Influence of increasing doses of nitrogen fertilizers on the productivity of field crops and the potassium regime of sod-podzolic soil
- Authors: Vasbieva M.T.1
-
Affiliations:
- Perm Research Institute of Agriculture – branch of the PFRC Ural Branch of the RAS
- Issue: No 11 (2024)
- Pages: 12-18
- Section: Fertilizers
- URL: https://ogarev-online.ru/0002-1881/article/view/263722
- DOI: https://doi.org/10.31857/S0002188124110021
- EDN: https://elibrary.ru/aihepw
- ID: 263722
Cite item
Full Text
Abstract
In a long-term experiment launched in 1972 on sod-podzolic heavy loamy soil, the effect of increasing doses of nitrogen fertilizers on the productivity of field crops and the potash regime of the soil was studied. The scheme of the experiment included the following options: without fertilizers, P60K60 (background), background + N30, background + N60, background + N90, background + N120. The analysis of crop yields in the 6th rotation of the crop rotation (2013–2019) showed that the most effective application for spring crops (wheat, barley, oats) was N30P60K60, for potatoes – N60P60K60. The highest yield of clover hay was noted in the P60K60 and N30P60K60 variants. The maximum productivity of an 8-field crop rotation (4.19 tons of grain/ha/year) and a payback of 1 kg of mineral fertilizers (8.7 kg of grain) was obtained by applying N30P60K60. Studies of the total potassium content, its easily exchangeable, mobile and non-exchangeable compounds in the soil were carried out at the end of the 6th rotation of the crop rotation in a layer of 0–60 cm. It was revealed that the long-term use of nitrogen fertilizers led to an increase in the mobility of potassium compounds in the soil. A significant increase in the content of easily exchangeable and mobile potassium compounds was found by 1.2–1.9 times relative to the background in layers 0–20 and 40–60 cm of soil when N60–120 was applied. With prolonged use of the N30 dose, only trends towards an increase in the content of these forms of potassium were noted, which could be the result of using a low dose or due to the maximum potassium removal by plants per rotation in this variant. The application of the maximum dose of fertilizers (N120P60K60) led to an increase in non-exchangeable potassium compounds (by 1.1 times), which may have been due to the destruction of the mineral part of the soil. A comparison of the P60K60 and N60P60K60 variants showed that the maintenance of the content of mobile potassium compounds at the initial level (1972) with the use of a complete mineral fertilizer was largely due to the influence of nitrogen fertilizers on the solubility and availability of potassium compounds. The effect of prolonged use of phosphorus-potassium fertilizers P60K60 and increasing doses of nitrogen fertilizers on the total content of potassium in sod-podzolic heavy loamy soil has not been revealed.
Full Text
ВВЕДЕНИЕ
Получение высоких и стабильных урожаев возделываемых культур – основная задача сельскохозяйственного производства, выполнение которой невозможно без грамотного применения удобрений. Объективную оценку потребности в удобрениях дают исследования в длительных опытах применительно к конкретным почвенно-климатическим условиям для каждой зоны России [1–3]. Использование любой системы удобрения имеет свои последствия относительно изменений плодородия почвы. К числу приоритетных и требующих пристального внимания направлений исследований в аграрной науке относится изучение калийного режима почв. Калий – важный элемент питания, который играет ключевую роль в различных физиологических и биохимических процессах растений [4–6]. При длительном некомпенсируемом выносе сельскохозяйственными культурами калия в почве нарушаются механизмы саморегуляции содержания почвенных калийных форм и происходит истощение их подвижных фракций, деградирует эффективное и потенциальное плодородие почвы [7–9]. Длительное применение удобрений оказывает влияние на изменение калийного фонда почвы, его направленность обусловлена генетическими свойствами почв, видами, дозами и длительностью внесения удобрений [8, 10, 11]. В некоторых работах отмечено, что в результате применения высоких доз (>90 кг д. в./га) минеральных удобрений (особенно физиологически кислых), а также при интенсивной механической обработке почвы происходит изменение (нарушение) минералогического и гранулометрического состава почвы [12–14]. В исследовании [12] наиболее существенные изменения отмечены при внесении высоких доз азотного, калийного и полного минерального удобрения. В результате кислотного гидролиза минералов произошло механическое дроб- ление почвенной массы и обеднение илом пахотного слоя, что вызвало заметное сокращение ближнего резерва калия и ослабление способности почвы к восполнению подвижной формы. Систематическое применение N120Р150K120 привело также к существенным изменениям в соотношении минеральных фаз и структуре слоистых силикатов, направленным в сторону необратимой трансформации и разрушения минеральной части почвы.
