Трансформация органических соединений углерода и азота агрочерноземов при применении безотвальныхтехнологий обработки в Красноярской лесостепи
- Авторы: Белоусова Е.Н.1, Белоусов А.А.1
-
Учреждения:
- Красноярский государственный аграрный университет
- Выпуск: № 5 (2024)
- Страницы: 3-12
- Раздел: Плодородие почв
- URL: https://ogarev-online.ru/0002-1881/article/view/261153
- DOI: https://doi.org/10.31857/S0002188124050019
- EDN: https://elibrary.ru/DAIPPD
- ID: 261153
Цитировать
Полный текст
Аннотация
Изучено влияние отвальной и безотвальных приемов обработки почвы на трансформацию подвижных органических соединений углерода и азота в условиях лесостепной зоны Красноярского края. Дана оценка влияния на этот процесс соотношения содержания легкоминерализуемых углерода и азота. Величина соотношения С : N в почве исследованных вариантов свидетельствовала о среднем уровне обогащенности гумуса азотом. Величины C : N для подвижных форм углерода и азота имели более широкое отношение в почве, обработанной при применении безотвальных технологий. Обнаружены сильные корреляционные связи между С0.1NaOHс соотношением C : N в почве. В условиях применения отвальной технологии обработки увеличение обеспеченности почвы активным органическим веществом позволило стимулировать азотминерализующую способность с накоплением аммонийных соединений азота. При использовании безотвальных обработок подобные зависимости обнаружены с содержанием нитратных соединений азота. Величины Смб : Сорг (%) свидетельствовали о слабой биогенности исследованной почвы. Дифференциации между слоями по скорости эмиссии углекислого газа не выявлено.
Полный текст
Введение
Современное земледелие открывает широкие перспективы для замены плуга безотвальными и плоскорежущими орудиями, уменьшения частоты и глубины механической обработки почвы. Происходящие при этом изменения в интенсивности и направленности процессов превращения органического углерода и азота заслуживают глубокого изучения, поскольку от них зависит специфика подходов к оптимизации азотного питания растений и управления плодородием почвы в целом [1–4].
Синтез растительной биомассы требует участия углерода и азота в количественном сопряжении Сорг : Nорг = 6 : 1 [5]. Согласно исследованиям [6], недостаток углерода активного органического вещества способствует низкой биологической и слабой рециклирующей активности азота в пахотных почвах. В условиях земледельческой зоны Красноярского края работ, направленных на поиск закономерностей трансформации углерода и азота с учетом влияния биологических факторов, недостаточно [7]. Такие исследования, несомненно, имеют агрономическое значение, в том числе с перспективой дальнейшей экологизации земледелия и переводе его на органическую составляющую.
Специфика условий почвообразования Красноярской лесостепи обусловила формирование почв, существенно отличающихся от европейских аналогов. В числе их следует назвать малоблагоприятный температурный режим, вследствие чего почвы региона отнесены к типу длительно сезоннопромерзающих [8]. В связи с этим еще в работе [9] указывали на необходимость исследования элементов воздушного режима почв в комплексе с показателями биологической активности в условиях земледельческой зоны Красноярского края. Однако до сих пор эти показатели используют крайне недостаточно, а в агрономической практике они не принимаются в расчет.
Цель работы – изучить содержание и динамику углерода и азота легкоминерализуемых органических веществ пахотного слоя агрочерноземов в условиях перехода на бесплужные способы обработки почвы.
Методика исследования
Полевые наблюдения осуществляли в производственном опыте ООО “ОПХ “Дары Малиновки” Сухобузимского р-на в Красноярской лесостепи, размещенном в пределах Чулымо-Енисейского денудационного плато юго-западной окраины Средней Сибири (56°10ʹ с. ш. и 91°47ʹ в.д).
В границах производственных посевов были заложены реперные участки прямоугольной формы общей площадью 1200 м2 с учетной площадью 600 м2. В пределах каждого участка выделяли 3 повторности площадью 200 м2. Почвенные пробы отбирали в сроки, приуроченные к фазам развития зерновых культур, из слоев 0–10 и 10–20 см методом змейки. Объем выборки был рассчитан, исходя из уровня варьирования плодородия почвы по результатам рекогносцировочных посевов и составил 12 пространственно удаленных проб. Наблюдения проводили в звене севооборота: чистый пар–яровая пшеница(Triticum aestivum L.)–ячмень (Hordeum vulgare L.). Для исследования были выбраны следующие варианты: 1. Отвальная обработка почвы (st) – вспашка на глубину 25–27 см плугом Gregoire Besson SPLM B9: в вегетационный сезон 2017 г. почву обрабатывали в 1-й декаде июня по типу раннего пара, с последующими культивациями на глубину 5–7 см по мере отрастания сорных растений; далее, в 2018 г. – вспашка на глубину 25–27 см с предпосевной культивацией на 5–7 см АПК-7,2 + БЗТС-1; 2. Минимальная обработка почвы (поверхностное дискование) – дискатором БДМ-Агро БДМ 6×4П на глубину 10– 12 см: в 2017 г. почву обрабатывали по типу стерневого пара, в 2018 г. – боронованием с предпосевной культивацией на 5–7 см АПК-7,2 + БЗТС-1; 3. Плоскорезная (культивация) обработка культиватором Ярославич КБМ-10.8 ПС-4 на глубину 10– 12 см: в 2017 г. почву обрабатывали по типу стерневого пара, на следующий год – боронованием с предпосевной культивацией на 5–7 см АПК-7,2 + БЗТС-1. В 2018 г. на опытном поле возделывали яровую пшеницу сорта Новосибирская-31, в вегетационный сезон 2019 г. – ячмень сорта Ача.
