Полифункциональное действие регуляторов роста на основе тритерпеноидов на растения пшеницы
- Авторы: Давидянц Э.С.1
-
Учреждения:
- Северо-Кавказский федеральный научный аграрный центр
- Выпуск: № 3 (2024)
- Страницы: 70-96
- Раздел: Обзоры
- URL: https://ogarev-online.ru/0002-1881/article/view/257305
- DOI: https://doi.org/10.31857/S0002188124030109
- EDN: https://elibrary.ru/DNGXMT
- ID: 257305
Цитировать
Полный текст
Аннотация
Обобщены сведения о биологической роли тритерпеноидов в растениях, возможных механизмах фиторегулирующего действия тритерпеноидов и их гликозидов, рассмотрены физиологические и биохимические аспекты действия регуляторов роста растений (РРР) на основе тритепеноидов: Силка, Биосила, Новосила, Альфастима и др. на растения пшеницы в разных фазах онтогенеза в нормальных условиях и при действии стрессовых факторов. Приведены данные о влиянии этих РРР на поражаемость фитопатогенами, урожайность и качество зерна озимой и яровой пшеницы.
Ключевые слова
Полный текст
ВВЕДЕНИЕ
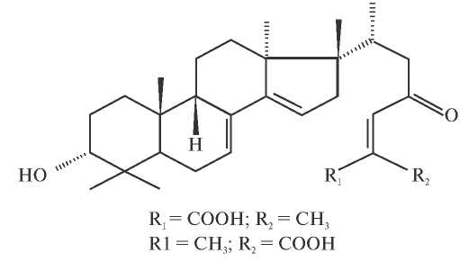
Физиологическая активность современных экологически безопасных регуляторов роста растений (РРР), созданных на основе природных соединений или их синтетических аналогов, проявляется в низких концентрациях и реализуется в повышении эффективности использования питательных веществ, стимулировании ростовых и формообразовательных процессов, увеличении устойчивости растений к абиотическим стрессам и фитопатогенам [1–4]. К числу наиболее эффективных и востребованных в настоящее время в России РРР относится группа препаратов, полученных на основе тритерпеноидов, с торговыми названиями Силк, Биосил, Новосил, Вэрва. Действующими веществами этих препаратов является смесь тритерпеновых кислот, полученная из древесной зелени пихты сибирской (Abies sibirica Ledeb.), включающая ряд соединений с модофицированным ланостановым углеродным скелетом [5]. Химические структуры основных компонентов смеси тритерпеновых кислот показаны на рис. 1.
Рис. 1. Химическая структура тритерпеновых кислот из хвои пихты сибирской (А. sibirca Ledeb.) – действующих веществ рострегулирующих препаратов Силк, Новосил, Биосил, Вэрва, Альфастим
Производить эти препараты на промышленной основе стало возможным в результате разработки способов их получения из хвои – побочного продукта переработки древесины [6–8]. Тритерпеновые кислоты из пихты сибирской также входят в состав нового многокомпонентного препарата Альфастим, который содержит еще ауксино-цитокининовый комплекс, аминокислоты, витамины и другие биологически активные вещества [9].
В литературных источниках описана возможность использования в качестве РРР растительных экстрактов, содержащих тритерпеноиды в свободном виде (например, экстракт из бересты березы Betula L., содержащей преимущественно бетулин) [10], или в виде тритерпеновых гликозидов (ТГ) (например, экстракт из листьев сильфии пронзеннолистной Silphium perfoliatum L., содержащий гликозиды олеаноловой кислоты) [11]. В настоящее время рострегулирующее и антистрессовое действие ТГ на растения активно изучают [12].
Препараты Силк, Биосил и Новосил, Альфастим. полученные в виде водной эмульсии (ВЭ) с концентрацией 100 мг/л, рекомендованы для предпосевной обработки семян (норма расхода 50 мл/т) и вегетирующих растений (норма расхода 30–40 мл/га) Вэрва в виде ВЭ с концентрацией 10 г/л – с нормой расхода 500 и 300 мл/т соответственно [13–15].
Необходимость написания данного обзора обусловлена накоплением в литературе новых данных о биологических функциях тритерпеноидов и значительного фактического материала о действии РРР на основе тритерпеноидов на сельскохозяйственные культуры, причем большинство число работ посвящено изучению эффективности применения этих РРР при возделывании пшеницы, ведущей продовольственной культуры.
В связи с этим цель настоящего обзора – обобщение и анализ сведений о биологической роли тритерпеноидов, возможных механизмах фиторегулирующего действия тритерпеноидов и их гликозидов, рассмотрение физиологических и биохимических аспектов действия РРР на основе тритерпеноидов на растения пшеницы на различных этапах онтогенеза в нормальных условиях и при действии стрессовых факторов, а также на поражаемость ее фитопатогенами, урожайность и качество зерна озимой и яровой пшеницы.
ТРИТЕРПЕНОИДЫ И ИХ ФУНКЦИИ В РАСТЕНИЯХ
Тритерпены (тритерпеноиды) являются представителями самого многочисленного и структурно разнообразного класса природных соединений – терпенов (терпеноидов, изопреноидов) с общей формулой (С5Н8) n, углеродный скелет которых построен из изопреновых С5-единиц. В зависимости от количества изопреновых фрагментов терпены классифицируются на геми-, моно-, сескви-, ди-, три-, тетра- и политерпены [16]. Тритерпеноиды являются крупнейшим подклассом терпеноидов с более 14000 известных структур. В растениях тритерпеноиды встречаются в свободном виде и в виде гликозидов, называемых тритерпеновыми гликозидами (сапонинами). Углеродный скелет тритерпеноидов может быть ациклическим, тетрациклическим или пентациклическим.
Биосинтез тритерпеноидов происходит по мевалонатному пути с образованием 30-углеродного предшественника – 2,3-оксидосквалена. В результате циклизации последнего с помощью оксидоскваленциклаз образуется более 100 различных тритерпеновых каркасов, которые в дальнейшем могут подвергаться диверсификации путем оксигенации и гликозилирования с образованием огромного структурного многообразия.
Биологические функции тритерпеноидов недостаточно выяснены. Имеются данные об участии тритерпеноидов в защите и развитии растений [17]. Являясь продуктами вторичного (специализированного) обмена, тритерпеноиды и их производные играют важную экологическую роль, защищая растения от фитопатогенов, насекомых-вредителей и травоядных животных благодаря наличию антифунгальных, антимикробных, инсектицидных и др. свойств, а также служат аллелопатическими агентами при конкурентных взаимоотношениях между растениями, поскольку в повышенных концентрациях оказывают на рост ингибирующее действие. Таким образом, тритерпеноиды обеспечивают адаптацию и выживаемость растительного организма в неблагоприятных условиях среды [18–20].
Образование тритерпеноидов происходит конститутивно в процессе нормального роста и развития растений, но может индуцироваться в ответ на биотический стресс, в том числе атаки патогенов и травоядных. В этом случае тритерпеноиды имеют статус фитоалексинов [21].
Недавно на примере тритерпенового гликозида эсцина, выделенного из конского каштана (Aesculus hippocastanum L.), был установлен двойной механизм его защитного действия: как противогрибного агента и индуктора иммунитета, опосредованного салициловой кислотой. Общий защитный эффект эсцина был весьма высок и сравним с эффектом синтетического фунгицида [22].
Помимо выполнения основной фитопротекторной функции, эндогенные тритереноиды, по-видимому, могут участвовать в некоторых физиологических процессах в растениях. В последние годы с помощью молекулярно-генетических методов получены убедительные доказательства влияния таких специализированных тритерпенов, как талианол и марнерал, на рост и развитие корней модельного растения Arabidopsis thaliana [19]. Установили, что активность 2-х кластерных генов талианола талианолсинтазы (THAS) и талианолацилтрансферазы (THAA2) модулирует развитие корня арабидопсиса, и талианоловой путь не только контролируется фитогормональными сигналами, но и метаболиты талианолового пути могут изменять действие самих фитогормонов, тем самым влияя на развитие корней и взаимодействие с окружающей средой [23]. Также было замечено, что метаболизм талианола играет важную роль в сборке и становлении микробиома арабидопсиса; было показано, что очищенные тритерпены непосредственно модулируют корневые бактерии, оказывая стимулирующее или ингибирующее действие на рост в зависимости от тестируемых соединений и корневых микробов. В соответствии с этим было высказано предположение, что тритерпены также служат корневым экссудатом для формирования Rizobium. В качестве мембранных компонентов гидрофобные тритерпены выполняют структурную и регуляторную функцию, т. е. могут влиять на проницаемость мембран и, таким образом, оказывать влияние как на транспорт гормонов и их накопление в корне, так и на экссудацию метаболитов, тем самым косвенно модулируя корневые микроорганизмы [24].
Установлено участие тритерпеноидов (β-амирина, лупеола), а также ТГ в процессах формирования и развития клубеньков бобовых культур. Показана роль β-амирина в спецификации эпидермальных клеток корня и образовании корневых волосков растений овса (Avena strigosa Schreb.), а также структурная функция тритерпеноидов, как компонентов кутикулы и кутикулярного воска, создающих барьер для водопроницаемости и испарения воды [19].
ВОЗМОЖНЫЕ МЕХАНИЗМЫ ФИТОРЕГУЛИРУЮЩЕГО ДЕЙСТВИЯ ТРИТЕПЕНОИДОВ
Одним из важнейших биологических свойств тритерпеноидов является способность вызывать изменения роста при экзогенном воздействии на растения. Согласно современным представлениям, физиологическая активность большинства негормональных фиторегуляторов обусловлена их способностью влиять на какой-либо компонент гормональной системы растений [25–27]. Молекулярные механизмы фиторегулирующего действия тритерпеновых веществ неизвестны, но полученные данные о механизме действия отдельных соединений (например, хромосапонина I, тритерпенового гликозида, выделенного из бобовых культур) указывают на то, что физиологические эффекты тритерпеноидов и их гликозидов могут осуществляться путем модулирования действия фитогормонов за счет влияния на их транспорт, внутриклеточное содержание и (или) на передачу гормональных сигналов [28]. Например, было показано, что вызванная хромосапонином I стимуляция роста корней, удлинения и деления эпидермальных корневых клеток проростков арабидопсиса (Arabidopsis taliana (L.) Heynh.) связана с участием этого соединения в передаче сигналов этилена и гиббереллина [29]. Кроме того, на мутантах арабидопсиса была установлена способность хромосапонина I регулировать геотропный ответ корней путем модулирования притока эндогенного ауксина в клетки корня за счет специфического взаимодействия с AUX1 – белком-переносчиком ауксина [30].
В реализации фиторегулирующего действия ТГ важное значение может иметь их способность увеличивать проницаемость клеточных мембран. В низких концентрациях ТГ, взаимодействуя со стеринами клеточных мембран, образуют дополнительные ион-селективные каналы, проницаемые в основном для K+, Na+ и Cl–, которые могут служить сигналом к запуску и стимуляции клеточных процессов [31].
На примере ТГ показано, что в зависимости от структуры они оказывают на растения физиологическое действие при тех же концентрациях, что и фитогормоны, проявляя в специфических биотестах эффекты, характерные для ауксинов, гиббереллинов и цитокининов. Ауксиноподобное действие ТГ проявлялось в биотесте на стимуляцию роста колеоптиля пшеницы (Triticum aestivum L.) путем растяжением клеток [32], биотесте на стимуляции корнеобразования у стеблевых черенков фасоли (Phaseolus vulgaris L.) [33], а также в стимулировании роста корней проростков гороха (Pisum sativum L.) [34].
Установлено изменение активности ферментов, участвующих в метаболизме ауксина – индолил-3-уксусной кислоты (ИУК) после действия на растения низких концентраций ТГ, выделенных из листьев Silphium perfoliatum L. Обработка семян озимой пшеницы растворами этих соединений снижала в проростках активность пероксидазы (ПО), ИУК-оксидазы (ИУКО) и полифенолоксидазы (ПФО): в корнях соответственно на 15– 22, 24–33 и 8–20%, в побегах – на 23–35, 33–44 и 18– 21% по сравнению с контролем [35]. Эти данные позволяют предполагать, что снижение под действием ТГ ауксиноксидазной активности приводит к повышению содержания ИУК и, следовательно, к усилению ИУК-зависимых ростовых процессов. Действие ТГ на ИУКО сходно с действием экзогенного гиббереллина (ГА3), который, как известно, оказывает существенное влияние на ауксиновый обмен, способствуя различными путями повышению ИУК в тканях. После обработки ГА3 наблюдали повышение ИУК в растениях и понижение активности ИУКО [36].
Гиббериллиноподобная активность ТГ выявлена в биотесте на прирост гипокотиля салата (Latuca sativa L.), кроме того ТГ стимулировали прорастание семян салата при повышенной температуре, проявив активность, характерную для гиббереллинов и цитокининов [33]. Одним из проявлений биологической активности цитокининов является стимуляция роста каллусных клеток в изолированной стерильной культуре. При введении в стерильную питательную среду тритерпеновых соединений (0.01, 1.0, 10.0 мг/л) наблюдали усиление роста каллусной ткани женьшеня (Panax ginseng C. A. Mey) [37], повышение индекса роста каллусной культуры княжика сибирского (Atragene speciosa Weinm.) на среде с добавкой препарата Силк в концентрации 0.04 и 0.08 мл/л [38]. Цитокининоподобная активность была установлена у ТГ в биотесте на сохранение хлорофилла в изолированных отрезках листьев ячменя посевного (Hordeum sativum L.). В помещенных на растворы ТГ отрезках листьев в темноте отмечена задержка разрушения пигментов, суммарное содержание хлорофиллов a и б в них через 6 сут от начала эксперимента было на 10–30% больше, чем в контроле. Эффект ТГ (1 мг/л) соответствовал уровню активности 6-бензиламинопурина (БАП) в аналогичной концентрации (30% по отношению к контролю) [33]. Гиббереллино- и цитокининоподобное действие тритерпеноиды оказывали также на процессы прорастания семян пшеницы, которое будет рассмотрено ниже.
Таким образом, тритерпеновые соединения обладают широким спектром рострегулирующей активности и способны оказывать влияние на физиолого-биохимические процессы, регулируемые различными группами фитогормонов.
