобрений было отмечено значительно меньшее как суммарное поглощение, так и отдельных элементов. В варианте без фосфорных удобрений поступление фосфора как в стебли, так и в корни, было меньше, чем в вариантах с полным внесением элементов, но больше, чем в варианте без удобрений. Доза азота во всех вариантах применения удобрений была одинаковой, а поступление его в растения льна увеличивалось с увеличением дозы фосфора и калия.
При поглощении калия растениями льна отмечена четкая закономерность. Чем больше была доза внесенного калия, тем больше было его поглощение. Позднеспелый сорт Дипломат в корнях накапливал больше элементов питания, чем раннеспелый сорт Зарянка (табл. 1).
Перераспределение элементов из корня в стебель зависело от метеорологических условий периода вегетации и сорта. В 2020 г. элементы питания сразу переходили в стебель льна. Азота было в 16 раз больше в стебле, чем в корнях, фосфора – в 14 раз, калия – в 8 раз у сорта Зарянка. В 2019 г. соотношение содержания элементов в стебле и корне было минимальным (рис. 2).
Дозы удобрений, рассчитанных разными способами, повлияли на формирование структуры растений льна. Без применения удобрений растения льна, стремясь получить питание, увеличивали долю корней и листьев в ущерб стеблей – основной продукции, ради которой возделывают лен-долгунец. Например, в фазе развития “быстрый рост” в варианте без применения удобрений доля корней и листьев в структуре растения была самой высокой – 22 и 40% (сорт Зарянка), 42% (сорт Дипломат) соответственно, а доля стеблей – самой низкой: 38% у сорта Зарянка и 36% у сорта Дипломат. Наибольшая доля стеблей у сорта Зарянка (45 и 46%) и у сорта Дипломат (44 и 49%) сформировалась при оптимизации питания за счет внесения удобрений в дозах N30P22K80 и N30P60K120 (рис. 3).
Рис. 2. Соотношение содержания элементов питания в стеблях и корнях растений льна-долгунца в зависимости от года и сорта (среднее в вариантах доз удобрений, на 22-е сут вегетации).
Рис. 3. Влияние дозы удобрения на соотношение корни : стебли : листья в структуре растений льна-долгунца в фазе быстрого роста, %. Варианты: 1 – без удобрений, 2 – без фосфора N30P0K50, 3 – N30P22K50 или (NPK)132, 4 – N30P60K150 или (NPK)240.
Продукционный процесс в этих вариантах был оптимальным для получения основной продукции льна-долгунца – стеблей (волокна).
Наиболее высокая урожайность льносоломы в среднем за 3 года была получена при применении наибольшей дозы минерального удобрения при применении расчета по соотношению элементов питания в удобрении N : P : K = 1 : 2 : 5. В отдельные годы урожайность льносоломы в варианте расчета на компенсацию выноса (соотношение N : P : K = 1 : 0.7 : 3.6) была близкой (в пределах ошибки опыта). Позднеспелый сорт Дипломат в среднем за 3 года во всех вариантах удобрения имел урожайность льносоломы больше на 3.1–3.9 ц/га, чем раннеспелый сорт Зарянка. Урожайность льносемян в меньшей степени зависела от дозы удобрения и сорта, а больше от погодных условий в момент цветения и налива семян. При всех способах расчета доз удобрений в среднем за 3 года урожайность семян льна была больше контроля без удобрений на 1.2– 1.6 ц/га у сорта Зарянка и на 1.0– 1.5 ц/га у сорта Дипломат (табл. 2).