Почва опыта имеет следующую агрохимическую характеристику: рНН2О 8.3, содержание Сорг – 6.3– 6.5%, подвижного фосфора 295–320, обменного калия – 127–138 мг/кг. В годы наблюдений гидрометеорологические условия характеризовалось следующими показателями (табл. 1).
Таблица 1. Метеорологические показатели в годы наблюдений
Год | Месяц | Сумма активных температур | ||||
май | июнь | июль | август | сентябрь | ||
Средняя температура воздуха, °C | ||||||
2017 | 11.0 | 20.3 | 19.5 | 16.8 | 8.5 | 2074 |
2018 | 8.1 | 20.5 | 18.6 | 18.3 | 10.1 | 2061 |
2019 | 9.0 | 18.7 | 19.5 | 18.8 | 9.9 | 2047 |
Норма (1980–2010 гг.) | 8.7 | 15.2 | 17.6 | 14.8 | 8.8 | 1833 |
Осадки, мм | Сумма осадков | |||||
2017 | 28.0 | 30.0 | 79.0 | 81.0 | 81.0 | 299.0 |
2018 | 29.0 | 29.0 | 33.0 | 21.0 | 58.0 | 170.0 |
2019 | 8.3 | 106.1 | 45.4 | 68.9 | 54.0 | 274.4 |
Норма (1980–2010 гг.) | 50.0 | 61.0 | 95.0 | 78.0 | 48.0 | 332.0 |
Средняя годовая температура воздуха, по многолетним данным, составила 1.2°C. Агрометеорологические условия вегетационных сезонов 2017–2019 гг. характеризовались недостаточным увлажнением, периодической засушливостью. Суммы активных температур были значительно больше среднемноголетней нормы, а по количеству осадков, наоборот, существенно уступали норме. Наибольшее количество осадков выпадало в летний период. Осадки эти носили в основном ливневый характер. Это свидетельствовало о неблагоприятном гидротермическом режиме, складывавшемся в годы наблюдений. Вторая половина лета первого года исследования (2017 г.) характеризовалась бóльшим количеством осадков относительно 2018 г. Основные запасы влаги создавались в осенне-зимний период. В условиях недостаточного увлажнения необходимо проводить агротехнические приемы, направленные на накопление и сохранение влаги. В июне 2019 г. осадков выпало на 65% больше нормы.
Химические и физико-химические показатели определены общепринятыми методами по [10]. Подвижные гумусовые вещества экстрагировали последовательной обработкой навески почвы (5 г) дистиллированной водой в соотношении 1 : 5 и 0.1 н. NaOH в соотношении 1 : 20. Содержание углерода органического вещества (Сорг) определяли по Тюрину [11]. Содержание щелочерастворимого углерода (С0.1NaOH) определяли по Тюрину в модификации Пономаревой–Плотниковой [12]. В составе органических веществ щелочной вытяжки (С0.1NaOH) определяли гуминовые кислоты (CГК) осаждением их 1 н. H2SO4. Содержание нитратного азота (N-NO3) определяли по Грандваль–Ляжу в модификации Шаркова, аммонийного азота (N-NH4) – колориметрическим методом с реактивом Несслера, гидролизуемые формы азота (Nлг) – по Корнфилду [13]. Базальное дыхание почвы определяли по скорости выделения СО2 (мкг С-СО2/г /ч) почвой за 8–10 ч ее инкубации при 22°C и 60% ПВ. Содержание углерода микробной биомассы устанавливали путем пересчета скорости субстрат-индуцированного дыхания (СИД) по формуле: Cмб (мкг С/г почвы) = (мкл СО2/г почвы/ч) ∙ 40.04 + 0.37 [14]. Скорость продуцирования углекислого газа определяли по методу Штатнова [15]. Статистический анализ данных проводили с использованием пакета программ MS Excel.
Результаты и их обсуждение
В сибирском земледелии в условиях короткого теплого периода на процессы мобилизации почвенного органического вещества и растительных остатков оказывают комплексное влияние как погодные условия (температурный режим и увлажнение), так и агротехнические приемы (предшественник, способ обработки почвы, удобрения). От них в целом зависит активность биоты почвы и накопление мобильных азотсодержащих соединений [16, 17].
Экспериментальные данные свидетельствовали о повышенном содержании общего азота в пахотном слое агрочернозема (табл. 2).