Цель работы – изучение влияния возрастающих доз азотных удобрений на продуктивность полевых культур полевого севооборота и калийный режим дерново-подзолистой тяжелосуглинистой почвы.
МЕТОДИКА ИССЛЕДОВАНИЯ
Исследование проводили в Пермском НИИСХ – филиале ПФИЦ УрО РАН в длительном опыте 1972 г. закладки. Схема опыта, варианты: 1 – без удобрений (контроль), 2 – P60K60 (фон), 3 – фон + N30, 4 – фон + N60, 5 – фон + N90, 6 – фон + N120. Размещение вариантов систематическое, повторность трехкратная. Общая площадь делянки 95 м2. Исследование проводили в полевом 8-польном парозернопропашном севообороте с чередованием культур: чистый пар–озимая рожь–картофель–яровая пшеница с подсевом клевера–клевер 1-го года пользования (г. п.)–клевер 2-го г. п. – ячмень–овес. Опыт заложен на участке со следующими агрохимическими показателями: содержание гумуса – 2.3%, рНKCl – 5.3, гидролитическая кислотность – 2.8, обменная кислотность – 0.028 и сумма поглощенных оснований – 18.8 мг-экв/100 г, степень насыщенности основаниями – 87%, содержание подвижного фосфора и калия – 115 и 170 мг/кг соответственно. Формы примененных удобрений – аммонийная селитра или мочевина, двойной или простой суперфосфат, калий хлористый. Удобрения вносили под зерновые культуры и картофель, в посеве клевера изучали последействие. Солому в опыте с 2013 г. не отчуждали с поля.
Почвенные образцы отбирали в конце 6-й ротации севооборота (2018–2019 гг.) по слоям 0–20, 20–40, 40–60 см. Отбор проводили буром в 5-ти точках на делянке, образцы смешивали. Основные агрохимические показатели почвы определяли в соответствии с ГОСТами и методиками ЦИНАО. Содержание различных форм калия изучали с использованием следующих методов: легкоподвижной – в 0.01 М СаСl2 вытяжке, подвижной – по Кирсанову, необменной – по Гедройцу. Валовое содержание калия определяли после мокрого озоления в смеси концентрированной серной кислоты и пероксида водорода [15]. Статистическую обработку данных проводили по Б.А. Доспехову (1985) с использованием Microsoft Excel.
Исследование проводили в IV агроклиматическом районе Пермского края. В физико-географическом отношении район находится в подзоне южной тайги и хвойно-широколиственных лесов. Климат – умеренно-континентальный с холодной, продолжительной, снежной зимой и теплым коротким летом. Сумма средних суточных температур >10°С составляет 1700–1900°С. Переход среднесуточных температур воздуха через 10°С весной приходится на 2-ю декаду мая, осенью – на конец 1-й–начало 2-й декады сентября. Длительность периода активной вегетации в среднем составляет 115 сут, с температурой >15°C – 60 сут. Район относится к зоне достаточного увлажнения: средний ГТК = 1.4, осадков за год выпадает 470–500 мм, бóльшая часть которых приходится на теплое полугодие – с апреля по октябрь (66–77%). Число дней со снежным покровом в среднем составляет 176 [16].
РЕЗУЛЬТАТЫ И ИХ ОБСУЖДЕНИЕ
Анализ урожайности сельскохозяйственных культур в 6-й ротации севооборота (2013–2019 гг.) показал, что применение P60K60 обеспечило достоверное увеличение урожайности клубней картофеля на 27% и сена клевера лугового 2-го г. п. – почти в 2 раза (табл. 1).
Таблица 1. Изменение урожайности полевых культур и продуктивности севооборота при длительном применении возрастающих доз азотных удобрений (6-я ротация, 2013–2019 гг.)