Таблица 2. Влияние различных доз удобрений на урожайность льна-долгунца, ц/га
Удобрения | 2018 г. | 2019 г. | 2020 г. | Среднее за 3 года | ||||
1 | 2 | 1 | 2 | 1 | 2 | 1 | 2 | |
Сорт Зарянка | ||||||||
Без удобрений | 29.4 | 2.3 | 24.0 | 5,1 | 25.1 | 7.2 | 24.1 | 4.9 |
N30P0K50 | 28.5 | 2.6 | 31.0 | 7.9 | 29.5 | 7.7 | 29.7 | 6.1 |
N30P22K80 | 33.3 | 2.8 | 36.7 | 7.1 | 39.8 | 9.2 | 36.6 | 6.4 |
N30P60K150 | 38.0 | 1.8 | 39.6 | 8.1 | 40.7 | 9.7 | 39.4 | 6.5 |
НСР05 | 2.9 | 0.5 | 3.3 | 0.8 | 4.2 | 1.2 | ||
Сорт Дипломат | ||||||||
Без удобрений | 28.0 | 2.1 | 22.2 | 6.5 | 24.9 | 6.3 | 25.0 | 5.0 |
N30P0K50 | 32.1 | 2.5 | 31.3 | 7.3 | 37.4 | 8.2 | 33.6 | 6.0 |
N30P22K80 | 36.5 | 2.0 | 38.9 | 7.7 | 43.6 | 9.0 | 39.7 | 6.2 |
N30P60K150 | 42.6 | 2.8 | 40.5 | 7.4 | 46.1 | 9.5 | 43.1 | 6.5 |
НСР05 | 3.2 | 0.6 | 4.1 | 0.7 | 4.0 | 0.8 | ||
Примечание. В графе 1 – льносолома, 2 – семена.
Таблица 3. Влияние удобрений на качество льносоломы (№ длинного волокна и проценто-номер всего волокна)
Вариант | № длинного волокна | %№ всего волокна | ||||||
2018 г. | 2019 г. | 2020 г. | среднее за 3 года | 2018 г. | 2019 г. | 2020 г. | среднее за 3 года | |
Сорт Зарянка | ||||||||
Без удобрений | 8.7 | 10.4 | 9.3 | 9.5 | 147 | 205 | 169 | 174 |
N30P0K50 | 8.8 | 10.5 | 9.7 | 9.7 | 154 | 200 | 231 | 194 |
N30P22K80 | 9.9 | 9.6 | 10.5 | 10.0 | 182 | 178 | 263 | 208 |
N30P60K150 | 9.6 | 9.7 | 9.7 | 9.7 | 171 | 175 | 202 | 183 |
Сорт Дипломат | ||||||||
Без удобрений | 9.1 | 8.5 | 10.3 | 9.3 | 156 | 238 | 221 | 205 |
N30P0K50 | 9.3 | 8.8 | 10.5 | 9.5 | 232 | 214 | 232 | 226 |
N30P22K80 | 10.2 | 8.8 | 11.4 | 10.1 | 219 | 223 | 278 | 240 |
N30P60K150 | 10.7 | 9.5 | 11.2 | 10.5 | 232 | 229 | 261 | 241 |
Регуляторы роста растений
Технологическая оценка льняной соломы показала, что с увеличением продолжительности вегетационного периода до биологически обусловленного, когда элементы питания поступали более продолжительное время и более равномерно (как в 2020 г.), комплексный показатель качества льносоломы – проценто-номер (%№) всего волокна и номер длинного волокна (№) был больше, особенно у позднеспелого сорта Дипломат, у которого более высокая доза удобрений (N30P60K150) не снизила этот показатель. В среднем за 3 года более высокий комплексный показатель %№ всего волокна и номер длинного волокна у раннеспелого сорта Зарянка был отмечен при применении дозы N30P22K80. Более высокая доза удобрения N30P60K150 увеличивала урожайность льносоломы, но снижала показатели ее качества. У позднеспелого сорта Дипломат более высокая доза удобрения с широким соотношением элементов в нем позволяла получить наибольшую урожайность льносоломы с хорошим качеством (табл. 3).