ВЛИЯНИЕ РЕГУЛЯТОРОВ РОСТА НА ОСНОВЕ ТРИТЕРПЕНОИДОВ НА НАЧАЛЬНЫЕ ФАЗЫ РАЗВИТИЯ ПШЕНИЦЫ
Процесс прорастания начинается с начала поступления воды в семя. Вода является не только обязательным условием, но и триггером прорастания. Поэтому интенсивность прорастания семян зависит от скорости их набухания. Повышение темпов водопоступления в семена, как известно, приводит к более раннему достижению пороговых уровней, необходимых для активации метаболических процессов [39].
Применение препарата Силк для обработки семян озимой пшеницы (сорт Скифянка) способствовало усилению водопоглощения, которое составило через 40 ч 75.6% (в контроле – 67.9%) [40]. Отмечено также более интенсивное набухание семян яровой пшеницы сорта Учитель после их обработки препаратом Биосил [41]. В обработанных растворами очищенной суммы ТГ (концентрации 0.0005 и 0.001%) и обогащенного ими экстракта из листьев Silphium perfoliatum L. (концентрации 0.2, 0.4%) семенах озимой пшеницы (сортов Багира и Виктория 11) интенсивность их набухания в течение 48 ч их намачивания увеличилась по сравнению с контролем на 3.1–5.2% в зависимости от сорта, причем этот эффект препаратов был сходен с эффектом экзогенного гиббереллина (ГА3) при использовании концентрации 0.0005% [42].
Было показано, что при обработке семян озимой пшеницы сорта Авеста низкими концентрациями ТГ (0.5, 1, 5 мкМ), в них при прорастании наблюдали существенное увеличение активности α-амилазы и суммарной активности амилаз [43]. Под действием препарата очищенной суммы ТГ повышалась общая амилазной активность в проростках, при этом отмечена различная реакция сортов озимой пшеницы (сорта Авеста и Ермак) на действие разных концентраций исследованного препарата и фитогормонов, что, по-видимому, обусловлено различиями в балансе эндогенных фитогормонов в растениях этих сортов [44]. Выявлено также увеличение суммарной активности амилаз в прорастающих зерновках озимой пшеницы сорта Скифянка после их предварительной обработки препаратом Силк [40].
В обработанных растворами ТГ (в концентрациях 0.5, 5.0 и 10.0 мкМ) семенах озимой пшеницы сорта Авеста при их прорастании повышалась активность ПО на 40–80 и ПФО – на 15–23% по сравнению с контролем [35]. Обработка семян озимой пшеницы сорта Московская 56 препаратом Новосил также вызывала в них на 5-е сут проращивания увеличение активности ПО, но не столь значительное [45]. В прорастающих семенах яровой пшеницы, предобработанных Новосилом, повышалась интенсивность расхода их сухой массы на 4.5–6.1% предположительно за счет повышения ферментативной активности [46]. Кроме того, при нанесении на семена озимой пшеницы сортов Багира и Виктория 11 растворов препарата очищенной суммы ТГ (0.0005 и 0.001%) наблюдали повышение в них активности каталазы (КАТ), которое на 7-е сут прорастания семян составило по отношению к контролю 35–55% в зависимости от сорта. Схожее действие отмечено при применении экстракта, обогащенного ТГ, полученного из листьев Silphium perfoliatum L. По степени воздействия на активность КАТ препараты ТГ были близки к экзогенному ГА3 [42].
Установлено, что обработка семян сорта озимой пшеницы Виктория 11 раствором очищенной суммы ТГ (0.001%) повышала суммарную активность нитратредуктазы (НР) корней и листьев 7-суточных проростков на 22%, на фоне субстратной активации фермента нитратом калия – на 41% по сравнению с контролем [47]. Этот эффект ТГ можно рассматривать как проявление цитокининоподобного действия на метаболическом уровне, поскольку гормональная регуляция активности НР – первого и ключевого фермента азотного метаболизма в процессе восстановления нитрата до нитрита – осуществляется цитокининами [48]. Об активации азотного метаболизма свидетельствует также повышение в проростках содержания суммарного белка на 8–16% по отношению к контролю после обработки семян растворами индивидуальных ТГ и их суммы, активность которых соответствовала уровню активности экзогенного БАП. Повышение содержания суммарного белка в проростках положительно коррелировало с увеличением длины корней и побегов, их сырой и сухой массой [43, 44]. Показано также, что обработка семян мягкой яровой пшеницы сорта Прохоровка и твердой сорта Омский рубин препаратом Силк вызывала увеличение интенсивности клеточных делений апикальных меристем зародышевых корней на 31.0%, при этом синхронность митозов корневых меристем мягкой пшеницы возрастала на 10.1, твердой – на 8.3% [49].
Таким образом, обработка семян пшеницы тритерпеновыми соединениями увеличивало водопоглощение и их набухание, что приводило к более быстрому достижению пороговых уровней оводненности семян и активации метаболизма. При этом отмечено увеличение активности ферментов: амилаз, ПО, ПФО и КАТ в прорастающих семенах и НР в корнях и листьях проростков, свидетельствующее о повышении скорости мобилизации запасного крахмала, усилении окислительно-восстановительных процессов, интенсивности дыхания и более активном использовании азота, особенно на фоне применения нитратов. Вследствие этого увеличивалось содержание суммарного белка в проростках, интенсивность деления клеток и синхронность митозов в апикальных меристемах зародышевых корней.
Можно предполагать, что стимулирующее действие РРР на основе тритерпеноидов на активность ферментов в прорастающих семенах пшеницы опосредовано гиббереллинами и цитокининами, поскольку именно эти фитогормоны, как известно [50], играют важную роль в регулировании процессов прорастания и метаболизма семян, в частности, функцию регулирования образования гидролитических ферментов в семенах однодольных культур выполняют гиббереллины.
Активация физиолого-биохимических процессов под действием тритерпеновых регуляторов роста на начальных этапах прорастания находит свое выражение в показателях посевных качеств семян, о чем свидетельствует наличие тесной положительной корреляционной зависимости между амилазной, каталазной [40, 49], пероксидазной активностью [51] и всхожестью семян, а также между степенью набухания и энергией прорастания семян [49]. Например, при применении в оптимальных концентрациях очищенной суммы ТГ (0.0005%) и обогащенного ими экстракта из листьев Silphium perfoliatum L. (0.4%) наблюдали увеличение скорости прорастания соответственно на 4–7 и 3–9% и лабораторной всхожести семян озимой пшеницы сортов Багира и Виктория 11 – на 4–6 и 3–5% в зависимости от сорта. Повышение относительно контроля энергии прорастания и лабораторной всхожести семян при использовании ГА3 в данном случае составило 3–9 и 4–5% соответственно [42].
Во многих исследованиях показано, что обработка семян озимой пшеницы препаратом Силк в зависимости от сорта и условий выращивания вызывала повышение по сравнению с контролем энергии прорастания семян на 3.5–6.8, лабораторной и полевой всхожести – соответственно на 3.5– 4.7 и 1.4–7,5% [40, 52–54]. После обработки семян озимой пшеницы препаратом Биосил увеличение этих показателей по отношению к контролю составило соответственно 5–10, 3–8, 5–11%, [55–58]. При применении препаратов Новосил и Альфастим энергия прорастания, лабораторная и полевая всхожесть повышались соответственно на 5–8, 3–7, 4–11% [58–60]. Схожие данные для этих показателей получены и для яровой пшеницы при использовании препаратов Силк [49, 61, 62], Биосил [41, 63–68], Новосил [69–71], Альфастим [72, 73]. При этом под действием рассматриваемых препаратов отмечено увеличение длины и массы проростков. Предпосевная обработка семян пшеницы препаратами стимулировала более раннее появление всходов (на 1–4 сут) [41, 56, 74], увеличение высоты растений, коэффициента кущения [40, 52, 58, 70, 75–76], усиление развития корневой системы [77, 78]. Отмечено также увеличение содержания хлорофиллов a и б в проростках яровой пшеницы, полученных из обработанных препаратом Биосил (10–7%) семян [67]. В полевых условиях при посеве обработанных Силком семян яровой пшеницы в фазе кущения также наблюдали увеличение общего содержания хлорофилла на 5.4% [74]. Приведенные данные свидетельствуют об активизации фотосинтеза при применении рассмотренных препаратов уже на ранних этапах развития растений.
Таким образом, предпосевная обработка семян пшеницы регуляторами роста на основе тритерпеноидов, повышала полевую всхожесть, стимулировала развитие корневой системы и образование побегов кущения, способствовала формированию оптимальной густоты стеблестоя – первого и основополагающего элемента структуры урожая, которые являются необходимыми условиями последующего успешного развития растений и повышения их продуктивности.
ВЛИЯНИЕ РЕГУЛЯТОРОВ РОСТА НА ОСНОВЕ ТРИТЕРПЕНОИДОВ НА ВЕГЕТИРУЮЩИЕ РАСТЕНИЯ ПШЕНИЦЫ
Количество хлорофилла является важнейшим биохимическим показателем, определяющим эффективность функционирования фотосинтетического аппарата и его потенциальные возможности в формировании общей биологической продуктивности растений [79]. При изучении действия РРР на растения озимой пшеницы в условиях Краснодарского края установили повышение содержания пигментов в листьях под влиянием препарата Силк. Если в фазе колошения в листьях разных сортов озимой пшеницы в контроле содержание хлорофилла a составило 6.52–6.88, хлорофилла b – 2.23–2.30 и каротиноидов – 2.66–2.89 мг/г сырой массы, то в вариантах с обработкой семян и растений Силком величина этих показателей составила соответственно 7.11–7.59, 2.24–2.33 и 3.03–3.28 мг/г сырой массы, следовательно, количество суммарного хлорофилла в опытных вариантах превысило контроль на 6.9–8.1, каротидоидов – на 13.9–13.5%. Аналогичная закономерность отмечена и в других фазах развития растений [52]. При изучении действия Силка, Биосила и экстракта из листьев Silphium perfoliatum L. в посевах разных сортов озимой пшеницы в условиях зоны неустойчивого увлажнения Ставропольского края показано увеличение в фазе молочной спелости содержания в листьях хлорофилла a, хлорофилла б и суммарного хлорофилла на 9–25% [77, 80]. При обработке растений в фазе колошения Силком и экстрактом на фоне некорневой азотной подкормки карбамидом в дозе N30 содержание суммарного хлорофилла в листьях увеличилось в зависимости от сорта на 12–31% по сравнению с контролем [81]. Установлен наибόльший стимулирующий эффект препарата Силк на содержание хлорофилла в листьях при его применении в утренние часы по сравнению с применением в ночное время [82].
Фотосинтетическая деятельность растений, основными показателями которой являются площадь листьев (ПЛ), фотосинтетический потенциал (ФП), чистая продуктивность фотосинтеза (ЧПФ) и коэффициент использования фотосинтетически активной радиации (ФАР), играет важную роль в формировании урожая [83]. В ряде работ показано, что применение препарата Силк в посевах озимой пшеницы приводило к увеличению размеров ассимиляционной поверхности листьев, продолжительности их жизни и интенсивности работы листового аппарата, следствием чего явилось повышение фотосинтетической продуктивности растений [40, 52, 84– 86]. Например, опыты, проведенные на выщелоченном черноземе Ставропольского края, показали, что обработка семян и растений озимой пшеницы сорта Палпич в фазе начала выхода в трубку препаратом Силк повышала ФП в межфазный период трубкования–цветения в среднем за 3 года на 86.3 тыс. м2/сут/га по отношению к контролю, при этом ЧПФ возросла относительно контроля в среднем за вегетацию на 1.36 г/ м2/ сут (на 14.9%) [40]. Если площадь листовой поверхности посевов озимой пшеницы сорта Московская 39, произраставшей в условиях Курской обл., в фазе молочно-восковой спелости в контрольном варианте составила в среднем за 3 года исследований 24.3 тыс. м2/га, то при обработке посевов препаратом Силк в период кущения–начала выхода в трубку она увеличилась относительно контроля на 11.1% (на 26.9 тыс. м2/ га), а ФП – на 17.7% [84]. Согласно литературным данным [85], обработки посевов озимой пшеницы сорта Гром препаратом Силк в условиях этого же региона увеличивали площадь листовой поверхности (на 6.4– 24.3%) и рост сухой биомассы растений к концу вегетации в среднем за 2 года на 0.88 т/га (на 8.4%) по сравнению с контролем. Показано увеличение ПЛ и ЧПФ в разных фазах развития озимой пшеницы Московская 39 в условиях Республики Мордовия (южная часть Нечерноземной зоны России) при обработке посевов препаратом Силк как на безгербицидном фоне, так и при его совместном использовании с гербицидами [86]. В результате изучения действия Силка на показатели фотосинтетической деятельности посевов озимой пшеницы сорта Тарасовская 70 в условиях темно-каштановых почв Ростовской обл. после обработки препаратом семян и посевов в фазе кущения установлено повышение ПЛ, ФП, сухой надземной биомассы растений [54].
Высокий положительный эффект на фотосинтетическую деятельность посевов озимой пшеницы обнаружен у препарата Биосил. Исследования [85], проведенные на 6-ти сортах озимой пшеницы на фоне использования различных доз минеральных удобрений в зоне светло-каштановых почв Республики Калмыкия, показали, что предпосевная обработка семян и опрыскивание растений в фазе начала выхода в трубку препаратом Биосил обеспечили в среднем за 3 года наибольшее увеличение ПЛmax на 42.7–46.7, (контроль – 29.6– 30.7 тыс. м2/ га), ФП – на 1950– 2210 (контроль – 1320– 1410 тыс. м2/сут/га), ЧПФ – на 3.8– 4.2, (контроль – 2.6– 3.1 г/ м2/ сут), коэффициент использования ФАР – на 1.93–2.11 (контроль – 1.00– 1.06%), при этом урожай сухой биомассы составил 7.83–8.10 (контроль – 6.30– 6.68 т/ га). Применение Биосила в посевах сорта озимой пшеницы Оренбургская 105 в засушливых условиях Оренбургского Предуралья также способствовало формированию более мощного ассимиляционного аппарата и увеличению коэффициента использования ФАР, а также выявлена тесная корреляционная связь (r = 0.970) ФП с максимальной ПЛ. По данным авторов работы [56], при обработке препаратом Биосил семян и 2-кратной обработке растений озимой пшеницы сорта Виктория Одесская в весенне-летний период вегетации в условиях Ростовской обл. в фазах кущения и колошения в среднем за 3 года ПЛ увеличилась относительно контроля на 2.2 тыс. м2/га, ФП – на 171 тыс. м2/сут/га, ЧПФ – на 0.35 г/м2/ сут.