Вариант | Урожайность, т/га | Продуктивность, т з. е./га/ год | Окупаемость 1 кг д. в. NPK, кг з. е. | ||||||
озимая рожь (зерно) | картофель (клубни) | яровая пшеница (зерно) | Клевер 1-го г. п. (сено 16%) | Клевер 2-го г. п. (сено 16%) | ячмень (зерно) | овес (зерно) | |||
Без удобрений | 4.5 | 18.4 | 3.1 | 4.5 | 2.6 | 3.7 | 3.5 | 3.38 | – |
P60K60 (фон) | 4.6 | 23.4 | 3.2 | 5.8 | 4.9 | 3.7 | 4.0 | 3.86 | 6.4 |
Фон + N30 | 4.7 | 26.3 | 3.6 | 5.7 | 5.0 | 4.3 | 4.4 | 4.19 | 8.7 |
Фон + N60 | 3.9 | 28.4 | 3.5 | 5.1 | 3.9 | 4.4 | 3.4 | 3.88 | 4.5 |
Фон + N90 | 3.9 | 28.9 | 3.7 | 5.3 | 3.5 | 4.1 | 3.6 | 3.88 | 3.8 |
Фон + N120 | 3.9 | 24.1 | 3.2 | 5.0 | 4.7 | 4.0 | 4.4 | 3.80 | 2.8 |
НСР05 | 0.6 | 4.0 | 0.2 | Fф < Fт | 1.4 | 0.4 | 0.6 | 0.32 | – |
Использование азотных удобрений в дозе 30 кг д. в./га на фоне P60K60 привело к росту урожайности яровых зерновых культур (пшеницы, ячменя, овса) на 16–26%, клубней картофеля – на 43% и сена клевера лугового 2-го года пользования (г.п.) – в 2 раза относительно контрольного варианта. Дальнейшее увеличение дозы азотных удобрений не оказало существенного влияния на урожайность яровой пшеницы, ячменя, овса и клевера лугового. Отмечены тенденции к уменьшению урожайности озимой ржи что, по-видимому, было связано с полеганием культуры. Более отзывчивой культурой на увеличение дозы азотных удобрений на фоне P60K60 оказался картофель. Выделился вариант N60P60K60, в котором урожайность клубней составила 28.4 т/га (на 54% больше контроля).
Максимальная продуктивность полевого 8-польного севооборота (4.19 т з. е./га/год) и окупаемость 1 кг д. в. удобрений (8.7 кг з. е.) в опыте получена при использовании дозы азотных удобрений N30 на фоне P60K60. Наименьшая продуктивность севооборота (3.80 т з. е./га/год) и окупаемость удобрений (2.8 кг з. е.) отмечена в варианте N120P60K60.
Баланс калия в почве в вариантах в 6-й ротации севооборота варьировал от –31 до –52 кг/га (табл. 2).
Таблица 2. Хозяйственный баланс калия в полевом восьмипольном севообороте (6-я ротация)
Вариант | Вынос | Поступило* | Баланс +/–, кг/га в год | Интенсивность баланса, % |
кг/га за ротацию | ||||
Без удобрений | 442 | 26 | –52 | 6 |
P60K60 (фон) | 581 | 326 | –32 | 56 |
Фон + N30 | 636 | 326 | –39 | 51 |
Фон + N60 | 602 | 326 | –35 | 54 |
Фон + N90 | 602 | 326 | –35 | 54 |
Фон + N120 | 575 | 326 | –31 | 57 |
* С удобрениями и семенами.
Внесение калия хлористого в дозе 60 кг д. в./га под зерновые культуры и картофель обеспечило интенсивность баланса 51–57%. Солому в опыте в 6-й ротации с поля не отчуждали. За 48 лет ведения опыта (с учетом выноса соломой в 1–5-й ротациях) сельскохозяйственные культуры в зависимости от варианта потребили из почвы от 3.3 до 4.9 т K2O/га.
Содержание в почве легкообменных, подвижных и необменных соединений калия при длительном внесении P60K60 сохранилось на уровне контрольного варианта (табл. 3).