Заключение
Таким образом, установлено, что управление продуктивностью льна-долгунца путем оптимизации питания было эффективным. Несмотря на различные погодные условия, применение удобрений с начальных фаз роста растений льна позволило ему накапливать большую биомассу: в засушливый период вегетации в среднем для сортов – на 58, в оптимальных условиях водообеспечения – на 45% больше, чем в контроле без удобрений.
Поглощение элементов питания растениями льна-долгунца увеличивалось с ростом дозы вносимых удобрений. Поступление азота как в корни, так и в стебли, возрастало при увеличении доз фосфора и калия, при выравненной его дозе в удобрении. У позднеспелого сорта Дипломат в корнях содержание элементов питания было больше, чем у раннеспелого сорта Зарянка. На перераспределение элементов питания из корней в стебель заметное влияние оказывали температурный и влажностный режим. В разные годы количество поступивших элементов различалось: азота – в 1.8–4.0 раза, фосфора – в 1.8–3.5 раза, калия – в 1.3–3.2 раза.
При оптимизации питания за счет внесения удобрений в дозах N30P22K80 (или (NPK)132) и N30P60K150 (или (NPK)240) доля стеблей в структуре растений льна возрастала. В фазе “быстрый рост” его доля составила у сорта Зарянка 45 и 46%, у сорта Дипломат – 44 и 49% соответственно дозам. Без применения удобрений доля стеблей была самой низкой: 38% у сорта Зарянка и 36% у сорта Дипломат, а доля корней и листьев – самой высокой (22 и 40% у сорта Зарянка и 42% у сорта Дипломат).
Отмечали положительное действие фосфорного удобрения (22 кг/д.в.) при добавлении его к дозе N30K80 на урожайность льносоломы на дерново-подзолистой легкосуглинистой почве с высоким содержанием фосфора. Повышение урожайности льносоломы раннеспелого сорта Зарянка в среднем за 3 года составило 6.9 ц/га и 0.3 ц/га – льносемян, позднеспелого Дипломат – 6.1 и 0.2 ц/га соответственно в сравнении с вариантом без фосфора N30P0K50.
Наибольшая урожайность льносоломы в среднем за 3 года была получена при внесении дозы удобрений, полученной при расчете по соотношению элементов питания: N : P : K = 1 : 2 : 5 (или (NPK)240). В отдельные годы урожайность льносоломы в варианте расчета доз удобрений на компенсацию выноса (1 : 0.7 : 3.6 = (NPK)132) была близкой к варианту (NPK)240. Позднеспелый сорт Дипломат в среднем за 3 года имел урожайность больше на 3.1–3.9 ц/га, чем раннеспелый сорт Зарянка. Урожайность льносемян при всех способах расчета удобрений была больше контроля без удобрений на 1.2–1.6 ц/га у сорта Зарянка и на 1.0– 1.5 ц/га – у сорта Дипломат.
Применение более высокой дозы удобрения (N30P60K150) под раннеспелый сорта Зарянка снижало номер длинного волокна, и проценто-номер всего волокна особенно в засушливый вегетационный период. Снижение качественных показателей у позднеспелого сорта Дипломат не отмечено.
Установлено, что балансовый метод расчета по Каюмову в меньшей степени подходит для расчета дозы удобрения под лен-долгунец, т. к. расчетная доза азота сильно завышена, а фосфора – занижена.
Об авторах
О. Ю. Сорокина
Федеральный научный центр лубяных культур
Автор, ответственный за переписку.
Email: olga-sorokina@bk.ru
Россия, 170041 Тверь, Комсомольский просп., 17/56
Список литературы
- Черников В.Г., Ростовцев Р.А., Кудрявцев Н.А., Ущаповский И.В., Попов Р.А., Скворцов С.С. Влияние факторов окружающей среды на урожай и качество льняного сырья // Вестн. аграрн. науки. 2020. № 5(86). С. 3–10.
- Система оценки влияния агрохимических факторов на формирование урожайности льна-долгунца. М.: ВНИИА, 2016. 124 с.