Таблица 2. Статистические параметры соотношения С : N в агрочерноземе
Вариант | Слой, см | Содержание С, % | Содержание N, % | С : N | ||
x ± sx | V, % | x ± sx | V, % | |||
1. Отвальная вспашка (st) | 0–10 | 6.7 ± 0.5 | 10 | 0.6 ± 0.0 | 9 | 10.6 |
10–20 | 6.6 ± 0.5 | 10 | 0.7 ± 0.0 | 1 | 9.7 | |
2. Минимальная обработка (дискование) | 0–10 | 6.3 ± 0.6 | 14 | 0.6 ± 0.0 | 3 | 10.0 |
10–20 | 6.4 ± 0.6 | 14 | 0.7 ± 0.0 | 14 | 9.5 | |
3. Плоскорезная обработка (культивация) | 0–10 | 6.8 ± 0.4 | 9 | 0.6 ± 0.0 | 8 | 10.3 |
10–20 | 6.8 ± 0.5 | 9 | 0.7 ± 0.0 | 10 | 9.9 | |
Причиной высокой аккумуляции азота в черноземах Красноярской лесостепи является сложный комплекс сложившихся естественно-исторических условий. По наблюдениям [18], неравнозначные интенсивность и соотношение процессов гумификации и минерализации органического вещества детерминируют различное накопление азотсодержащих компонентов в почвах региона.
По количеству общего азота, в отличие от углерода, исследованные слои почвы достоверно отличались с увеличением его доли в подсеменном слое, соотношение С: N в почве анализированных вариантов свидетельствовали о среднем уровне обогащенности гумуса азотом. Основные закономерности превращений легкоминерализуемых соединений углерода и азота и их соотношений представлены в табл. 3.
Таблица 3. Сезонная динамика содержания подвижных форм углерода и азота в слоях агрочернозема
Срок | С0.1NaOH, мг/100 г | Nлг, мг/кг | C : N | |||
0–10 см | 10–20 см | 0–10 см | 10–20 см | 0–10 см | 10–20 см | |
Отвальная обработка | ||||||
Июль 2017 г. | 696 | 733 | 394 | 359 | 17 | 20 |
Сентябрь 2017 г. | 706 | 670 | 222 | 336 | 32 | 19 |
Июнь 2018 г. | 540 | 551 | 359 | 364 | 15 | 15 |
Июль 2018 г. | 865 | 791 | 439 | 398 | 19 | 19 |
Сентябрь 2018 г. | 531 | 385 | 343 | 366 | 15 | 10 |
Июнь 2019 г. | 582 | 569 | 339 | 363 | 17 | 15 |
Июль 2019 г. | 606 | 645 | 386 | 392 | 15 | 16 |
Сентябрь 2019 г. | 650 | 527 | 403 | 535 | 16 | 9 |
НСР05 | 68 | 76 | 87 | 53 | 5 | 3 |
Плоскорезная обработка | ||||||
Июль 2017 г. | 751 | 781 | 322 | 291 | 23 | 26 |
Сентябрь 2017 г. | 645 | 569 | 321 | 443 | 20 | 12 |
Июнь 2018 г. | 855 | 869 | 436 | 371 | 19 | 23 |
Июль 2018 г. | 874 | 875 | 401 | 395 | 21 | 22 |
Сентябрь 2018 г. | 549 | 465 | 476 | 320 | 11 | 14 |
Июнь 2019 г. | 628 | 581 | 467 | 359 | 13 | 16 |
Июль 2019 г. | 736 | 560 | 420 | 397 | 17 | 14 |
Сентябрь 2019 г. | 587 | 587 | 443 | 537 | 13 | 11 |
НСР05 | 75 | 71 | 84 | 70 | 4 | 5 |
Минимальная обработка | ||||||
Июль 2017 г. | 760 | 623 | 298 | 360 | 26 | 17 |
Сентябрь 2017 г. | 753 | 639 | 289 | 433 | 26 | 15 |
Июнь 2018 г. | 767 | 765 | 383 | 378 | 20 | 20 |
Июль 2018 г. | 822 | 838 | 397 | 397 | 21 | 21 |
Сентябрь 2018 г. | 861 | 841 | 347 | 435 | 25 | 19 |
Июнь 2019 г. | 599 | 527 | 326 | 302 | 18 | 17 |
Июль 2019 г. | 684 | 523 | 413 | 418 | 16 | 12 |
Сентябрь 2019 г. | 615 | 608 | 460 | 390 | 13 | 16 |
НСР05 | 67 | 79 | 58 | 56 | 4 | 2 |
Сезонные изменения содержания щелочногидролизуемых соединений углерода в слое 0–10 см почвы под посевами яровой пшеницы указывали на их существенное преобладание в почве на фоне применения безотвальных технологий. Изменения концентрации С0.1NaOH в почве агроценоза ячменя свидетельствовали о снижении доли подвижных органических соединений. Использование культиваторов-плоскорезов сопровождалось разнонаправленностью превращения органических соединений азота и приводило в период уборки зерновых культур к компенсации их потерь и заметной аккумуляции в слое 10–20 см почвы. Втечение вегетационного сезона 2018 г. максимальное содержание фракции легкогидролизуемых соединений азота обнаружено в надсеменной части почвы, обработанной отвальными и дисковыми орудиями. При плоскорезной обработке максимум накопления легкогидролизуемой фракции азота наблюдали в сентябре в слое 0–10 см, и их содержание достоверно уменьшалось в подсеменном слое 10–20 см почвы.