Таблица 3. Изменение содержания легкообменных, подвижных и необменных соединений калия по профилю почвы при длительном применении возрастающих доз азотных удобрений (6-я ротация), мг/кг
Вариант | Легкообменные | Подвижные | Необменные | ||||||
слой почвы, см | |||||||||
0–20 | 20–40 | 40–60 | 0–20 | 20–40 | 40–60 | 0–20 | 20–40 | 40–60 | |
Без удобрений | 12.5 | 9.3 | 5.1 | 157 | 155 | 159 | 705 | 710 | 689 |
P60K60 (фон) | 13.0 | 6.9 | 3.7 | 162 | 141 | 152 | 738 | 703 | 641 |
Фон + N30 | 17.1 | 6.5 | 5.3 | 185 | 147 | 152 | 761 | 751 | 741 |
Фон + N60 | 20.0 | 8.4 | 4.8 | 201 | 156 | 145 | 747 | 745 | 677 |
Фон + N90 | 24.1 | 9.4 | 6.6 | 212 | 160 | 158 | 714 | 735 | 676 |
Фон + N120 | 22.6 | 8.3 | 7.2 | 200 | 151 | 150 | 808 | 723 | 686 |
НСР05 | 5.2 | Fф < Fт | 1.8 | 25 | Fф < Fт | Fф < Fт | 66 | Fф < Fт | Fф < Fт |
Применение азотных удобрений на фоне P60K60 привело к увеличению подвижности калия в почве. Достоверное увеличение (относительно фона) содержания легкообменных и подвижных соединений калия отмечено при внесении азотных удобрений от 60 до 120 кг д. в./га в слое 0–20 см почвы в 1.5–1.9 и 1.2–1.3 раза соответственно. Повышение количества легкообменных соединений калия (относительно фона) наблюдали также в слое 40–60 см в 1.8–1.9 раза при применении высоких доз азотных удобрений N90 и N120. При длительном использовании минимальной дозы азотных удобрений N30 отмечены только тенденции к увеличению содержания легкообменных (в 1.3 раза) и подвижных (в 1.1 раза) соединений калия в почве. Полученные результаты могли быть обусловлены не только наименьшим влиянием азотных удобрений при их низкой дозе на растворимость калийных соединений, но и максимальным выносом калия растениями за ротацию в данном варианте N30P60K60. Внесение максимальной дозы азотных удобрений N120P60K60 привело к достоверному увеличению необменных соединений калия в 1.1 раза в слое 0–20 см почвы.
Валовое содержание калия в дерново-подзолистой тяжелосуглинистой почве при длительном применении фосфорно-калийных удобрений и возрастающих доз азотных удобрений относительно контрольного варианта существенно не изменилось (табл. 4).
Таблица 4. Изменение валового содержания калия по профилю почвы при длительном применении возрастающих доз азотных удобрений (6-я ротация)
Вариант | Слой почвы, см | ||
0–20 | 20–40 | 40–60 | |
содержание, г/кг | |||
Без удобрений | 25.2 | 27.4 | 28.7 |
P60K60 (фон) | 25.6 | 28.0 | 29.5 |
Фон + N30 | 25.9 | 28.0 | 28.0 |
Фон + N60 | 25.4 | 28.2 | 29.1 |
Фон + N90 | 25.8 | 28.2 | 29.2 |
Фон + N120 | 25.7 | 27.7 | 29.0 |
НСР05 | Fф < Fт | Fф < Fт | Fф < Fт |
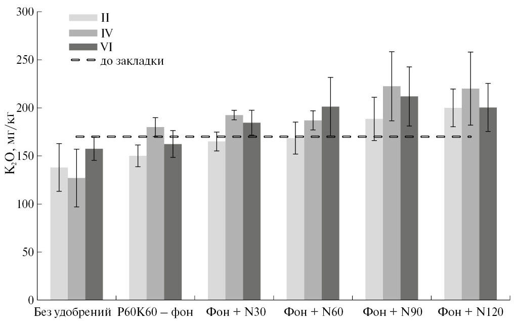
Изучение динамики содержания подвижного калия в ротациях севооборота показало, что влияние более высоких доз азотных удобрений (N90P60K60 и N120P60K60) на его содержание наблюдали с 4-й ротации (рис. 1).
Рис. 1. Изменение содержания подвижных калийных соединений в пахотном слое почвы в ротациях севооборота, мг/кг.
Содержание подвижных соединений калия в пахотном слое почвы (0–20 см) в данных вариантах в 4–6 ротациях было больше исходного уровня в 1.2–1.3 раза. Сравнение вариантов P60K60 и N60P60K60 показало, что поддержание содержания подвижных соединений калия на исходном уровне при применении полного минерального удобрения происходило в большей степени за счет влияния азотных удобрений на растворимость и доступность калийных соединений.