При обработке Новосилом семян озимой пшеницы, возделываемой в условиях ЦЧР, наблюдали увеличение ПЛ, ФП, при этом ЧПФ в межфазный период выхода в трубку–колошения у сортов Московская 56 и Бирюза в среднем за 3 года составила соответственно 6.3 и 4.8, в то время как в контроле – 5.1 и 4.3 г/м2/сут. Причем наибольший эффект препарата Новосил на фотосинтетическую продуктивность отмечен в вариантах с его совместной обработкой с фунгицидом [89]. При сочетании обработки Новосилом посевов озимой пшеницы сорта Трио в фазе выхода в трубку с некорневой азотной подкормкой (N60) на удобренном фоне (N60P60K45) в условиях лесостепной зоны РСО–Алания отмечено значительное увеличению сухой надземной биомассы (на 1.65 т/га) по сравнению с контролем (без удобрений и регулятора роста) [90].
Показано, что обработка посевов сорта Гром в условиях Адыгеи в фазах кущения и колошения препаратами Новосил, Альфастим и Биосил стимулировала увеличение ПЛ в поздних фазах развития растений на 9–10%. Отмечено увеличение величины ФП под действием препаратов в межфазных периодах и ЧПФ в период колошение–молочная спелость в вариантах с обработкой Новосилом на 35.9, Альфастимом – на 25.6 и Биосилом – на 39.2% [91]. Применение Новосила, Альфастима и Биосила для обработки растений озимой пшеницы сортов Таня и Гром в фазах выхода в трубку, выращиваемых в условиях предгорной провинции Дагестана, приводило к увеличению относительно контроля ПЛ на 17.8 и 31.3%, 14.8 и 21.9%, 5.2 и 10.2% соответственно. Под действием исследованных препаратов зафиксировано увеличение и других показателей фотосинтетической деятельности посевов озимой пшеницы [92].
В условиях Пензенской обл. у обработанных Силком растений яровой пшеницы сорта Прохоровка ПЛ в зависимости от уровня минерального питания в среднем за 3 года превысила контроль на 3.1–3.2 тыс. м2/га, ФП – на 70–73 тыс. м2/ сут/ га, ЧПФ – на 0.16–0.19 г/м2/сут в период от выхода в трубку до колошения [75]. При обработке препаратом Силк семян и 2-кратной обработке посевов яровой пшеницы сорта Камышинская 3 в условиях подзоны светло-каштановых почв Нижнего Поволжья на фоне внесения удобрений в дозе N90P60 величина ПЛ за период вегетации в среднем за 3 года составила 20.5 (контроль19.9 тыс. м2/га), ФП – 957 (контроль 895 тыс. м2/сут/га), урожайность сухой биомассы – 5.42 (контроль – 5.37 т/ га) [61]. Согласно исследованиям, проведенным в засушливых условиях Волгоградского Заволжья, аналогичные обработки посевов яровой пшеницы разных сортов также приводили к увеличению относительно контроля показателей ПЛ, ФП и урожайности сухой биомассы, но эффект препарата зависел от нормы высева семян [93]. На основании исследований, проведенных в условиях южной зоны Амурской обл., отмечено увеличение в среднем за 2 года по отношению к контролю ПЛmax на 2.8 тыс. м2/ га (на 13.7%) в фазе цветения сорта яровой пшеницы Арюна после опрыскивания посевов в фазе флаг-листа препаратом Новосил, а также повышение ФП за вегетацию на 110 тыс. м2/сут/га (на 15.6%) и ЧПФ – на 0.79 г/м2/сут. В варианте с применением Новосила сухая масса растений в фазе молочной спелости составила 5420 кг/га, что на 28.7% превысило контроль [94].
Стимулирование процессов образования хлорофилла и усиление фотосинтетической деятельности растений пшеницы с помощью РРР в значительной мере связано с улучшением снабжения растений элементами минерального питания. В результате опытов, поведенных в южной части Ростовской обл., установлено увеличение содержания N, P, K в надземной части растений озимой пшеницы сортов Донская Юбилейная и Ермак при обработке семян и посевов в фазе колошения препаратом Силк [95]. Исследования [96] показали, что обработка препаратом Альфастим семян озимой пшеницы сорта Багира в зоне неустойчивого увлажнения Ставропольского края способствовала повышению содержания азота в органах растений на разных этапах органогенеза. Если в фазе кущения содержание азота в листьях составило 4.39, то при применении регулятора роста – 4.79%. Увеличение содержания азота в вегетативной массе растений отмечено также в фазах колошения и молочно-восковой спелости, при этом возрастала активность НР во флаговых листьях до 5.39 (контроль – 3.60 мкМ NO2/растение). В результате предпосевной обработки семян препаратом Альфастим увеличение активности НР наблюдали в фазе колошения также в листьях сорта озимой пшеницы Виктория 11 [97], что свидетельствовало о повышении нитратвосстанавливающей способности листьев и усвоении нитратов.
Таким образом, обработки семян и растений пшеницы РРР на основе тритерпеноидов увеличивали содержание хлорофилла в листьях, активизировали фотосинтетическую деятельность посевов, повышали продуктивность фотосинтеза, способствовали увеличению содержания элементов минерального питания, активировали азотный метаболизм.
ДЕЙСТВИЕ РЕГУЛЯТОРОВ РОСТА НА ОСНОВЕ ТРИТЕРПЕНОИДОВ НА УСТОЙЧИВОСТЬ РАСТЕНИЙ ПШЕНИЦЫ К НЕБЛАГОПРИЯТНЫМ УСЛОВИЯМ СРЕДЫ И ПОРАЖАЕМОСТЬ ФИТОПАТОГЕНАМИ
Различные стрессы являются основными факторами, ограничивающими продуктивность сельскохозяйственных культур. Проблема повышения устойчивости к неблагоприятным условиям среды в настоящее время стоит особенно остро в связи с увеличением стрессовой нагрузки на растения, вызванной техногенным загрязнением окружающей среды, негативным влиянием на нее химических пестицидов, уменьшением почвенного плодородия, резким изменением климата [2, 4].
В ответных реакциях растений на стресс и адаптационных перестройках, выражающихся в изменении многих физиологических и метаболических процессов, важная роль принадлежит фитогормонам [98, 99]. Экзогенное применение фитогормонов или других рострегулирующих веществ, воздействующих на работу гормональной системы, позволяет изменять реакцию растений на действие различных стрессоров (низких и высоких температур, водного дефицита, засоления, гипоксии и др.) и повышать к ним устойчивость растений.
Влияние регуляторов роста на основе тритерпеновых соединений на стрессоустойчивость пшеницы изучали в ряде модельных опытов в лабораторных условиях и оценивали по способности семян прорастать в экстремальных условиях и ростовой реакции проростков. Критериями оценки служили показатели водопоглощения семенами, их энергия прорастания и всхожесть, линейные размеры и биомасса проростков.
На модели прорастающих семян пшеницы установлен антистрессовый эффект ТГ при действии на семена высокой температуры. Показано, что у семян озимой пшеницы сорта Виктория Одесская, подвергшихся действию высокой температуры (100оС, 2 ч), резко снижалась всхожесть (7%), в то время как семена, предварительно обработанные растворами суммы ТГ (0.01%), экстракта из Silphium perfdoliatum (0.2–0.4%) и абсцизовой кислоты (АБК) (0.001%), в значительной мере сохранили всхожесть (соответственно 46 и 54%) при этом длина проростков, полученных из этих семян, превышала длину контрольных проростков в несколько раз [100]. Антистрессовый эффект суммы ТГ в данном случае был сходен с эффектом АБК, которая является одним из важнейших стресс-гормонов, регулирующих защитные реакции растений на повышение температуры, обезвоживание, засоление и другие стресс-факторы. Установлено также, что семена озимой и яровой пшеницы, обработанные растворами суммы ТГ и проращиваемые во влажном песке при повышенной температуре, прорастали значительно интенсивнее, чем в контроле (обработка водой), их энергия прорастания составила соответственно 54 и 80%, а в контрольном варианте всходы отсутствовали. Грунтовая всхожесть семян в опытных вариантах превысила контроль соответственно на 25 и 19% и достигла уровня, который наблюдали при прорастании семян этой культуры в оптимальных условиях [101].
Наряду с действием повышенных температур, значимым абиотическим фактором, существенно влияющим на урожайность сельскохозяйственных культур, является водный дефицит (засуха). Действию этого фактора могут подвергаться растения озимой и яровой пшеницы главным образом во 2-й половине вегетации. Оценку влияния рассматриваемых регуляторов роста на засухоустойчивость пшеницы проводили косвенным методом – при проращивании семян в растворах осмотика (сахарозы, полиэтиленгликоля). Было показано, что у семян озимой пшеницы сорта Скифянка, проращиваемых на растворах сахарозы, значительно снижалось водопоглощение. Обработанные Силком семена достигали необходимый для прорастания порог водопотребления через 22 ч с начала проращивания (47.9%), в то время как в контроле (обработка водой) водопоглощение составило 35.8%. Применение РРР позволило увеличить водопоглощение на 8.5–12.1%, но их абсолютные показатели были все же меньше, чем в варианте с проращиванием семян на воде (53.0%). Кроме того, в обработанных Силком семенах при их проращивании в растворе сахарозы отмечено увеличение интенсивности дыхания семян (2.0– 2.5) по сравнению с контролем (0.5–1.5 мг СО2/г семян/ч), активности КАТ (14.1), (в контроле – 11.8 см3 О2/3 мин), при этом энергия прорастания повысилась относительно контроля на 15, всхожесть – на 6, сухая масса побегов проростков – на 11.3% [40]. В аналогичном лабораторном опыте установлено стимулирующее действие Альфастима на параметры роста проростков (длину корней и побегов) при обработке им семян озимой пшеницы сорта Багира, проращиваемых в растворах сахарозы различной концентрации (3, 10, 20%), имитирующих различные уровни почвенной засухи. Эффект препарата возрастал при его совместном использовании с жидкими органо-минеральными удобрениями Полидон Био Зерновой и Полидон Амино Старт [102].
Изучение влияния Na-cолей суммы тритерпеновых кислот из пихты сибирской на устойчивость яровой пшеницы сорта Приокская к обезвоживанию показало, что после инкубации проростков в растворах осмотика (полиэтиленгликоль в концентрации 10 и 15%) прирост корней за 1 сут снизился на 11–12% по сравнению с растениями, выращенными в обычных условиях. Обработка семян препаратом в концентрациях 0.0001–001% привела к восстановлению скорости роста корней после снятия стресса до исходного уровня, длина корней при этом превысила контроль (обработка водой) на 11–18%. При применении более высокой концентрации препарата 0.002% длина корней проростков увеличивалась на 24–32% в зависимости в величины стрессовой нагрузки. Накопление сухой массы корнями проростков возрастало соответственно увеличению применявшихся концентраций препарата [103].
Тяжелым стресс-фактором для растений является засоление, обусловленное повышенными концентрациями в среде минеральных солей, оказывающих на растения осмотическое и токсическое действие. Обработка семян озимой пшеницы сорта Скифянка Силком на фоне хлоридного засоления повышала относительно контроля водопоглощение семенами на 8.0–15.4%, активность в них КАТ – на 16.4% и интенсивность дыхания семян (1.9–2.2) по отношению к контролю (0.9–1.2 мг СО2 г семян/ч), при этом увеличивалась энергия прорастания, всхожесть семян и сухая масса проростков – соответственно на 13, 9.0 и 35.3% по сравнению с контролем (без обработки) [40]. Положительное влияние Силка на посевные качества семян и развитие проростков озимой пшеницы в условиях солевого стресса подтверждено и другим исследованием [104]. Обработка препаратом Альфастим семян озимой пшеницы сорта Виктория 11 повышала солеустойчивость проростков, находящихся в солевом растворе, увеличивая интенсивность линейного роста корней, побегов и накопление биомассы [105]. Установлен также антистрессовый эффект экстракта из листьев Silphium perfoliatum, содержащего ТГ, на проростки озимой пшеницы, подвергнутые солевому стрессу. При проращивании семян сорта Виктория Одесская, обработанных экстрактом в концентрации 0.5–1.2%, в растворе NaCl (концентрация 0.98%) наблюдали увеличение длины проростков на 26 и их сухой массы – на 10% по сравнению с контролем (обработка водой), что свидетельствовало о повышении их солеустойчивости [100].
Показано стресспротекторное действие препарата Na-cолей суммы тритерпеновых кислот из пихты сибирской на устойчивость яровой пшеницы сорта Приокская к алюмокислому стрессу, действию которого особенно подвержены растения, произрастающие на почвах Незерноземной зоны России. При проращивании семян, предварительно обработанных растворами препарата в концентрации 0.0015–0.002% в растворе сульфата алюминия (рН 4.5), наблюдали увеличение по сравнению с контролем (без обработки) длины корней на 22–59, побегов – на 2–13, сухой массы проростков – на 11–49%. Хотя линейные размеры проростков существенно возросли, однако не достигли величин, зарегистрированных в эти сроки у проростков, выращенных на воде. Тем не менее, при применении препарата негативное действие стресса на растения значительно снизилось [103].