Иной характер трансформации легкогидролизуемых соединений азота наблюдали в агрочерноземе под посевами ячменя. Послеуборочное пополнение мортмассы пожнивно-корневыми остатками зерновой культуры, отмершими корнями, сопровождалось значительными изменениями концентрации соединений, переходящих в 1.0 н. NaOH. Максимум их образования приходился на толщу 10–20 см в период уборки ячменя при обработке почвы отвальным плугом и плоскорезными орудиями.
Известно, что трансформация органической субстанции почвы происходит в зависимости от величины соотношения углерода к азоту. По мнению авторов работы [19], параметры соотношения С : N для подвижных форм углерода и азота могут быть более точным индикатором способности субстрата к минерализации. Рассчитанные соотношения С : N указывали на тенденцию к его расширению при обработке агрочерноземов без оборота пласта, что свидетельствовало о значительном азотминерализующем потенциале бесплужных обработок.
Результаты корреляционного анализа показали, что превращения подвижного органического вещества имели слабую зависимость от динамики содержания легкогидролизуемого азота (табл. 4).
Таблица 4. Зависимости между содержанием подвижных органических соединений легкогидролизуемого азота, соотношением C : N и скоростью продуцирования углекислого газа
Способ обработки | Слой, см | Nлг, мг/кг | C : N | С-CO2, мкг/г /ч |
Отвальная | 0−10 10−20 | 0.26 −0.17 | 0.42 0.88 | 0.23 0.29 |
Минимальная | 0−10 10−20 | −0.27 0.41 | 0.73 0.83 | −0.43 −0.18 |
Плоскорезная | 0−10 10−20 | −0.29 −0.18 | 0.76 0.85 | −0.18 0.06 |