- Белоусова Е.Г., Спиридонов А.В., Титова В.И. Влияние удобрений на урожайность льна и качество льнопродукции при выращивании его на светло-серой лесной легкосуглинистой почве // Международ. сел.-хоз. журн. 2019. № 1(367). С. 32–35.
- Гаврилова А.Ю., Конова А.М. Урожайность льна-долгунца и качество волокна в зависимости от возрастающих доз минеральных удобрений // Вестн. Ульяновск. ГСХА. 2022. № 2(58). С. 52–59.
- Кузьменко Н.Н., Сухопалова Т.П., Ильина В.И. Влияние агротехнологических элементов возделывания на продукционный процесс льна-долгунца // Перм. аграрн. вестн. 2019. № 1. С. 48–54.
- Gupta M., Kour S., Gupta V., Bharat R., Sharma C. Effect of different doses of fertilizers in yield and NPK uptake of linseed (Linum usitatissimum L.) // Bangladesh J. Bot. 2017. V. 46(2). P. 575–581.
- Понажев В.П., Медведева О.В. Современные достижения селекции и семеноводства для выращивания льна // Достиж. науки и техню АПК. 2015. Т. 29. № 9. С. 36–39.
- Карпунин Б.Ф. Прогнозирование структуры урожая у льна-долгунца для применения в точном земледелии // Земледелие. 2016. № 1. С. 5–7.
- Носевич М.А., Новохацкая Д.М. Урожай и качество волокна льна-долгунца в зависимости от сортовых особенностей, норм высева и применения биопрепаратов // Плодородие. 2015. № 6. С. 24–27.
- Ториков В.Е., Шаков В.М., Романова И.Н. Эффективность агроприемов возделывания новых сортов льна-долгунца на юго-западе Нечерноземья России // Вестн. Ижевск. ГСХА. 2016. № 2. С. 16–25.
- Сорокина О.Ю. Оценка ассортимента удобрений и способов их внесения под новый сорт льна-долгунца Универсал // Аграрн. наука. 2021. № 6(350). С. 55–59.
- Практикум по агрохимии: Учеб. пособ. / Под ред. В.Г. Минеева. 2-е изд., перераб. и доп. М.: Изд-во МГУ, 2001. 689 с.
- Каюмов М.К. Программирование урожаев сельскохозяйственных культур. М.: Агропромиздат, 1989. 56 с.
- Тихомирова В.Я., Сорокина О.Ю., Кузьменко Н.Н., Нечушкин С.М. Усовершенствованная система применения удобрений в льняном севообороте. Торжок: ООО “Фирма Вариант”, 2005. С. 14–16.
- Тихомирова В.Я., Сорокина О.Ю. Лен-долгунец. Биологические особенности. Управление формированием урожая и его качество: научн. изд-е. Тверь: Тверь. гос. ун-т, 2011. С. 100–101.
- Golub I.A., Blokhina I.N. Reaction of Belarusian and French fiber flax samples on nitrogen doses along the duration of the growing season, yield of seeds and fiber // Crop Farm. Plant Grow. 2020. V. 2. P. 52–55.
- Кошелева Л.Л. Физиология питания и продуктивность льна-долгунца. Минск: Наука и техника, 1980. 200 с.
- Методические указания по проведению агрохимических исследований со льном-долгунцом. М.: Типография ВАСХНИЛ, 1972. 49 с.
- ГОСТ 14897-69 Солома льняная. Изд-е офиц. М.: Изд-во стандартов, 1979. 16 с.
- Методические указания по проведению технологической оценки льносоломы и опытов по первичной обработке льна. Торжок: ВНИИЛ, 1972. 38 с.
- Сорокина О.Ю. Продуктивность льна-долгунца в зависимости от метеоусловий, удобрений и сорта // Агрохим. вестн. 2022. № 3. С. 23–27.
Дополнительные файлы