Известно [106], что высокие концентрации ионов водорода и алюминия в корнеобитаемой зоне растений приводят к изменению их метаболизма, нарушают синтез хлорофилла и процессы фотосинтеза, а также индуцируют усиление образования активных форм кислорода (АФК), приводящее к окислительному стрессу, который может сопровождаться снижением количества фотосинтетических пигментов. Показано [107], что в листьях проростков яровой пшеницы сорта Приокская на алюмокислом фоне наблюдали уменьшение содержания хлорофиллов a и б (на 12 и 14% соответственно), каротиноидов (на 10%). Обработка семян экстрактами из хвои пихты (Аbies sibirica L.) (концентрация 0.0001%) повышала содержание пигментов в листьях стрессированных проростков на 5–6%. Применение аналогичной концентрации экстракта из березы (Betula pendula R.), содержащего тритерпеноиды, компенсировало стрессовое воздействие на пигментный комплекс проростков и повышало содержание хлорофиллов a и б и каротиноидов в листьях соответственно на 9, 27 и 11% по сравнению с контролем без обработки. Установлено также антиоксидантное действие экстрактов на нейтральном фоне по снижению интенсивности перекисного окисления липидов (ПОЛ), которое оценивали по содержанию малонового диальдегида (МДА) – конечному продукту процесса. При обработке семян экстрактом из пихты в низкой концентрации (0.000025%) наблюдали наибольшее снижение содержания МДА (9.0) по сравнению с контролем (13.3), при использовании концентрации экстракта из березы (0.0001%) содержание МДА составило 12.2 нМ/г сырой массы. На алюмокислом фоне указанные концентрации экстрактов не действовали на снижение ПОЛ, тенденция к уменьшению интенсивности ПОЛ прослежена только в варианте с обработкой семян экстрактом из березы (0.001%). Авторы отмечали, что в стрессовых условиях эффективны повышенные концентрации препаратов, оказывающее защитное действие на физиологические процессы в растениях по сравнению с концентрациями, эффективными в нормальных условиях. Такая закономерность отмечена и в других исследованиях антистрессового действия РРР на основе тритерпеноидов [100, 101].
Одним из неблагоприятных факторов, ведущих к гибели сельскохозяйственных культур, в особенности озимых, является гипоксия (кислородная недостаточность). В природных условиях она возникает в результате переувлажнения и затопления посевов, образования ледяной корки в осенне-зимний и весенний периоды. Результаты лабораторного опыта показали, что из обработанных препаратом Силк семян озимой пшеницы сорта Московская 39, выдержанных в воде в течение 5 сут, образовались проростки, длина корня и побега которых превышала эти показатели в контроле (без обработки) соответственно на 10 и 5% [108]. Следовательно, обработка семян Силком способствовала снижению стресса, вызванного гипоксией, и более активному росту проростков.
Семена пшеницы в период прорастания могут быть подвержены дефициту влаги или переувлажнению, или действию других стресс-факторов, снижающих полевую всхожесть, затрудняющих прорастание и рост проростков. Предпосевная обработка семян рассматриваемыми регуляторами роста повышает полевую всхожесть семян, стимулирует процессы прорастания семян, тем самым способствует ускоренному прохождению критического периода прорастания и хорошему развитию молодых растений. По мнению ряда исследователей [56, 109, 110], хорошо развитые растения озимой пшеницы, ушедшие в зиму с 3–5-ю побегами и содержащие достаточное количество сахаров, обладают высокой зимостойкостью. Полифункциональная роль сахаров в повышении устойчивости растений к гипотермии обусловлена, в первую очередь, их криопротекторным, антиденатурационным действием на белково-липидные компоненты мембран, осмотическим, препятствующим образованию межклеточного льда, метаболическим и резервным, а также их способностью препятствовать развитию окислительного стресса благодаря наличию антиоксидантных свойств [111, 112].
Показано, что предпосевная обработка семян препаратом Силк в условиях Краснодарском края повышала у разных сортов озимой пшеницы содержание сахаров в листьях, густоту стояния до и после перезимовки и выживаемость растений [52]. Результаты полевых опытов, проведенных на выщелоченном черноземе Ставропольского края, также демонстрировали более высокое суммарное содержание сахаров в листьях озимой пшеницы сорта Скифянка осенью (ноябрь) в варианте с предпосевной обработкой семян Силком (21.1%) по сравнению с контрольным вариантом (19.3%) и снижение убыли сахаров к весне (апрель) (12.4%) относительно контроля (11.1%), при этом отмечено увеличение числа перезимовавших (на 4.0%) и выживших растений за период посев–весна (на 4.4%) [40]. Повышение содержания сахарозы в узлах кущения озимой пшеницы сорта Московская 39 (на 1.2–1.5 абс.%) при совместном применении Силка с фунгицидами (Бенорад и Колосаль Про) установлено в условиях юга Нечерноземной зоны России [113]. В другой работе, проведенной в тех же почвенно-климатических условиях, эффект Силка на содержание сахаров в узлах кущения составил 1.5% и была обнаружена тесная прямая зависимость между содержанием сахарозы и сохранностью растений озимой пшеницы к началу весенней вегетации (r = 0.8) [114]. В условиях зоны темно-каштановых почв Ростовской обл. обработка препаратом Силк семян озимой пшеницы сорта Тарасовская 70 повышала число перезимовавших растений от числа взошедших осенью на 4.3–4.7% [54]. Установлено также положительное влияние обработки семян Силком на густоту стояния и выживаемость растений озимой пшеницы сортов Дон 93 и Безенчукская 380 после перезимовки в условиях Волгоградской обл. [53]. Результаты рассмотренных работ свидетельствуют о повышении холодо- и морозоустойчивости растений озимой пшеницы при применении Силка и согласуются результатами ранее проведенных исследований [115, 116].
Установлен стимулирующий эффект препарата Биосил и экстракта из листьев Silphium perfoliatu на содержание сахаров в узлах кущения озимой пшеницы сорта Краснодарская 99, выращиваемой в зоне неустойчивого увлажнения Ставропольского края, который в конце фазы осеннего кущения составил соответственно 1.0 и 2.7 абс.% [77]. Отмечено повышение выживаемости и сохранности растений разных сортов озимой пшеницы после перезимовки (на 1–6% в зависимости от сорта) под влиянием обработки семян Биосилом [55], и увеличение числа перезимовавших растений на 6–7% по сравнению с контролем при обработке Биосилом, Новосилом и Альфастимом [58]. Методом прямого промораживания растений и в полевых условиях установлено, что обработка семян озимой пшеницы сорта Офелия перед посевом препаратом Новосил позволяет повысить морозоустойчивость озимой пшеницы и число сохранившихся после перезимовки растений до 82% [117]. Положительный эффект обработки семян препаратом Новосил на зимостойкость озимой пшеницы [118] и на сохранность растений к весне [119] подтвержден и другими авторами.
В последние годы в связи с аридизацией климата особенно в южных регионах России вегетирующие растения пшеницы часто страдают от засухи, поэтому повышение их устойчивости к водному дефициту имеет важное значение в повышении продуктивности этой культуры. Засухоустойчивость пшеницы тесно связана с состоянием хлорофилло-белково-липидного комплекса, его устойчивостью, о которой можно судить по количеству прочносвязанных фракций хлорофилла. В условиях зоны неустойчивого увлажнения Ставропольского края установлено повышение у разных сортов озимой пшеницы содержания прочносвязанных фракций хлорофилла после обработки посевов Силком и экстрактом из листьев Silphium perfoliatum в фазе колошения на фоне азотной подкормки карбамидом в дозе N30 в среднем за 3 года на 5–17 абс. % и, следовательно, потенциальной устойчивости к засухе [80, 81].
Влияние препарата Силк на засухоустойчивость и жаростойкость растений озимой пшеницы, выращиваемых в зоне неустойчивого увлажнения Ставропольского края, оценивали по изменению тургесцентного состояния тканей флаговых листьев после воздействия в первом случае обезвоживающего фактора, во втором – после воздействия высокой температуры. Выполненные исследования показали, что при применении Силка в посевах разных сортов озимой пшеницы коэффициент стабильности признака засухоустойчивости, характеризующий отношение толщины листа после действия стрессора к исходной, в среднем за 2 года составил 0.84, жаростойкости – 0.52, тогда как в контроле – 0.73 и 0.44 соответственно. Повышение засухо- и жароустойсивости озимой пшеницы под влиянием Силка, по-видимому, обусловлено возрастанием водоудерживающих сил клеточных коллоидов, способствующих сохранению физиологической активности листьев [40]. Водоудерживающая способность листьев, как интегральный показатель водного режима, в вариантах с обработкой Силком и экстрактом из листьев S. perfoliatum посевов разных сортов озимой пшеницы была больше по отношению к контролю на 4–6 абс. % в зависимости от сорта [40, 81].
Одним из адаптивных механизмов, от которого зависит поддержание тургора и роста клеток в условиях засухи, является накопление осмотически активных веществ в тканях растений. Авторы работы показали [120], что в засушливых условиях Южного Предуралья предпосевная обработка семян Биосилом повышала осмотический потенциал клеточного сока листьев яровой пшеницы неустойчивого к засухе сорта Салават Юлаев на 67% по сравнению с контролем, в результате чего повышались засухоустойчивость и урожайность пшеницы.
О влиянии рассматриваемых РРР на водный режим посевов пшеницы можно судить также по коэффициенту водопотребления, под которым понимается суммарный расход воды культурой на формирование единицы товарной продукции, включая расход воды на транспирацию и испарение с поверхности почвы. При этом отмечена характерная особенность: коэффициенты водопотребления уменьшаются с улучшением агротехники и ростом урожайности. Анализ коэффициентов водопотребления пшеницы показывает, что при применении фиторегуляторов наблюдается снижение этого показателя, особенно на фоне внесения удобрений. Исследования, проведенные в условиях подзоны светло-каштановых почв Волгоградской обл. показали, что обработка семян и 2-кратная обработка препаратом Силк посевов яровой пшеницы сорта Камышенская 3 снижала коэффициент водопотребления на фоне без удобрений с 197 до 177, на фоне с применением удобрений в дозе N90P60 – c 156 до 141 мм/т и приводила к получению более высокого урожая [61]. Аналогичная закономерность установлена при применении Новосила в посевах этой культуры в сухостепной зоне Волгоградской обл. [121]. Было также установлено, что обработка Новосилом семян и посевов озимой пшеницы сорта Доминанта в фазах кущения и колошения в условиях Ростовской обл. способствует уменьшению коэффициента водопотребления с 65.1 до 57.7, а при совместном использовании Новосила и удобрений в дозе N50P20 – до 51.9 мм/т [122]. Согласно данным, полученным при изучении действия Биосила на водный режим озимой пшеницы сорта Станичная в засушливых условиях светло-каштановых почв Калмыкии, в варианте с обработкой посевов Биосилом наблюдали возрастание доли почвенной влаги в суммарном водопотреблении растений [87]. Следовательно, результаты исследований свидетельствуют о рациональном использовании почвенной влаги растениями пшеницы при действии регуляторов роста.
На потребление почвенной влаги в значительной степени оказывает влияние развитие корневой системы растений. Было показано, что в условиях зоны неустойчивого увлажнения Ставропольского края в неблагоприятном по водообеспеченности 2012 г. регуляторы роста оказали положительное влияние на накопление сухой массы корневой системы в репродуктивный период развития озимой пшеницы сорта Краснодарская 99. Если сухая масса корней 10-ти растений в контроле составила 0.46 г, то в вариантах с обработкой Биосилом и экстрактом Silphium perfoliatum семян – соответственно 0.60 и 0.50 г, а при сочетании обработки семян и 2-кратного опрыскивания растений препаратами – соответственно 0.74 и 0.79 г [77].
Таким образом, проведенные исследования показали, что действие на вегетирующие растения пшеницы РРР на основе тритерпеноидов снижало негативные последствия засухи за счет эффективного использования воды, регулирования содержания осмопротекторов, повышения водоудерживающей способности и физиологической активности листьев, устойчивости хлорофилло-белково-липидного комплекса, хорошего развития корневой системы и в итоге приводило к повышению урожайности.
Рассматриваемые РРР повышали устойчивость пшеницы к токсическому стрессу, вызванному пестицидами. Известно, что применение фунгицидов оказывает вредное воздействие на посевные качества семян и развитие проростков. Например, обработка семян озимой пшеницы сорта Московская 39 фунгицидом Колосаль Про (пропиконазол + тебуконазол) вызывала снижение энергии прорастания и лабораторной всхожести семян на 66 и 62% соответственно. При совместном применении препарата Силк с этим фунгицидом увеличивалась энергия прорастания, всхожесть семян, длина корня и побега, а также суточный прирост корней, их объем, общая и рабочая поверхность по сравнению с вариантом, где использовали только фунгицид [123]. Стимулирующее действие на посевные качества семян, начальные фазы роста пшеницы обнаружено также у Биосила [124–128] и Новосила [89] при их совместном использовании с фунгицидами.
Общим интегральным процессом, характеризующим негативное действие стрессоров различной природы, включая пестициды, является усиление генерации АФК, приводящее к окислительному стрессу. На делянках с внесением фунгицида Колосаль Про в фазе выхода в трубку в листьях озимой пшеницы сорта Московская 39 отмечено резкое увеличение содержания МДА по отношению к контролю на 80%, образующегося в результате перекисного окисления липидов клеточных мембран под действием генерируемых при стрессе АФК. В вариантах с совместным применением Силка и фунгицида содержание МДА в фазе выхода в трубку в среднем за 3 года экспериментов значительно снизилось (1.99 × 10–2) по сравнению с вариантом, где фунгицид использовали без регулятора роста (4.56 × 10–2 мкМ/г сырой массы листьев), что указывает на антистрессовое действие препарата, позволяющее снизить стрессовую реакцию растений [129]. Выявлен также антиоксидантный эффект экстракта из корней женьшеня, содержащий ТГ. В результате однократной обработки посевов яровой пшеницы сорта МиС экстрактом в нормальных условиях (без применения фунгицидов) зарегистрировано снижение количества МДА в листьях растений в фазе выхода в трубку на 38 и в фазе колошения–цветения при 2- и 3-кратных обработках – соответственно на 30.0 и 21.5%. Активность пероксидазы увеличилась в фазе колошения–цветения при 2- и 3-кратных обработках на 11 и 14% соответственно [130].
Вместе с тем следует отметить, что обработка Новосилом растений яровой пшеницы сорта Арюна в фазе выхода в трубку в нормальных условиях приводила к снижению в зеленой массе удельной активности КАТ и особенно ПО (в 2.1 раза) по сравнению с контролем без обработки, что по мнению авторов, связано со снятием инфекционной нагрузки за счет непосредственного усиления защитных функций от болезней и неблагоприятных условий среды [131].