Содержание подвижного калия в почве (слой 0–20 см) в ротациях в варианте без удобрений было меньше исходного уровня (170 мг/кг) на 10–25%. Не установлено четкой закономерности уменьшения содержания подвижных соединений калия от ротации к ротации, что свидетельствовало об участии в питании растений других форм калия, более прочно связанных с минеральным скелетом почвы. Считается, что содержание подвижного калия в почвах при длительном некомпенсируемом выносе сельско- хозяйственными культурами постепенно достигает определенного “минимального” уровня, который впоследствии практически не изменяется, несмотря на продолжающееся потребление культурами почвенного калия [17, 18].
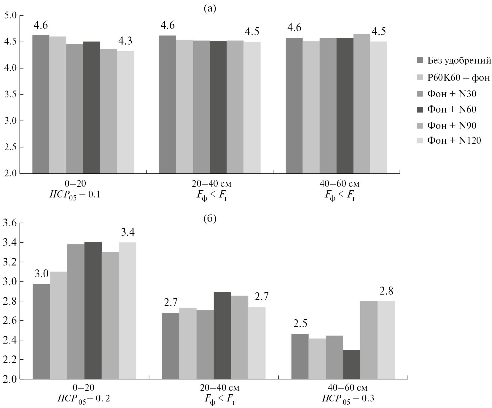
Полученные данные о влиянии азотных удобрений на показатели калийного режима почвы в первую очередь были связаны с изменением ее кислотности. Длительное применение азотных удобрений (N30–120P60K60) привело к уменьшению показателя рНKCl в слое 0–20 см почвы с 4.6 (фон) до 4.3–4.5 ед. рН и увеличению гидролитической кислотности с 3.1 (фон) до 3.3–3.4 мг-экв/100 г (рис. 2).
Рис. 2. Изменение показателей рНKCl (ед.рН) (а) и гидролитической кислотности (мг-экв/100 г) (б) в слое 0–60 см почвы при длительном применении возрастающих доз азотных удобрений (6-я ротация).
Увеличение гидролитической кислотности почвы при использовании высоких доз азотных удобрений (N90P60K60 и N120P60K60) наблюдали также в слое 40–60 см, что согласовалось с данными об изменении содержания легкообменных соединений калия. Установлены высокая и очень высокая корреляционные зависимости между содержанием в почве подвижных, легкообменных соединений калия и показателями кислотности почвы (для pHKCl r = –0.87–0.93, для Нг r = 0.78–0.87).
ЗАКЛЮЧЕНИЕ
Таким образом, показано, что применение P60K60 на дерново-подзолистой тяжелосуглинистой почве в климатических условиях Предуралья обеспечило увеличение урожайности клубней картофеля на 27%, сена клевера 2-го г. п. – почти в 2 раза. Наиболее эффективной дозой азотных удобрений для применения под яровые зерновые культуры оказалась доза N30 (N30P60K60), под картофель – N60 кг (N60P60K60). Урожайность культур в этих вариантах увеличилась на 16–54%. Максимальная продуктивность полевого 8-польного севооборота (4.19 т з. е./га/год) и окупаемость 1 кг д. в. удобрений (8.7 кг з. е.) получена при внесении N30P60K60.
Выявлено, что применение азотных удобрений приводило к увеличению подвижности соединений калия в почве. Установлен достоверный рост содержания легкообменных соединений калия относительно фона P60K60 в слое 0–20 см почвы в 1.5–1.9 раза при внесении N60–120, в слое 40–60 см – в 1.8–1.9 раза при внесении N90–120. Повышение количества подвижных соединений калия (относительно фона) наблюдали только в слое 0–20 см в 1.2–1.3 раза при использовании азотных удобрений в дозах N60–120 кг. Применение максимальной дозы азотных удобрений (N120P60K60) привело к увеличению содержания необменных соединений калия в 1.1 раза, что возможно свидетельствовало о разрушении минеральной части почвы.
Не установлено существенного влияния длительного применения фосфорно-калийных удобрений в дозе P60K60 и возрастающих доз азотных удобрений на валовое содержание калия в дерново-подзолистой тяжелосуглинистой почве.
About the authors
M. T. Vasbieva
Perm Research Institute of Agriculture – branch of the PFRC Ural Branch of the RAS
Author for correspondence.