Вероятно, для трансформации их концентрация является менее чувствительным показателем, чем само соотношение между лабильными фракциями углерода и азота в почве. По-видимому, именно пропорции этих элементов влияют на процессы разложения и гумификационно-минерализационные превращения, продукты которых образуют текущий запас доступных для автотрофов элементов питания.
Отсюда очевидны выявленные более сильные корреляционные связи содержания С0.1 NaOH с показателями соотношения углерода и азота в почве. Эти зависимости указали, что с расширением соотношения происходило увеличение содержания подвижных органических соединений. Причем выявленные закономерности проявлялись на минимальных фонах в обоих исследованных слоях почвы. Обнаруженное свидетельствовало о диагностической информативности показателя С: N в формировании метаболически активного фонда азота и возможности его использования в прогнозных целях. По мнению авторов [20], динамика минерализации–иммобилизации азота в почве зависит не столько от общего содержания углерода и азота в разлагаемом материале, сколько от его способности к минерализации органических субстратов, а также от условий, контролирующих реминерализацию иммобилизованного ранее азота.
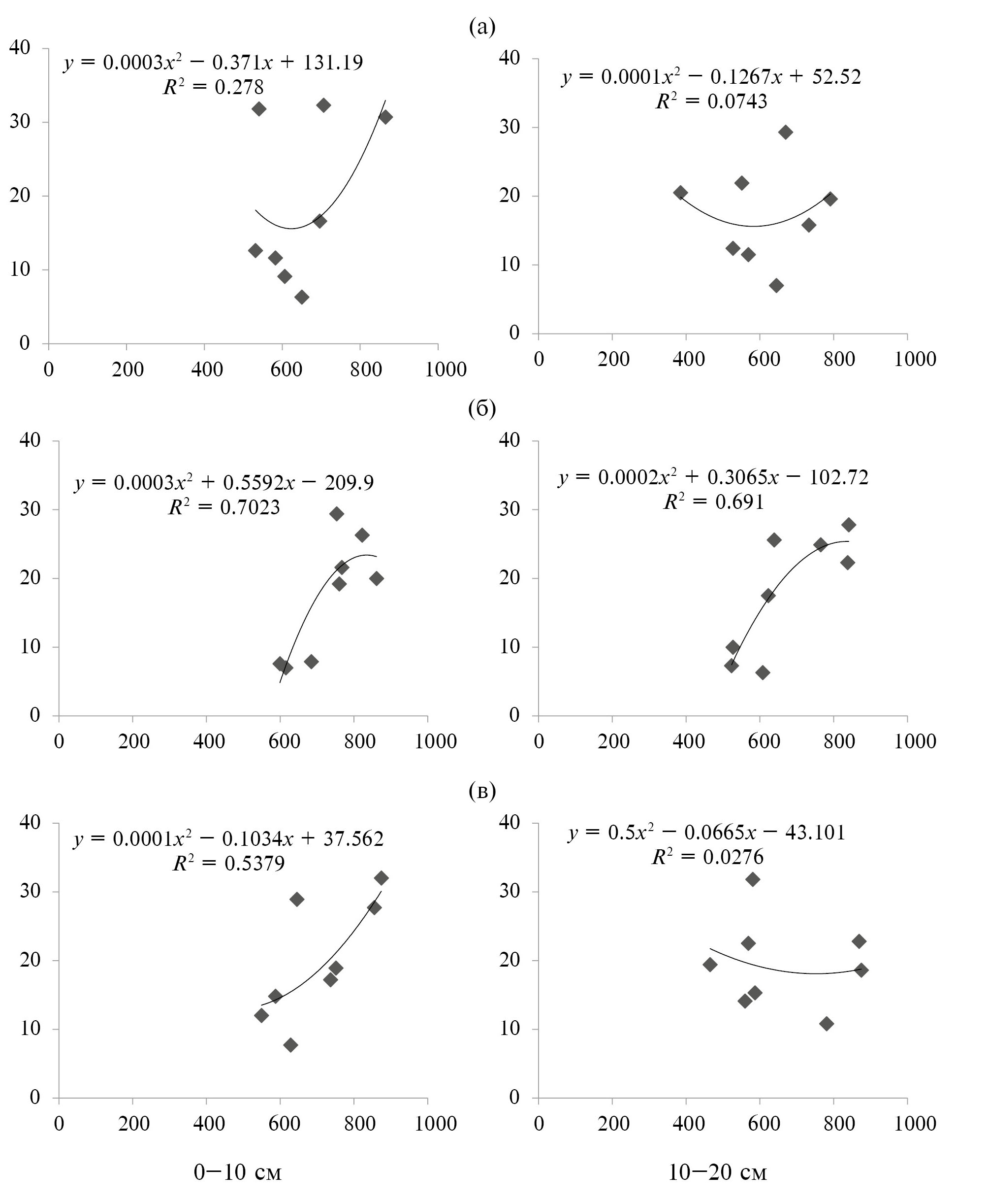
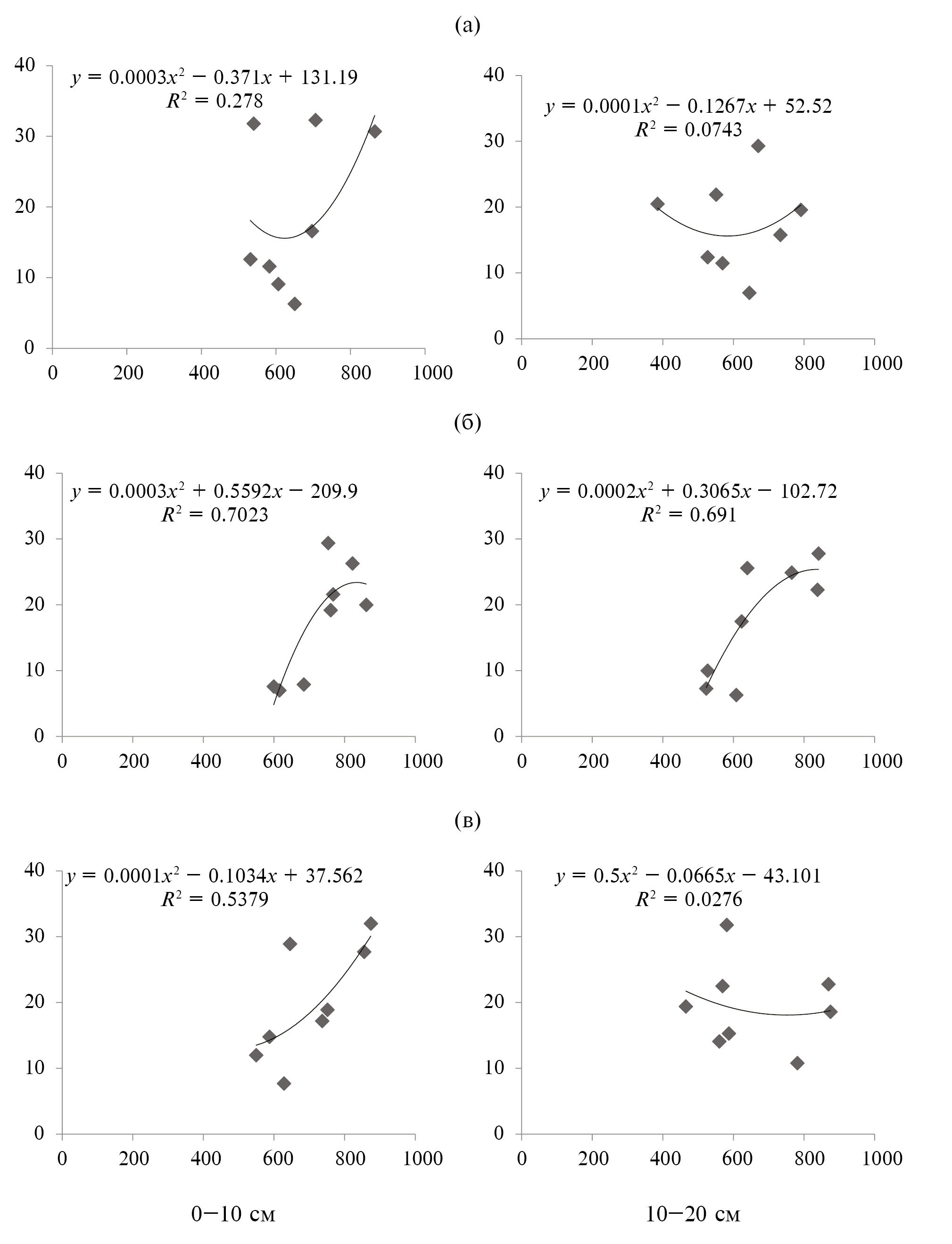
Значимым элементом эффективного плодородия почвы является обеспеченность сельскохозяйственных культур минеральными формами азота. Поэтому также были определены зависимости между превращениями подвижного органического вещества (зависимая переменная) и динамикой содержания минеральных соединений азота (рис. 1, 2).