В модельных лабораторных опытах показан угнетающий эффект гербицидов различных химических групп на посевные качества семян и морфометрические показатели проростков озимой пшеницы. Совместное применение гербицидов с регулятором роста Силк снижало негативное воздействие гербицидов, которое выражалось в повышении энергии прорастания и всхожести семян [132]. При обработке семян озимой пшеницы сорта Московская 39 препаратами Магнум (метсульфурон-метил), Линтур (дикамба кислота в виде натриевой соли + триасульфурон) и Банвел (дикамба кислота в форме диметиламинной соли) воздушно-сухая масса растений снижалась соответственно на 12, 42 и 55% по сравнению с контролем без обработки, при сочетании обработки Линтура и Банвела с Силком снижение этого показателя составило 34, при сочетании обработки Магнумом с Силком наблюдали увеличение относительно контроля на 5% [133]. Кроме этого, антистрессовый эффект Силка на действие этих гербицидов проявлялся в увеличении суточного прироста корней (до 52%), их объема (до 62%), снижении проницаемости клеточных мембран (до 30%) и повышении интенсивности излучения хлорофилльной вытяжки (до 6–9%) [129, 134]. Оценка антистрессового действия Биосила кондуктрометрическим методом по электропроводности водной вытяжки из листьев разных сортов яровой пшеницы показала, что добавление регулятора роста к гербициду Велосити (тиенкарбазон-метил + йодосульфурон-метил-натрий + мефенпир-диэтил) нивелировала его токсическое действие на растения. Предпосевная обработка семян Биосилом также повышала устойчивость растений к этому гербициду [135].
Установлено также антистрессовое действие Биосила на растения озимой пшеницы при применении гербицидов [136]. Препараты Биосил и Новосил, используемые совместно с гербицидом в посевах яровой пшеницы, снижали его фитотоксический эффект, способствуя активному росту и развитию растений, и в разные по погодным условиям годы повышали или понижали биологическую эффективность гербицидов [137].
Согласно данным [138], использование Силка в посевах озимой пшеницы сорта Московская 39 без гербицидов снижало к уборке численность сорняков с 59 до 41 шт./м2 и их воздушно-сухую массу с 44.8 до 30.2 г/м2. Использование Силка в комплексе с гербицидом Линтуром не ослабляло, а наоборот, усиливало биологическую эффективность последнего, способствуя снижению общей биомассы сорняков на 86%, что объясняется уменьшением гербитоксического действия на культуру и, как следствие, усилением ее конкурентноспособности в постгербицидный период. В работе [138] показано, что в результате 3-кратной обработки Силком посевов сорта яровой пшеницы Камышинская 3 на фоне применения удобрения в дозе N90P60 наблюдали снижение численности сорняков до 24.4 по сравнению с контролем (44.8–46.4 тыс. шт./га) и уменьшение их биомассы [139]. Установлено также, что применение гербицида Пума Супер 100 (феноксапроп-n-этил + мефенпир-диэтил) в посевах яровой пшеницы сортов Учитель и Прохоровка к уборке привело к гибели 47.7 и 49.7% сорняков соответственно, в то время как в варианте с обработкой семян Биосилом и посевов гербицидом этот показатель составил 56.2% [127]. Показано, что через 1 мес. после опрыскивания гербицидом Алмазис (метсульфурон-метил) посевов яровой пшеницы сорта Новосибирская 15 количество сорняков уменьшилось в 1.4 раза, а на фоне применения баковой смеси Алмазис + Биосил – в 1.9 раза. При этом количество растений пшеницы, наоборот, превысило контроль на 4.8 и 12.8%, а их масса – соответственно на 13.1 и 31.1%. В результате доля сорного компонента в общей массе агрофитоценоза яровой пшеницы при использовании гербицида Алмазис снизилась по сравнению с контролем с 23.4 до 14.7%, а при применении баковой смеси Алмазис + Биосил – до 13.4% [140]. Отмечена также высокая эффективность баковой смеси Алмазис + Биосил и в посевах озимой пшеницы сорта Жемчужина Поволжья – гибель сорняков составила 96.7% [141]. При сильном засорении посевов озимой пшеницы рекомендуется использовать баковую гербицидную смесь, например Алмазис + Дикамба (3,6-дихлор-2-метоксибензойная кислотата) с добавлением Биосила. Присутствие Биосила в смеси повышало ее биологическую и хозяйственную эффективность [142]. Авторы рассмотренных работ отмечали более высокую урожайность пшеницы в вариантах с совместным использованием фиторегуляторов с гербицидами по сравнению с вариантами, где применяли только гербициды. Аналогичный вывод позволяют сделать исследования [124], которые показали бόльшую эффективность комплексного использования Силка и Биосила с гербицидами на урожайность и качество зерна разных сортов яровой пшеницы. Применение Биосила с гербицидом в большей степени повышало полевую всхожесть, сохранность растений, их общую выживаемость и урожайность яровой пшеницы сорта Учитель по сравнению с использованием только Биосила [41]. Продемонстрирована целесообразность обработки препаратом Новосил семян и посевов пшеницы в фазе кущения для повышения фитоценотической роли и конкурентоспособности пшеницы по отношению к вегетирующим сорнякам, что приводило к увеличению урожайности по сравнению с контролем, где биопрепараты не применяли [143].
Фитопротекторное действие тритерпеноидов и ТГ, как естественных факторов защиты растений от различного рода патогенов, связывается с антигрибными и антимикробными свойствами этих соединений [19] и выявленной в последние годы их способностью индуцировать фитоиммунитет [22]. Изучали механизм антигрибного действия ТГ, который включает их взаимодействие со стеринами [144], и, как показали дальнейшие исследования, с фосфолипидами и белками клеточных мембран, приводящее к нарушению их проницаемости, утечки низкомолекулярных клеточных метаболитов и ингибированию роста грибов. Избирательность действия рассматриваемых соединений на грибы связывают с присутствием стеринов в грибных мембранах, а также c метаболическими изменениями в составе жирных кислот мембранных фосфолипидов [145].
Исследованиями in vitro и в естественных условиях установлено антифунгальное действие препаратов, содержащих тритерпеновые соединения, на фитопатогенные грибы, возбудители различных заболеваний пшеницы. Препарат Силк (0.5%) и экстракт из листьев Silphium perfoliatum L. (0.5%) в условиях in vitro оказали примерно одинаковое ингибирующее действие на рост мицелия колонии Fusarium spр. (на 5-е сут – 43, на 7-е – 29%) [146]. Выявлена также in vitro фунгицидная активность суммы ТГ из листьев S. perfoliatum в отношении возбудителя полосатой пятнистости ячменя и пшеницы Drechslera graminea (Rabenh. ex Schltdl.) S. Ito, синоним – Рyrenophora graminea S. Ito et Kurib. Введение препарата (0.1%) в питательную среду (картофельно-глюкозный агар) тормозило рост 7-суточной культуры гриба на 74% [147]. Установлено также фунгистатическая активность этого препарата против видов Rhizopus, Trichothecium и Aspergillus [148].
Отмечено снижение семенной инфекции, вызываемой грибами Fusarium spp., Alternaria spp., Helminthosporium spp. на 41.3–69.4% [149], а также грибами Fusarium spp., Mucor spp. и Alternaria spp. – на 62, 44, и 62% соответственно при протравливании семян препаратом Силк [150]. Установлен ингибирующий эффект Силка (0.5%) на рост мицелия чистой культуры грибов Typhula ischikariensis S. Imai (возбудитель серой снежной плесени) и Fusarium nivale Fries, синоним Microdochium nivale Samuels et Hallet (возбудитель розовой снежной плесени). В полевых условиях обработка препаратом Силк растений озимой пшеницы сорта Московская 39 сдерживала заражение растений тифулезом на 30 сут, при обработке семян Силком и растений фунгицидом Альто Супер повышалась густота стояния растений, их сухая масса, содержание в листьях хлорофилла, снижалась распространенность болезни [151]. При внесении Силка в питательную среду в концентрации, применяемой в поле, наблюдали достоверное уменьшение диаметра колоний гриба Sеptoria tritici Desm. (возбудитель септориоза) на 33%, в полевых условиях 2-кратная обработка Силком растений озимой пшеницы сорта Московская 39 снижала интенсивность заражения септориозом [152].
Разработан способ борьбы с фитопатогенными грибами зерновых культур, включающий обработку Силком семян (2–5 г/т) и растений в фазе кущения (4–5 г активного вещества/га). На ряде примеров было показано, что предпосевная обработка семян препаратом позволила повысить устойчивость сорта озимой пшеницы Югтина к корневым гнилям на 47.6–51.8, мучнистой росе – на 67.2, септориозу – на 46.4%. Опрыскивание вегетирующих растений Силком снижало заболеваемость озимой пшеницы бурой ржавчиной на 7, мучнистой росой – на 8, септориозом – на 27.3, а также снижало заболеваемость яровой пшеницы бурой ржавчиной – на 23.3, септориозом – на 31.4%. При обработке растений озимой пшеницы сорта Офелия в производственных условиях биологическая эффективность Силка по отношению к мучнистой росе составила 40.3–40.6, против пиренофорозной пятнистости листьев – 38.0–38.6% [153]. В работе [154] отмечали, что обработка Силком повышала устойчивость яровой пшеницы сорта Кантегировская 89 к корневым гнилям, пыльной и твердой головне, снижала заболеваемость септориозом на 45–65, бурой ржавчиной – на 50–67%. По данным [84], биологическая эффективность Силка (обработка семян) против бурой ржавчины, мучнистой росы и септориоза составила соответственно 42,1, 28.7, 36.4%. Эффективность Силка против основных заболеваний пшеницы подтверждена и другими исследованиями [40, 52, 155–160] и установлена целесообразность его совместного применения с фунгицидами [84, 113], причем отмечена эффективность совместного использования Силка с протравителями в половинной дозе [53, 84].
В работе [161] предложили способ борьбы с фитопатогенными грибами, включающий использование препарата Биосил в комплексе с одним из синтетических фунгицидов, содержащим в качестве действующего вещества тебуконазол либо карбоксин, тирам, флутриафол, тиабендазол, тритиконазол в определенном соотношении. Было показано, что добавление Биосила в концентрации 0.005% (50 мл/т), фунгицидов Витавакса 200 ФФ (карбоксин + тирам) – 0.15% (1.5 л/т) и Раксила (тебуканозол) 0.025% (0.25 л/т), а также баковых смесей Биосила с этими фунгицидами в среду существенно ингибировало рост мицелия Fusarium oxysporum и Bipolaris sorokiniana, возбудителей корневых гнилей зерновых культур. Наибольший эффект отмечен для Витавакса 200 ФФ и особенно его баковой смеси с Биосилом, в последнем случае рост мицелия патогенов за весь период наблюдений был полностью подавлен. В полевых условиях было установлено, что добавление препарата Биосил к синтетическим протравителям усиливает действие последних против основных видов корневых гнилей и особенно против головневых заболеваний пшеницы (до 100%) при уменьшении норм их расхода, повышает урожайность и качество зерна. Широкие испытания Биосила как биофунгицида и иммунопротектора при обработке семян и вегетирующих растений пшеницы подтвердили его положительное действие против распространения и развития корневых гнилей, мучнистой росы, септориоза, бурой ржавчины [162–168]. При применении Биосила в композиции с фунгицидами наблюдали усиление действия последних против инфекций, повышение урожайности по сравнению с контролем и с раздельным использованием препаратов [125, 169–172]. В ряде работ отмечено, что биологическая эффективность Биосила против септориоза и бурой ржавчины уступает синтетическим фунгицидам, но обеспечивает значительную прибавку урожая за счет стимулирующего эффекта препарата и рекомендовано его использование при умеренном развитии болезней [162, 173–175]. Имеются данные о достаточно высокой биологической эффективности Биосила против снежной плесени (55–70%) [176], (99.1%) [58], и твердой головни: на озимой пшенице – 67–80, на яровой – 68–84%, что позволило рекомендовать этот препарат для среднеустойчивых к твердой головне сортов пшеницы, поскольку он дает существенную прибавку урожая [177]. Показана также эффективность протравливания семян смесью Биосила и фунгицида Феразим против твердой головни озимой пшеницы [178]. Установлено, что в годы интенсивного развития септориоза колоса опрыскивание Биосилом посевов разных сортов озимой пшеницы в разных фазах вегетации способствовало увеличению массовой доли клейковины в зерне до 4.7–5.9% [179]. Обеззараживание Биосилом семян твердой яровой пшеницы повышало урожайность зерна, прирост которой составил 0.49 т/га [180]. Высокую биологическую эффективность против корневых гнилей озимой пшеницы показал Новосил – 62.9%. Обработка препаратом семян озимой пшеницы сорта Донской сюрприз также снижала развитие болезни с 18 до 7% [181]. Обработка Новосилом семян и 2-кратная обработка растений яровой пшеницы подавляла заболеваемость корневыми гнилями на 24.0–65.7, септориоза – на 33.6– 75.5, гельминтоспориоза – на 3.3–70.4, бурой ржавчины – на 49.3–70.4% в зависимости от кратности обработок [182]. Положительный эффект Новосила против корневых гнилей отмечали и другие авторы [183, 184]. Новосил показал также высокую эффективность против семенной инфекции (59.0%) и превосходил по действенности другие биопрепараты [58]. Развитие листовой бурой ржавчины на сортах яровой пшеницы сортов Арюна и ДальГАУ-1 при применении Новосила составило 24.4 и 27.5, в контроле – 33.6% (биологическая эффективность – 18.2 и 18.7%), развитие фузариоза колоса соответственно – 3.4 и 5.4, в контроле – 4.7–7.7% (биологическая эффективность 29.9 и 27.7%) [185]. Показана возможность совместного применения Новосила с протравителем семян Калфуго Супер в половинной дозе против гельминтоспориоза и бурой ржавчины [186]. Эффективность против снежной плесени, корневой гнили, мучнистой росы и септориоза озимой пшеницы показал препарат Вэрва [187].
ВЛИЯНИЕ РЕГУЛЯТОРОВ РОСТА НА ОСНОВЕ ТРИТЕРПЕНОИДОВ НА УРОЖАЙНОСТЬ И КАЧЕСТВО ЗЕРНА ПШЕНИЦЫ
Анализ данных, приведенных в рассмотренных выше исследованиях, а также работах по изучению влияния препарата Силк на продуктивность озимой пшеницы [188–194] показал, что применение препарата обеспечивает прибавку урожайности зерна от 0.11 до 0.76 т/га (от 2.6 до 20.5%) в зависимости от почвенно-климатических условий региона возделывания, погодных условий, биологических особенностей сортов, способов внесения препарата, а также фона минерального питания и использования средств защиты растений. Установлено снижение содержания тяжелых металлов в соломе и зерне озимой пшенице при 2-кратном применении Силка на растениях: содержание свинца в соломе и зерне уменьшилось соответственно в 1.6–1.8 и 1.7, кадмия – в 1.7 и 1.8 раза [195].