Email: vasbieva@mail.ru
Russian Federation, ul. Cultury 12, p. Lobanovo, Perm district, Perm region, 614532
References
- Сычев В.Г., Шафран С.А., Ильюшенко И.В. Применение минеральных удобрений и их эффективность в различных зонах России // Плодородие. 2022. № 3(126). С. 3–6. doi: 10.25680/S19948603.2022.126.01
- Чуян О.Г., Глазунов Г.П., Караулова Л.Н., Митрохина О.А., Афонченко Н.В., Золотухин А.Н., Двойных В.В. Оценка роли климатических, почвенных и агротехнических факторов в формировании ресурсов продуктивности агроландшафтов Центрального Черноземья // Метеоролог. и гидролог. 2022. № 6. С. 79–87. doi: 10.52002/0130-2906-2022-6-79-87
- Sychev V.G., Naliukhin A.N., Shevtsova L.K., Rukhovich O.V., Belichenko M.V. Influence of fertilizer systems on soil organic carbon content and crop yield: Results of long-term field experiments at the Geographical network of research stations in Russia // Euras. Soil Sci. 2020. V. 53. № 12. P. 1794–1808. doi: 10.1134/S1064229320120133
- Никитина Л.В., Беличенко М.В. Калий в питании растений и эффективность калийных удобрений // Плодородие. 2023. № 6(135). С. 5–8. doi: 10.25680/S19948603.2023.135.01
- Шафран С.А., Кирпичников Н.А. Научные основы прогнозирования содержания подвижных форм фосфора и калия в почвах // Агрохимия. 2019. № 4. С. 3–10.
- Якименко В.Н. Фиксация калия и магния почвой агроценоза // Агрохимия. 2023. № 3. С. 3–11. doi: 10.31857/S0002188123030134
- Якименко В.Н. Изменение содержания калия и магния в профиле почвы длительного полевого опыта // Агрохимия. 2019. № 3. С. 19–29. doi: 10.1134/S0002188119030153
- Лукин С.М. Калийное состояние дерново-подзолистой супесчаной почвы и баланс калия при длительном применении удобрений // Агрохимия. 2012. № 12. С. 5–14.
- Li T., Wang H.Y., Chen X.Q., Zhou J.M. Soil reserves of potassium: release and availability to lolium perenne in relation to clay minerals in six cropland soils from eastern China // Land Degradat. Develop. 2017. V. 28. № 5. Р. 1696–1703. doi: 10.1002/ldr.2701
- Беляев Г.Н. Калийные удобрения из калийных солей Верхнекамского месторождения и их эффективность. Пермь: Перм. кн. изд-во, 2005. 304 с.
- Окорков В.В., Окоркова Л.А., Фенова О.А. Влияние систем удобрения на фосфорно-калийный режим серой лесной почвы // Владимир. земледелец. 2014. № 2–3(68–69). С. 9–14.
- Шаповалова Н.Н. Чижикова Н.П., Годунова Е.И., Сторчак И.Г. Минералогический состав тонкодисперсных фракций и резервы калия в черноземе при внесении минеральных удобрений // Плодородие. 2018. № 3(102). С. 25–31. doi: 10.25680/s19948603.2018.102.08
- Chizhikova N.P., Samsonova A.A., Malueva T.I., Godunova E.I., Shkabarda S.N. Spatial distribution of clay minerals in agrochernozems of erosional and denudational plains in the Stavropol region // Euras. Soil Sci. 2012. V. 45. № 9. P. 983–996. doi: 10.1134/S1064229312090025
- Firmano R.F., Melo V., Montes C.R., de Oliveira A., de Castro C., Alleoni L.R.F. Рotassium reserves in the clay fraction of a tropical soil fertilized for three decades // Clays Clay Mineral. 2020. V. 68. № 3. p. 237–249. doi: 10.1007/s42860-020-00078-6
- Способ определения валовых форм азота, фосфора и калия из одной навески пробы почвы. Пат. Беларуси. №17070. 2013. URL:https://bypatents.com/5-17070-sposob-opredeleniya-valovyh-form-azota-fosfora-i-kaliya-iz-odnojj-naveski-proby-pochvy.html
- Агроклиматические ресурсы Пермской области: Справ-к. М.: Гидрометеоиздат, 1979. 156 c.
- Никитина Л.В., Володарская И.В. Минимальные уровни обменного калия в дерново-подзолистых почвах // Плодородие. 2002. № 1(4). С. 30–31.
- Якименко В.Н., Бойко В.С. Диагностика калийного состояния почв лесостепи Западной Сибири // Почвы и окруж. среда. 2019. Т. 2. № 2. С. 3. doi: 10.31251/pos.v2i2.74
Supplementary files