Рис. 1. Зависимость между превращениями подвижного органического вещества (мг/100 г) и динамикой содержания нитратного азота (мг/кг): (а) – отвальная, (б) – минимальная, (в) – плоскорезная обработка. То же на рис. 2.
Рис. 2. Зависимость между превращениями подвижного органического вещества (мг/100 г) и динамикой содержания аммонийных соединений азота (мг/кг).
Из полученных уравнений (рис. 1 и 2) следует, что с одной стороны, в условиях применения отвальной технологии обработки увеличение обеспеченности почвы активным органическим веществом позволяло стимулировать азотминерализующую способность почвы и накопление аммонийных соединений азота. С другой стороны, при использовании безотвальных обработок подобные зависимости обнаруживались с содержанием нитратных соединений азота. Интересно отметить, что при поверхностном дисковании корреляционные связи были наиболее сильные относительно плоскорезной обработки.
Анализ данных выявил тенденцию к накоплению аммонийных соединений на фоне безотвальных технологий обработки агрочернозема. Низкие его концентрации в почве исследованных вариантов опыта могли быть обусловлены легкоглинистым гранулометрическим составом, определяющим повышенную необменную фиксацию ионов аммония минеральными и органическими коллоидами. Возможно, в связи с избыточной пористостью образующиеся аммонийные соединения азота быстро вовлекались в процесс биохимического окисления. Выявлено, что в период вегетации зерновых культур в подсеменном слое (10–20 см) сосредоточивались статистически более значимые количества аммонийных соединений азота в сравнении с надсеменным слоем.
В последние годы минимизацию обработки почвы часто рассматривают в качестве одного из путей увеличения консервации (секвестрации) органического вещества в почве и, как следствие, уменьшения выбросов в атмосферу парниковых газов, прежде всего углекислого газа [21]. Для условий земледельческой зоны Красноярского края проблема углекислотного режима почв также актуальна. В зависимости от технологии обработки в качественные и количественные трансформации вовлекаются прежде всего поверхностные слои почвы. По данным [22], территория юга Красноярского края за 150 лет ее использования преобразована деятельностью человека на 22%. Поступление растительных остатков в почву снизилось на 22% по всей территории и на 60% – в лесостепной зоне, что привело к потерям почвенного органического вещества из пахотных почв. Поэтому нами был исследован процесс продуцирования углекислого газа в слоях 0–10 и 10–20 см агрочернозема в условиях перехода с отвальной на бесплужные способы обработки.
Результаты наблюдений показали, что в условиях парования, в середине сезона 2017 г., когда были применены изученные способы обработки, интенсивность продуцирования СО2 соответствовала среднему уровню при использовании отвального плуга и слабому – при поверхностных безотвальных рыхлениях. В дальнейшем, вне зависимости от способа обработки и слоя почвы, уровень активности характеризовался как слабый. Интересно отметить, что сравненные слои агрочерноземов существенно не отличались по продуцированию СО2 в период парования 2017 г. Это, с одной стороны, свидетельствовало о значительных изменениях в трансформации условий, влияющих на эмиссию углекислого газа в этот период. С другой стороны, более высокий уровень продуцирования СО2 в варианте, где применяли отвальную обработку почвы в середине лета 2017 г., согласовался с многочисленными материалами исследователей по данной теме [21, 23]. Они аргументируют повышенную активность почвы при отвальной обработке усилением минерализационных процессов, вызываемых аэрацией внутрипорового пространства. В связи с отсутствием растительности в этот период, вероятно, названная причина была определяющей (табл. 5).