Применение Силка в посевах яровой пшеницы повышало урожайность зерна по сравнению с контролем на 0.12–0.75 т/га [75, 154, 196], причем посевы созревали на 3–4 сут раньше, чем в контроле [154]. При комплексном использовании удобрений и Силка урожайность яровой пшеницы по сравнению с контролем (без применения удобрений и Силка) повышалась на 22.0–31.3% [75, 196].
Проблема улучшения технологических и хлебопекарных свойств зерна пшеницы стоит в настоящее время особенно остро в связи с наметившейся в последние годы устойчивой тенденцией к снижению качества производимого в стране зерна [197]. Одним из необходимых условий получения высококачественного зерна пшеницы является проведение некорневых азотных подкормок в сочетании с использованием РРР [198].
Применение Силка в посевах озимой и яровой пшеницы как на повышенном уровне азотного питания, так и без использования азотных удобрений оказывала существенное влияние на качественные показатели зерна. Под влиянием препарата содержания протеина (белка) в зерне повышалось на 0.4– 1.0% и сырой клейковины – на 1.0–4.0 абс.%, в некоторых работах отмечены и более высокие показатели повышения содержания клейковины [188, 193], приводят данные о снижении показателя ИДК на 2–15 ед. [52, 81, 95, 192, 196]. Кроме того, при использовании Силка наблюдали повышение стекловидности (на 1.0– 6.0%), натуры зерна (на 9.0–23.0 г/л), объемного выхода хлеба (на 15.0–30 см3) [40, 52, 95, 196].
Проанализированные выше работы, а также результаты других исследований свидетельствуют о схожем с Силком действии Биосила [199– 209], Новосила [210–215] и Альфастима [215–223] и Вэрва [187, 224] на урожайность зерна пшеницы и его качество. Авторы работ отмечают повышение под влиянием исследованных препаратов элементов структуры урожая: продуктивной кустистости, длины колоса, числа зерен в колосе, массы зерна с колоса, массы 1000 зерен.
В ряде исследований показано повышение эффективности использования удобрений при применении РРР, что позволило получить значительно более высокую прибавку урожая зерна с улучшенным качеством по сравнению с контролем (без удобрений и РРР) [85, 90, 200]. Вместе с тем показано также, что эффект ряда РРР, включая Биосил, на урожайность озимой пшеницы, размещенной на неудобренном агрофоне был больше, чем на фоне, где вносили удобрения [207]. Установлена бόльшая эффективность использования Биосила в сочетании с микроэлементами. В вариантах с совместной обработкой семян Биосилом, В, Zn и Mо уровень урожайности зерна твердой яровой пшеницы сорта Оренбургская 10 повысился соответственно на 16.2, 14.6 и 13.8% по отношению к контролю и превысил уровень урожайности зерна в варианте с обработкой семян только Биосилом (8.6% к контролю). Наибольшее повышение технологических качеств зерна наблюдали при обработке семян смесями Биосила с Mn, Cu и Co [225].
Показана эффективность действия Новосила на урожайность и качество зерна яровой пшеницы сорта Тулайковская 10 при сочетании предпосевной обработки семян препаратом с ресурсосберегающей зяблевой обработкой почвы [226], установлена также прибавка урожайности и улучшение качества зерна яровой пшеницы сорта Дарья при обработке препаратом растений в фазе кущения и колошения в условиях применения технологии No-Till [227].
Сравнительное изучение действия препаратов Новосил, Биосил и Альфастим показало, что в условиях Республики Адыгея максимальный урожай зерна был получен при применении препарата Новосил в посеве озимой пшеницы сорта Гром, прибавка урожайности составила 0.74 т/га, или 13.0%, но при этом лучшие качественные показатели зерна отмечены при действии Биосила и Альфастима: содержание белка повысилось относительно контроля на 0.6– 1.0, клейковины – на 4%, показатель ИДК снизился на 13– 16 ед., натура зерна повысилась на 26–30 г/л [91]. В условиях предгорной зоны Дагестана также наибольший уровень урожайности озимой пшеницы сортов Гром и Таня достигнут при обработки посевов Новосилом [92]. В результате предпосевной обработки семян озимой пшеницы сорта Алексеевич рассматриваемыми препаратами в условиях центральной зоны Ростовской обл. наиболее высокие показатели урожая и элементов его структуры отмечены при применении Биосила [58]. Биосил также проявил несколько бόльший эффект на урожайность и качество зерна озимой пшеницы сорта Борвий по сравнению с препаратом Альфастим при обработке посевов в условиях зоны неустойчивого увлажнения Ставропольского края [219].
Рассматриваемые фиторегуляторы при нанесении на растения пшеницы оказывали также влияние на физиолого–биохимические процессы в созревающем зерне. В работе [228] показано, что в условиях зоны неустойчивого увлажнения Ставропольского края в отдельные годы под влиянием обработок Силком на фоне применения минеральных удобрений в белке зерна озимой пшеницы сорта Русса отмечено увеличение доли водо- и солерастворимых белков – альбуминов и глобулинов. При дозе удобрения N30P90K45 + N30 (колошение) содержание этих белков в контрольном варианте составило 18.1–20.4%, в то время как в вариантах с применением Силка – 19.3–23.2%. В этих вариантах наблюдали увеличение содержания клейковины в зерне после его 3-месячного хранения. По данным [229], обработка Новосилом посевов яровой пшеницы сорта Иволга в фазе колошения на фоне внесения азота в дозе N150 в условиях Центрального р-на Нечерноземной зоны увеличивала содержание водорастворимых и неэкстрагируемых белков, но несколько снижала концентрацию глютелинов. В этом же исследовании показано, что под действием Новосила увеличивалась общая амилазная активность в зерне (75.9–79.1) по отношению к контролю (73.9–73.2 мг гидролизованного крахмала/ч/г зерна) за счет повышения главным образом активности β-амилазы. Отмечено значительное повышение (до 2.2 раза) общей амилазной активности зерна яровой пшеницы сорта Арюна под действием обработок растений Новосилом и увеличение в зерне в состоянии покоя активности каталазы и пероксидазы [127]. Зерновки с повышенным уровнем общей амилазной активности, как известно, обладают более высокими посевными качествами [40]. Эти данные подтверждаются исследованиями, показавшими, что обработка посевов яровой пшеницы Силком на фоне применения минеральных удобрений (N30P60K30) приводит к получению от материнских растений семян, обладающих более высокими посевными качествами и урожайными свойствами (энергия прорастания семян превысила контроль на 3.2, лабораторная всхожесть – на 4.2%) [73], а при применении Биосила эти показатели составили соответственно 3.9 и 4.4% [127].
Таким образом, применение РРР на основе тритерпеновых кислот обеспечивало существенную прибавку урожайности и улучшение качественных показателей зерна пшеницы, а также получение семенного материала с высокими посевными и урожайными свойствами. Во многих работах отмечена высокая экономическая эффективность использования этих препаратов при выращивании пшеницы: высокая рентабельность и условно чистый доход.
ЗАКЛЮЧЕНИЕ
Приведенные в настоящем обзоре данные показали, что тритерпеноидам принадлежит важная биологическая роль в защите растений от вредных организмов. Установлено участие этих соединений в развитии корней, спецификации клеток корня и образовании корневых волосков. В качестве компонентов мембран, кутикулы и кутикулярного воска тритерпены выполняют структурную и регуляторную функцию, т. е. могут влиять как на транспорт фитогормонов и накопление их в клетках, так и на экссудацию метаболитов, тем самым участвовать в сборке и становлении ризосферного микробиома, а также непосредственно модулировать корневые бактерии.
При экзогенном воздействии тритерпеновые соединения и регуляторы роста на их основе оказывают на растения пшеницы полифункциональное действие: рострегулирующее, антистрессовое, иммунопротекторое и фунгицидное. Особенность фиторегулирующей активности тритерпеновых соединений, как было показано на примере тритерпеновых гликозидов (ТГ), заключается в способности проявлять в специфических биотестах эффекты, характерные для фитогормонов: ауксинов, гиббереллинов и цитокининов. Механизм рострегулирующего действия тритерпеновых регуляторов роста предположительно может реализовываться путем модулирования действия фитогормонов за счет влияния на их транспорт, внутриклеточное содержание и (или) на передачу гормональных сигналов. Регулирующее действие ТГ на клетки может быть обусловлено также их мембраннотропной активностью, в основе которого лежит механизм ионной проницаемости.
Введенные ТГ в семена пшеницы путем их обработки регуляторами роста растений (РРР) на основе тритерпеноидов стимулируют прорастание семян, ускоряя поглощение ими воды, увеличивая в них ферментативную активность, скорость метаболических процессов и деления клеток, в результате чего повышается всхожесть и энергия прорастания семян. Под влиянием рассматриваемых РРР ускоряется рост и развитие корневой системы, увеличивается ее масса, происходит более активное образование побегов кущения. Опрыскивание препаратами на основе тритерпеноидов растений пшеницы на разных этапах онтогенеза позволяет активизировать процессы фотосинтеза, за счет повышения содержания хлорофилла и каротиноидов стимулировать фотосинтетическую деятельность и азотный метаболизм.
Благодаря высокой антистрессовой активности тритерпеновые РРР повышают устойчивость растений пшеницы к стрессам, вызванным низкими или высокими температурами, гипоксией, засухой, токсическим действием минеральных солей и пестицидов. Воздействие этих препаратов на растения в условиях абиотических стрессов приводит к усилению важных для выживания защитных реакций, выражающихся в повышении активности антиоксидантных ферментов, снижении количества МДА, повышении содержания хлорофилла, устойчивости хлорофилло-белково-липидного комплекса, увеличении содержания осмотически активных веществ и др., в результате чего повышается адаптационный потенциал растительного организма, нормализуются процессы роста, функционирования фотосинтетического аппарата, водного обмена и т. п. Антистрессовое действие РРР на основе тритерпеноидов, по-видимому, проявляется путем взаимодействия с антистрессовыми гормонами, такими как АБК, этилен и др. и активирования генов стрессоустойчивости.
Важный вклад в комплексное положительное действие рассматриваемых РРР на растения пшеницы вносит их иммунопротекторная (по-видимому, опосредованная салициловой кислотой) и антигрибная активность. Применение этих препаратов в посевах пшеницы позволяет снизить заболеваемость растений корневыми гнилями, мучнистой росой, снежной плесенью, септориозом, пиренофорозом, бурой ржавчиной на 30–60%. Высокая биологическая эффективность препаратов установлена против головневых заболеваний пшеницы (до 84%).
Применение тритерпеновых РРР в сочетании с химическими средствами защиты растений позволяет, с одной стороны, повысить устойчивость растений к фитопатогенам, конкурентноспособность по отношению к сорнякам, уменьшить стресс от применения пестицидов, с другой, – снизить норму расхода фунгицидов за счет повышения эффективности их использования, получить экологически более безопасную сельскохозяйственную продукцию, снизить ее себестоимость, а также уменьшить пестицидную нагрузку на окружающую среду.
Таким образом, рострегулирующие препараты на основе тритерпеновых соединений являются эффективными средствами, стимулирующие рост и развитие растений пшеницы, повышающие их устойчивость к стрессам и болезням, увеличивающие урожайность зерна (до 30%) и улучшающие его качество. Тритерпеноиды и их гликозиды являются перспективной группой природных физиологически активных соединений для создания на их основе новых РРР.
Об авторах
Э. С. Давидянц
Северо-Кавказский федеральный научный аграрный центр
Автор, ответственный за переписку.
Email: ei_davidyants@mail.ru
Россия, Михайловск, Ставропольский край
Список литературы
- Прусакова Л.Д., Малеванная Н.Н., Белопухов С.Л., Вакуленко В.В. Регуляторы роста растений с антистрессовыми и иммунопротекторными свойствами // Агрохимия. 2005. № 11. С. 76–86.
- Рябчинская Т.А., Зимина Т.В. Средства, регулирующие рост и развитие растений, в агротехнологиях современного растениеводства // Агрохимия. 2017. № 12. С. 62–92.
- Шаповал О.А., Можарова И.П. Регуляторы роста растений в сельском хозяйстве // Защита и карантин раст. 2019. № 4. С. 9–14.
- Bhupenchandra I., Devi S.H., Basumatary A., Dutta S., Singh L.K., Kalita P., Bora S.S., Devi S.R., Saikia A., Sharma P. Biostimulants: potential and prospects in agriculture // Inter. Res. J. Pure Appl. Chem. 2020. V. 21(14). P. 20–35.
- Шульц Э.Э., Ралдугин В.А., Волчо К.П., Салахутдинов Н.Ф., Толстиков Г.А. Растительные метаболиты флоры Сибири. Химические превращения и возможности практического использования // Усп. химии. 2007. Т. 76. Вып. 7. С. 707–723.
- Ралдугин В.А., Друганов А.Г., Климов В.П., Шубин А.Н., Чекуров В.М. Способ получения биологически активной суммы тритерпеновых кислот: Пат. 2108803, РФ // Б.И. 1998. № 11.
- Кукина Т.П., Баяндина И.В., Дымина Е.В. Способ получения биологически активной суммы тритерпеновых кислот древесной зелени пихты сибирской (Abies sibirica Ledeb.) путем экстракции бинарным экстрагентом: Пат. 2613463, РФ // Б.И. 2017. № 3.
- Скрипова Н.Н., Кучин А.В., Хуршкайнен Т.В., Кучин В.А. Регулятор роста растений с фунгицидным действием “Вэрва”: Пат. 2298327, РФ. // Б.И. 2007. № 13.
- Альфастим. URL: https://polydonagro.com/alfastim
- Камирная А.М., Мальцев К.А., Русаков С.Г. Способ регулирования роста и развития растений: Пат. 2657743, РФ // Б.И. 2018. № 17.
- Давидянц Э.С., Нешин И.В. Способ регулирования роста растений пшеницы: Пат. 2200409, РФ // Б.И. 2003. № 8.
- Давидянц Э.С. Тритерпеновые гликозиды как регуляторы роста растений: потенциал и перспективы использования // Химия раст. сырья. 2023. № 1. С. 5–34.