Таблица 5. Интенсивность продуцирования углекислого газа в слоях агрочернозема, мг СО2/10 г/сут, t0.5 = 2.2 (в июле, сентябре 2019 г. – t0.5 = 2.7)
Вариант | Слой, см | 2017 г. | |||||
tф | июнь | tф | июль | tф | сентябрь | ||
1. Отвальная вспашка (st) | 0–10 | н/о* | н/о | −1.6 | 14.4 | 0.9 | 9.7 |
10–20 | н/о | 15.9 | 9 | ||||
2. Минимальная обработка (дискование) | 0–10 | н/о | н/о | 1.6 | 6.7 | 1.5 | 7.5 |
10–20 | н/о | 5 | 6,5 | ||||
3. Плоскорезная обработка (культивация) | 0–10 | н/о | н/о | −0.7 | 6.8 | 0.2 | 8 |
10–20 | н/о | 8 | 7.9 | ||||
Вариант | Слой, см | 2018 г. | |||||
tф | июнь | tф | июль | tф | сентябрь | ||
1. Отвальная вспашка (st) | 0–10 | −2.8** | 6,5 | −0.8 | 6.2 | 0.06 | 6.9 |
10–20 | 12.8** | 7.2 | 7 | ||||
2. Минимальная обработка (дискование) | 0–10 | −1.3 | 6.6 | 0.5 | 5.8 | −3.2** | 3.7** |
10–20 | 8 | 5.2 | 6.5** | ||||
3. Плоскорезная обработка (культивация) | 0–10 | −1.8 | 3.2 | −0.3 | 7.5 | 1.1 | 8.7 |
10–20 | 6 | 7.8 | 9.4 | ||||
Вариант | Слой, см | 2019 г. | |||||
tф | июнь | tф | июль | tф | сентябрь | ||
1. Отвальная вспашка (st) | 0–10 | 0.5 | 6.2 | −1,0 | 5.7 | 0.7 | 7.0 |
10–20 | 5.9 | 6.8 | 6.2 | ||||
2. Минимальная обработка (дискование) | 0–10 | −1.0 | 7.0 | 0.1 | 5.7 | 0.4 | 7.3 |
10–20 | 7.0 | 5.5 | 7.0 | ||||
3. Плоскорезная обработка (культивация) | 0–10 | −2.9** | 3.1 | 0.4 | 4.4 | −2.4 | 5.5 |
10–20 | 5.0 | 3.9 | 6.6 | ||||
* Не определяли.
** Достоверные различия.
Второй год наблюдений, когда вегетировала яровая пшеница, существенных изменений в скорости продуцирования СО2 не выявил. Вероятно, это было связано с освоением бесплужных обработок, когда агрофизические свойства агрочерноземов значимо не изменялись [24]. Продуцирование диоксида углерода в июне, в условиях отвальной вспашки и в сентябре в почве, обработанной дискатором, отличалось статистически значимыми различиями в слоях почвы. При этом уровень активности слоя 10–20 см характеризовался достоверным максимумом.
В период вегетации ячменя, следовавшего за яровой пшеницей, уровень продуцирования СО2 соответствовал предшествующим сезонам и был слабым. Не найдено существенного воздействия безотвальных рыхлений на величину эмиссии, за исключением июньского срока, когда использование плоскорезов-культиваторов способствовало существенно большей продукции СО2 в слое 10– 20 см. Объяснением отсутствия разнокачественности корнеобитаемой толщи по продуцированию углекислого газа являлась, вероятно, длительность ведения бесплужного земледелия и интенсивность микробиологических процессов.
Одним из важнейших пулов органического вещества почвы является биомасса почвенных микроорганизмов, которая одновременно отражает как количество легкоминерализуемого органического вещества, так и количество агента, ведущего почвенные трансформационные процессы [25]. Полученные результаты в целом свидетельствовали о значимом участии живого органического углерода почвы в его трансформации до углекислого газа.
При использовании поверхностного дискования источниками диоксида углерода, вероятно, были факторы, не связанные напрямую с функционированием микробной биомассы. Доля Смб в Сорг в почве всех вариантов опыта была незначительной, что свидетельствовало о слабой ее биогенности и необходимости повышения биологического разнообразия.
Выводы
На фоне безотвальных технологий выявлено существенное преобладание щелочногидролизуемых соединений углерода в почве под посевами яровой пшеницы. Количество С0.1 NaOH в почве под агроценозом ячменя свидетельствовало о снижении уровня гидролиза органических соединений.
Выявлена тенденция к увеличению содержания легкогидролизуемых соединений азота при использовании безотвальных технологий обработки.
Величина соотношения C : N для подвижных форм углерода и азота указывала на преимущественно более широкое соотношение этих соединений в почве, обработанной безотвальными способами.
Биологическая активность почвы в исследованных вариантах обработки соответствовала слабому уровню и определялась видом предшествующей культуры. Существенной дифференциации между слоями по скорости эмиссии не выявлено. При использовании минимальных технологий обнаружена тенденция к увеличению продуцирования С- СО2 в слое 10–20 см.