- Чекуров В.М., Сергеева С.И., Козлов В.Е., Титков И.П. Способ регулирования роста растений пшеницы: Пат. 2082296, РФ // Б.И. 1997. № 6.
- Тареев А.И., Багдасаров В.Р., Казаченко А.А. Способ регулирования роста и развития зерновых культур: Пат. 2225100, РФ // Б.И. 2004. № 3.
- Список пестицидов и агрохимикатов, разрешенных к применению на территории Российской Федерации. Прилож. к журн. “Защита и карантин раст.”. М.: Колос, 2022. С. 778–787.
- Племенков В.В. Химия изопреноидов. Гл. 2. Классификация, номенклатура и строение изопреноидов // Химия раст. сырья. 2005. № 2. С. 63–68.
- Сardenas P.D., Almeida A., Bak S. Evalution of structural diversity of triterpinoids // Front. Plant Sci. 2019. № 10. P. 1523.
- Пасешниченко В.А. Биосинтез и биологическая активность растительных терпеноидов и стероидов // Итоги науки и техн. 1987. Т. 25. 196 с.
- Moses T., Papandopoulou K.K., Osbourn A. Metabolic and functional diversity of saponins, biosynthetic intermediates and semi–synthetic derivates // Crit. Rev. Biochem. Molec. Biol. 2014. V. 49. № 6. P. 439–462.
- Wang C.M., Chem H.T., Li T.C., Weng J.H., Jhan Y.L., Lin Sh.-X., Chou Ch.-H. The role of pentacyclic triterpenoids in the allelopathic effects of Alstonia sholaris // J. Chem. Ecol. 2014. V. 40. P. 90–98.
- Faizal A., Geelen D. Saponins and their role in biological processes in plants // Phytochem. Rev. 2013. V. 12. P. 877–893.
- Trda L., Janda M., Mackova D., Pospichalova R., Dobrev P.I., Burketova L., Matusinsky P. Dual mode of the saponin aescin in plant protection: antifungal agent and plant defense elicitor // Front. Plant Sci. 2019. V. 10. Р. 1448.
- Bai Y., Fernandez-Calvo P., Ritter A., Huang A.C., Bicalho K.U., Karady M., Pauwels L., Buyst D., Nja M., Ljung K. Modulation of Arabidopsis root growth by specialized triterpenes // New Phytol. 2021. V. 230. Iss. 1. P. 228–243.
- Huang A.C., Jiang T., Liu Y.-X., Bai Y.-C., Reed J., Qu B., Goossens A., Nützmann H.-W., Bai Y., Osbourn A. A specialized metabolic network selectively modulates Arabidopsis root microbiota // Science. 2019. 364 (6440): eaau6389.
- Колмыкова Т.С., Лукаткин А.С. Эффективность регуляторов роста растений при действии абиотических стрессовых факторов // Агрохимия. 2012. № 1. С. 83–94.
- Мишина О.С., Белопухов С.Л., Ющенко Ю.А. Применение биорегуляторов в интенсивных агротехнологиях выращивания гречихи // Изв. вузов. Прикл. химия и биотехнол. 2016. Т. 6. № 3. С. 72–80.
- Давидянц Э.С. Биохимические аспекты фиторегулирующего действия тритерпеновых гликозидов // Новые достижения в химии и химической технологии растительного сырья: мат-лы VIII Всерос. конф. / Под ред. Н.Г. Базарновой, В.И. Маркина. Барнаул: Изд-во Алтай. гос. ун-та, 2020. С. 146–148.
- Rahman A., Tsurumi S.A. The unique auxin influx modulator chromosaponin I: a physiological overview // Plant Tissue Cult. 2002. V. 12. P. 181–194.
- Rahman A., Tsurumi S.A., Amakawa T., Soga K., Hoson T., Goto N., Kamisaka S. Involvement of ethylene and gibberellin signaling in chromosaponin I – induced cell division and cell elongation in the roots of Arabidopsis seedlings // Plant Cell Physiol. 2000. V. 41(1). P. 1–9.
- Rahman A., Ahamed A., Amakawa T., Goto N., Tsurumi S. Chromosaponin I specifically interacts with AUX1 protein in regulating the gravitropic response of Arabidopsis roots // Plant Physiol. 2001. V. 125(2). P. 990–1000.
- Лихацкая Г.Н. Механизмы взаимодействия тритерпеновых и стероидных гликозидов с липидными мембранами: Автореф. дис. … канд. физ.-мат. наук. Владивосток: ТИБОХ ДВЦ РАН, 2006. 23 с.
- Тариков С., Тимбекова Н.К., Абубакиров Н.К., Коблов Р.К. Рострегулирующая активность тритерпеновых гликозидов, выделенных из корней люцерны (Medicago sativa) // Узб. биол. журн. 1988. № 6. С. 24–26.
- Давидянц Э.С. Рострегулирующая активность тритерпеновых гликозидов Silphium perfoliatum L. (Asteraceae) // Раст. ресурсы. 2006. Т. 42. Вып. 1. С. 127–136.
- Давидянц Э.С., Нешина Л.П., Нешин И.В. Влияние тритерпеновых гликозидов Silphium perfoliatum L. на рост проростков гороха и пшеницы // Раст. ресурсы. 2001. Т. 37. Вып. 3. С. 93–96.
- Давидянц Э.С. Влияние обработки семян тритерпеновыми гликозидами на активность пероксидазы, ИУК-оксидазы и полифенолоксидазы в проростках пшеницы // Химия раст. сырья. 2013. № 4. С. 225–231.
- Полевой В.В. Фитогормоны. Л.: Изд-во ЛГУ, 1982. 248 с.
- Стригина Л.И., Ходаковская М.В., Булгаков В.П. Влияние некоторых тритерпеновых и стероидных соединений на рост каллуcных культур Panax ginseng C.A. Mey. // Раст. ресурсы. 1993. Т. 24. Вып. 4. С. 96–99.
- Карначук Р.А., Дорофеев В.Ю., Гвоздева Е.С., Головацкая И.Ф., Чурин А.А., Сусло Н.И., Медведева Ю.В. Влияние физиологически активных соединений на рост и уровень тритерпеновых сапонинов и флавоноидов клеточной культуры Atragene speciosa Weinm. // Вестн. Томск. гос. ун-та. 2008. № 3. С. 48–54.
- Обручева Н.В., Синькевич И.А., Летягина С.В., Новикова Г.В. Особенности водного режима при прорастании семян // Физиология растений. 2017. Т. 64. № 4. С. 311–320.
- Иващенко И.Н. Влияние регуляторов роста на устойчивость к стрессовым факторам, урожайность и качество зерна озимой пшеницы на черноземе выщелоченном: Автореф. дис. … канд. с.-х. наук. Ставрополь: Став. ГАУ, 2010. 27 с.
- Титков В.И., Безуглов В.В., Чуманова Г.Я., Ерохин И.И. Эффективность регуляторов роста, гербицидов и некорневых подкормок азотом в ресурсосберегающих технологиях выращивания яровой пшеницы в степной зоне Оренбуржья // Изв. Оренбург. ГАУ. 2011. № 2(30). С. 34–35.
- Давидянц Э.С. Влияние очищенной суммы тритерпеновых гликозидов и обогащенного ими экстракта из листьев Silphium perfoliatum на прорастание семян озимой пшеницы и активность в них каталазы // Химия раст. сырья. 2021. № 2. С. 353–360.
- Давидянц Э.С. Влияние тритерпеновых гликозидов на активность α- и β-амилаз и содержание суммарного белка в проростках пшеницы // Прикл. биохим. и микробиол. 2011. Т. 47. № 5. С. 530–536.
- Давидянц Э.С. Влияние суммы тритерпеновых гликозидов из Silphium perfoliatum на некоторые показатели метаболизма проростков пшеницы // Новые и нетрадиционные растения и перспективы их использования: мат-лы IX Международ. симп. М.: РУДН, 2011. Т. 2. С. 58–62.
- Efremova Y.B., Lopachev N.А. The influence of growth stimulators on biochemical processes of winter wheat plants // Rus. Agricult. Sci. Rev. 2015. V. 5. № 5(1). P. 73–79.
- Кошеляева И.П. Оценка биологически активных препаратов Агат 25 и Новосил на пшенице // Селекция и семеноводство сельскохозяйственных культур: сб. мат-лов VIII Всерос. научн.-практ. конф. Пенза, 2004. С. 186–188.
- Давидянц Э.С. Влияние очищенной суммы тритерпеновых гликозидов и обогащенного ими экстракта из листьев Silphium perfoliatum L. на рост и активность нитратредуктазы в проростках озимой пшеницы // Химия раст. сырья. 2019. № 4. С. 441–448.
- Garg S.K. Role and hormonal regulation of nitrate reductase activity in higher plants: a review // Plant Sci. Feed. 2013. V. 3. P. 13–20.
- Карпова Г.А. Влияние регуляторов роста на ранние этапы развития семян пшеницы и ячменя // Энергосберегающие технологии в растениеводстве: сб. мат-лов Всерос. научн.-практ. конф. Пенза: РИО ПГСХ, 2005. С. 45–46.
- Нефедьева Е.Э., Белопухов С.Л., Верхотуров В.В., Лысак В.И. Роль фитогормонов в регуляции прорастания семян // Изв. вузов. Прикл. хим. и биотехнол. 2013. № 5. С. 61–66.
- Рогожин В.В. Роль пероксидазы в механизмах покоя и прорастания зерновок некоторых злаковых культур // Изв. ТСХА. 2010. № 4. С. 22–31.
- Шаповал О.А. Биологическое обоснование использования регуляторов роста растений в технологии выращивания озимой пшеницы. М.: ВНИИА, 2005. 327 с.
- Дроздов И.В., Аксенов М.П. Изменение урожая и качества зерна озимой пшеницы после обработки регуляторами роста и агрохимикатами // Экологические аспекты использования земель в современных экологических формациях: мат-лы Международ. научн.-практ. конф. Волгоград, 2017. С. 165–170.
- Черноморов Г.В. Продуктивность озимой пшеницы в зависимости от обработки биопрепаратами в условиях темно-каштановых почв Ростовской области // Биологизация земледелия: перспективы и реальные возможности: сб. мат-лов Международ. научн.-практ. конф. Воронеж, 2019. С. 141–145.
- Халгаева К.Е. Урожайность озимой пшеницы на светло-каштановых почвах при применении БАВ и удобрений // Вестн. ин-та комплекс. исслед. аридных территорий. 2011. № 2(23). С. 66–70.
- Авдеенко А.П. Продуктивность озимой пшеницы в зависимости от норм высева и обработки биопрепаратами в условиях Ростовской области // Международ. научн.-исслед. журн. 2015. № 10(41). Ч. 3. С. 12–14.
- Мясникова Л.А., Первушина А.Н., Моисеева К.В. Влияние регуляторов роста на энергию прорастания и лабораторную всхожесть семян озимых сортов пшеницы // Мир инноваций. 2021. № 2. С. 22–27.
- Зеленская Г.М., Шашлов В.О. Действие биопрепаратов на урожайность озимой пшеницы // Научн.-агроном. журн. 2022. № 2(117). С. 44–49.
- Ефремова Ю.В., Амелин П.А., Лопачев Н.А. Изучение влияния стимуляторов роста на начальные стадии развития озимой пшеницы // Вестн. Орлов. ГАУ. 2014. № 6. С. 22–28.
- Калмыкова Е.В., Калмыкова О.В. Влияние регуляторов роста на посевные качества семян озимой пшеницы // Научное обоснование сопровождения инновационного развития агропромышленного комплекса: теория, практика, перспективы: мат-лы 65-й Международ. научн.-прак. конф. Рязань: Рязан. агротехнолог. ун-та, 2014. Ч. 1. С. 149–153.
- Чернышков В.В. Влияние биостимуляторов на урожайность и качество зерна яровой пшеницы в подзоне светло-каштановых почв Волгоградской области: Автореф. дис. … канд. с.-х. наук. п. Персиановский: ДонГАУ, 2008. 22 с.
- Мельникова О.В., Ториков В.Е., Клименков Ф.И., Симонов Д.А. Природные регуляторы роста в биологическом земледелии // Аграрная наука – сельскому хозяйству: мат-лы Всерос. научн.-практ. конф. Курск, 2009. Ч. 3. С. 286–294.
- Кирсанова Е.В., Цуканова З.Р., Мусалатова Н.Н. О перспективах предпосевной обработки регуляторами роста семян яровой пшеницы в Орловской области // Вестн. Орлов. ГАУ. 2008. № 12(3). С. 21–23.
- Шатохин А.В., Чернова Л.И., Кирсанова Е.В. Применение регулятора роста Биосил для обработки семян яровой пшеницы // Актуальные направления развития сельскохозяйственной науки: сб. мат-лов научн.-практ. конф. М., 2008. С. 178–180.
- Душкин С.А., Лукъянцев В.С., Глинушкин А.П., Соловых А.А., Белошапкина О.О., Машенков М.И., Зоров А.А. Влияние химических и биологических препаратов на всхожесть семян и выживаемость Triticum aestivum L. // Вестн. Орлов. ГАУ. 2012. № 6(12). С. 30–33.
- Мигранов Р.Р., Кадиков Р.К. Всхожесть семян сортов яровой пшеницы в зависимости от действия биопрепаратов // Научные инновации – аграрному производству: мат-лы Международ. научн.-практ. конф. Омск: Омск. ГАУ им. П.А. Столыпина, 2018. С. 252–254.
- Савицкая К.Ю. Особенности реакции злаковых культур на физиологически активные вещества // Модернизация профессиональной подготовки специалистов в области естественнонаучного образования: мат-лы Международ. научн.-практ. конф. Минск: Беларус. пед. ун-т им. М. Танка, 2018. С. 276–279.
- Павлова О.Г., Щукин В.Б., Ильясова Н.В. Эффективность предпосевной обработки семян яровой пшеницы препаратами Рибав-Экстра, Биосил, Иммуноцитофит и Гуми-30 в условиях Оренбурского Предуралья // Изв. Оренбург. ГАУ. 2021. № 1(87). С. 45–49.
- Кадыров С.В., Коновалов Н.Н. Изучение новых препаратов для обработки семян и растений // Агрохим. вестн. 2008. № 5. С. 38–39.
- Баранова Э.В. Продуктивность яровой пшеницы при применении биопрепаратов и микроэлементов в условиях Приамурья // Вестн. Алтай. ГАУ. 2009. № 12(62). С. 18–20.