Превращения подвижного органического вещества имели слабую зависимость от динамики содержания легкогидролизуемого азота. Выявлены более сильные корреляционные связи С0.1 NaOH с величиной соотношения C : N в почве.
В условиях применения отвальной обработки почвы увеличение обеспеченности активным органическим веществом стимулировало накопление аммонийных соединений азота, при использовании безотвальных обработок – нитратных соединений азота.
Об авторах
Е. Н. Белоусова
Красноярский государственный аграрный университет
Email: svoboda57130@mail.ru
Россия, 660049, Красноярск, просп. Мира, 90
А. А. Белоусов
Красноярский государственный аграрный университет
Автор, ответственный за переписку.
Email: svoboda57130@mail.ru
Россия, 660049, Красноярск, просп. Мира, 90
Список литературы
- Шарков И.Н., Данилова А.А., Халимон В.Н. Запас негумифицированных растительных остатков и биологическая активность выщелоченного чернозема при минимизации основной обработки // Почвоведение. 1991. № 12. С. 130–134.
- Башкин В.Н. Повышение эффективности использования азота: проблемы и пути решения. Сообщение 1. Агрогеохимические подходы // Агрохимия. 2022. № 7. С. 82–96.
- Завалин А.А., Соколов О.А. Шмырева Н.Я. Азот в агросистеме на черноземных почвах. М.: РАН, 2018. 180 с.
- Кудеяров В.Н. Агрогеохимические циклы углерода и азота в современном земледелии // Агрохимия. 2019. № 12. С. 3–15.
- Заварзин Г.А. Лекции по природоведческой микробиологии. М.: Наука, 2003. 348 с.
- Семенов В.М., Лебедева Т.Н. Проблема углерода в устойчивом земледелии: агрохимические аспекты // Агрохимия. 2015. № 11. С. 3–12.
- Белоусова Е.Н., Белоусов А.А. Влияние почвозащитных технологий на содержание подвижного органического вещества и ферментативную активность почвы // Агрохимия. 2022. № 5. С. 30–37.
- Димо В.Н. Тепловой режим почв СССР. М.: Колос, 1972. 360 с.
- Попова Э.П., Лубите Я.И. Биологическая активность и азотный режим почв Красноярской лесостепи. Красноярск, 1975. 271 с.
- Воробьева Л.А. Теория и практика химического анализа почв. M.: ГЕОС, 2006. 400 с.
- Аринушкина Е.В. Руководство по химическому анализу почв. М.: Изд-во МГУ, 1970. 487 с.
- Пономарева В.В., Плотникова Т.А. Методические указания по определению содержания и состава гумуса в почвах. Л., 1975. 105 с.
- Агрохимические методы исследования почв. М.: Наука, 1975. 655 с.
- Ананьева Н.Д. Микробиологические аспекты самоочищения и устойчивости почв // Агрохимия. 2003. № 7. С. 92–93.
- Штатнов В.И. К методике определения биологической активности почвы // Докл. ВАСХНИЛ. 1952. С. 27–33.
- Белоусов А.А., Белоусова Е.Н. Динамика содержания органического вещества черноземов в условиях минимизации обработки в Красноярской лесостепи // Агрохимия. 2020. № 3. С. 24–30.
- Гамзиков Г.П. Азотминерализующая способность серой лесной почвы Новосибирского Приобья при компостировании и паровании растительных остатков // Почвоведение. 2021. № 5. С. 582–591.
- Чупрова В.В., Белоусов А.А., Едимеичев Ю.Ф. Влияние агрогенных воздействий на трансформацию легкоминерализуемого органического вещества в черноземах Красноярской лесостепи // Сибир. вестн. сел.-хоз. науки. 2005. № 1(155). С. 3–8.
- Семенов В.М. Функции углерода в минера-лизационно-иммобилизационном обороте азота в почве // Агрохимия. 2020. № 6. С. 78–96.
- Семенов В.М., Когут Б.М. Почвенное органическое вещество. М.: ГЕОС, 2015. 233 с.
- Шарков И.Н., Самохвалова Л.М., Мишина П.В. Изменения органического вещества чернозема выщелоченного при минимизации обработки в лесостепи Западной Сибири // Почвоведение. 2016. № 7. С. 892–899.
- Титлянова А.А., Чупрова В.В. Изменение круговорота углерода в связи с различным использованием земель (на примере Красноярского края) // Почвоведение. 2003. № 2. С. 211–219.
- Кудеяров В.Н. Влияние удобрений и системы земледелия на секвестрацию углерода в почвах // Агрохимия. 2022. № 12. С. 79–96.
- Белоусова Е.Н., Белоусов А.А., Оценка агрофизических свойств чернозема в условиях перехода на почвозащитные технологии обработки // Агрофизика. 2021. № 3. С. 1–9.
- Орлова О.В. Активное органическое вещество как регулятор процессов трансформации азота и углерода в дерново-подзолистых почвах: Автореф. дис. … д-ра биол. наук. СПб., 2013. 46 с.
Дополнительные файлы