- Забава Н.И. Пути повышения урожайности яровой пшеницы // Аллея науки. Научн.-практ. электр. журн. 2018. № 10(26). С. 55–58.
- Абдулин М.А. Влияние регулятора роста Альфастим на повышение продуктивности пшеницы // Идеи молодых ученых – агропромышленному комплексу: биология, зоотехния, технология переработки сельскохозяйственной продукции: мат-лы студ. научн. конф. Троицк: Южно-Урал. ГАУ, 2021. С. 7–12.
- Бобрышева Д.С., Соколова Л.В., Жаркова С.В. Влияние удобрений и стимулятора роста на посевные качества семян пшеницы в лабораторных условиях // Аграрная наука – сельскому хозяйству: сб. мат-лов XVIII Международ. научн.-практ. конф. Барнаул: Алтай. ГАУ, 2023. Т. 1. С. 201–203.
- Ларионов Г.И., Стребков В.Н., Кулемин С.В. Экологически чистый регулятор Силк на яровой пшенице // Зерн. хоз-во. 2003. № 4. С. 17–19.
- Фомина Н.М. Формирование продуктивности, посевных качеств и урожайных свойств семян яровой пшеницы под влиянием регуляторов роста и удобрений в лесостепи Среднего Поволжья: Автореф. дис. … канд. с.-х. наук. Пенза: Пенз. ГСХА, 2000. 20 с.
- Агафонов А.К. Урожайность и качество зерна озимой пшеницы в зависимости от пестицидов на светло–каштановых почвах Волгоградской области // Главный агроном. 2012. № 12. С. 26–29.
- Давидянц Э.С. Влияние экстракта из Silphium perfoliatum L. на физиолого-биохимические показатели и зерновую продуктивность озимой пшеницы // Биология. 2014. № 3. С. 61–64.
- Горенская Т.В., Гантимуров Н.И. Влияние регуляторов роста на урожайность яровой пшеницы в Забайкальском крае // Вестн. Бурят. ГСХА им. В.Р. Филиппова. 2012. № 2(27). С. 147–150.
- Андрианова Ю.Е., Тарчевский И.А. Хлорофилл и продуктивность растений. М.: Наука, 2000. 135 с.
- Давидянц Э.С., Нешин И.В. Рострегулирующее действие экстракта Silphium perfoliatum L. при выращивании озимой пшеницы // Агрохимия. 2004. № 11. С. 54–57.
- Давидянц Э.С. Применение регуляторов роста тритерпеновой природы при выращивании озимой пшеницы // Агрохимия. 2006. № 8. С. 30–33.
- Бархатова О.А. Влияние азотных подкормок и биологически активных веществ на формирование урожая и качества зерна озимой пшеницы в условиях Центрального Предкавказья: Автореф. дис. … канд. с.-х. наук. Ставрополь: Ставрополь. ГАУ, 2008. 22 с.
- Фотосинтез и продукционный процесс / Под ред. А.А. Нечипоровича. М.: Наука, 1988. 280 с.
- Сонин В.А. Агробиологическое обоснование различных способов применения регуляторов роста растений в посевах озимой пшеницы в условиях Центрального Черноземья: Автореф. дис. … канд. с.-х. наук. Курск: Курск. ГСХА, 2005. 19 с.
- Пигорев И.Я., Кудинов, Марущенко Д.И. Роль некорневых подкормок озимой пшеницы сорта Гром на черноземе типичном Курской области // Вестн. Курск. ГСХА. 2022. № 5. С. 35–40.
- Дворецкий С.А. Влияние регуляторов роста на снижение воздействия ксенобиотиков в посевах озимой пшеницы в условиях Республики Мордовия: Автореф. дис. … канд. с.-х. наук. Пенза: Пенз. ГСХА, 2012. 18 с.
- Халгаева К.Е. Комплексное влияние стимуляторов роста и минеральных удобрений на урожайность озимой пшеницы в условиях светло-каштановых почв Калмыкии: Автореф. дис. … канд. с.-х. наук. Астрахань: Астрахан. гос. ун-т, 2012. 22 с.
- Гулянов Ю.А. Влияние регуляторов роста растений на реализацию ресурсного потенциала агроценозов озимой пшеницы в условиях Оренбургского Предуралья // Вестн. Оренбург. ГАУ. 2007. № 3. С. 150–154.
- Ефремова Ю.В. Агробиологические основы интенсивной технологии возделывания озимой пшеницы на черноземе выщелоченном при применении биостимуляторов роста: Автореф. дис. … канд. с.-х. наук. Орел: Орлов. ГАУ им. Н.В. Парахина, 2017. 25 с.
- Шалыгина А.А. Продуктивность фотосинтетической деятельности озимой пшеницы в лесостепной зоне РСО – Алания // Тенденции развития науки и образ-я. 2023. № 96–10. С. 182–186.
- Макаров А.А., Мамсиров Н.И., Иванова З.А., Тхазеплова Ф.Х. Продуктивность и технологические качества зерна озимой пшеницы сорта Гром в зависимости от применения регуляторов роста растений и азотных подкормок // Новые технологии. 2021. Т. 17. № 4. С. 11–25.
- Магомедова А.Н., Рамазанова К.Р., Далгатова И.Д. Продуктивность сортов озимой пшеницы в предгорной провинции Дагестана в зависимости от применения регуляторов роста // Изв. Дагестан. ГАУ. 2022. Вып. 2(14). С. 73–76.
- Чернуха С.А. Отзывчивость сортов яровой мягкой пшеницы на нормы высева и биологически активные вещества в Волгоградском Заволжье: Автореф. дис. … канд. с.-х. наук. Волгоград: Волгоград. ГСХА, 2011. 24 с.
- Тимошенко Э.В. Действие биопрепаратов на показатели фотосинтеза и урожайность яровой пшеницы в Амурской области // Междунар. науч–исслед. журнал. 2015. № 10–3(41). С. 68–70.
- Шикин В.И. Роль предшественников, удобрений и стимуляторов роста при выращивании сортов озимой пшеницы в южной зоне Ростовской области: Автореф. дис. … канд. с.-х. наук. п. Персиановский: Дон. ГАУ, 2006. 21 с.
- Семенюк О.В. Влияние жидких органоминеральных удобрений на активность нитратредуктазы у озимой пшеницы в репродуктивный период // Изв. Горск. ГАУ. 2018. № 55(4). С. 48–53.
- Калашникова А.А. Влияние предпосевной обработки семян полифункциональными препаратами на активность нитратредуктазы в фазы колошения растений озимой пшеницы // Аграрная наука XXI: проблемы и перспективы развития: мат-лы Международ. научн.-практ. конф. Воронеж: Воронеж. ГАУ им. Императора Петра I, 2022. С. 229–234.
- Шакирова Ф.М. Неспецифическая устойчивость растений к стрессовым факторам и ее регуляция. Уфа: Гилем, 2001. 160 с.
- Чумикина Л.В., Арабова Л.И., Колпакова В.В., Топунов А.Ф. Фитогормоны и абиотические стрессы // Химия раст. сырья. 2021. № 4. С. 5–30.
- Давидянц Э.С. Действие суммы тритерпеновых гликозидов и экстракта из Silphium perfoliatum на ростовые процессы в условиях высокотемпературного и солевого стресса // Новые и нетрадиционные растения и перспективы их использования: мат-лы X Международ. симп. М.: РУДН, 2013. Т. 1. С. 88–90.
- Давидянц Э.С. Влияние тритерпеновых гликозидов из Silphium perfoliatum L. на прорастание семян и рост проростков в условиях теплового стресса // Раст. ресурсы. 2023. Т. 42. Вып. 2. С. 120–125.
- Семенюк О.В. Влияние органо-минеральных удобрений Полидон и стимулятора роста Альфастим на засухоустойчивость мягкой озимой пшеницы в зоне неустойчивого увлажнения Ставропольского края // Современная аграрная наука как фактор повышения эффективности сельскохозяйственного производства региона. Сб. научн. тр. по мат-лам конф. с международ. участием / Под ред. В.Н. Мазурова. Калуга: Калуж. НИИСХ, 2018. С. 71–76.
- Широких И.Г., Абубакирова Р.И., Карпова Е.М., Кучин А.В. Оценка натриевых солей суммы тритерпеновых кислот Abies sibirica L. в качестве регулятора роста и стресспротектора яровой пшеницы // Агрохимия. 2007. № 1. С. 52–56
- Тюкина Е.В., Савельев А.С., Бочкарев Д.В., Наумов М.О. Влияние регуляторов роста на посевные качества семян и морфометрические показатели озимой пшеницы в условиях солевого стресса // IX Международ. научн.-практ. конф. “Лапшинские чтения”. Саранск: Мордов. ГАУ, 2013. С. 255–259.
- Калашникова А.А. Влияние обработки семян пшеницы полифункциональными препаратами на урожайность и солеустойчивость // Сел.-хоз. журн. 2022. № 2(15). С. 4–11.
- Климашевский Э.Л. Генетический аспект минерального питания растений. М.: Агропромиздат, 1991. 415 с.
- Широких И.Г., Огородникова С.Ю., Широких А.А., Карпова Е.М., Хуршкайнен Т.В. Биологическая активность терпеноидов, полученных эмульсионной экстракцией из древесной зелени ели, пихты и березы // Агрохимия. 2008. № 10. С. 10–17.
- Тюкина Е.В., Бочкарев Д.В., Савельев А.С., Федоров И.А. Снижение абиотического стресса в посевах озимой пшеницы при использовании регуляторов роста // Актуальные вопросы агрономии, агрохимии и агроэкологии: мат-лы Международ. научн.-практ. конф. Ульяновск: Ульяновск. ГСХА им. П.А. Столыпина, 2012. С. 225–229.
- Губанов Я.В., Иванов Н.Н. Озимая пшеница. М.: Агропромиздат, 1988. 302 с.
- Глухова И., Ельников М., Рябчук И. Как повысить зимостойкость озимой пшеницы // Главн. агроном. 2010. № 9. С. 15–17.
- Трунова Т.И. Растения и низкотемпературный стресс. М.: Наука, 2007. 54 с.
- Колупаев Ю.Е., Карпец Ю.В. Участие растворимых углеводов и низкомолекулярных соединений азота в адаптивных реакциях растений // Вестн. Харьков. НАУ. Сер. Биол. 2010. № 2(20). С. 36–53.
- Тюкина Е.В., Савельев А.С., Бочкарев Д.В., Смолин Н.В. Влияние регуляторов роста и фунгицидов на содержание сахарозы в узлах кущения и урожайность озимой пшеницы // Нива Поволжья. 2013. № 2(27). С. 66–71.
- Смолин Н.В., Савельев А.С., Синьков А.А., Сальникова Е.В. Влияние регуляторов роста на зимостойкость озимой пшеницы в условиях Республики Мордовия // Научные системы земледелия и их совершенствование: мат-лы Международ. научн. конф., посвящ. 100-летию со дня рожд. В.П. Нарциссова. Н. Новгород: Нижегород. ГСХА, 2007. С. 150–152.
- Жалиева Л.Д. Повышение морозоустойчивости растений озимой пшеницы при обработке семян биологически активными веществами // Достиж. науки и техн. АПК. 2001. № 6. С. 17–19.
- Бардак Н.Н., Жук Б.Н., Стручалин М.С. Эффективность препарата Силк // Земледелие. 2001. № 1. С. 29.
- Чекуров В.М., Козлов В.Е., Жалиева Л.Д. Способ повышения морозоустойчивости озимой пшеницы: Пат. 2269895, РФ // Б.И. 2006. № 5.
- Зеленская Г.М., Шестов И.Н. Влияние предпосевной обработки семян на продуктивность посевов озимой пшеницы // Актуальные вопросы управления производством растениеводческой и животноводческой продукции АПК и здоровьем сельскохозяйственных животных: мат-лы Всерос. научн.-практ. конф. п. Персиановский: Дон. ГАУ, 2019. С. 75–81.
- Калмыкова Е.В. Повышение продуктивности сортов озимой пшеницы при комплексном применении удобрений и регуляторов роста // Теор. и прикл. пробл. АПК. 2011. № 4(9). С. 26–28.
- Веселов Д.С., Кадиков Р.К., Мигранов Р.Р., Баимова Г.М. Концентрация осмотически активных веществ в листьях растений мягкой яровой пшеницы в засушливых условиях Южного Предуралья // Изв. Уфим. НЦ РАН. 2013. № 3. С. 75–78.
- Калмыкова Е.В. Оптимизация приемов возделывания сортов озимой пшеницы в зоне каштановых почв Волгоградской области: Автореф. дис. … канд. с.-х. наук. Волгоград: Волгоград. ГСХА, 2012. 24 с.
- Авдеенко А.П. Влияние удобрений и стимуляторов роста на влагообеспеченность посевов и продуктивность сортов озимой пшеницы // Международ. научн.-исслед. журн. 2015. № 8(39). Ч. 4. С. 6–9.
- Тюкина Е.В., Савельев А.С., Наумов М.О. Влияние регуляторов роста и фунгицидов на морфометрические показатели растений озимой пшеницы // Мат-лы 47-й Международ. научн. конф. молод. ученых, докторантов, аспирантов и соискателей уч. степеней д-ра и канд. наук. М.: ВНИИА, 2013. С. 205–208.
- Лухменев В.П., Нугуманов А.Х., Ахметшин А.И., Исхаков Ф.Ф., Исаев Р.В. Экологические аспекты использования химических средств защиты растений на яровом ячмене и пшенице // Изв. Оренбург. ГАУ. 2005. № 1(5). С. 58–61.
- Карпухин М.В., Кирсанова Е.В. Влияние совместного применения препаратов Раксил и Биосил на посевные качества и урожайные свойства семян яровой пшеницы // Вклад молодых ученых в реализацию приоритетных направлений развития АПК: мат-лы XI Международ. научн.-практ. конф. молод. ученых, аспирантов и студентов. Орел: Орлов. ГАУ им. Н.В. Парахина, 2007. С. 56–58.
- Цыбенов Б.Б., Дабаева М.Д. Влияние биостимулятора Биосил на урожайность и качество зерна яровой пшеницы в сухостепной зоне Бурятии // Вестн. Бурят. ГСХА им. Филиппова. 2010. № 1(18). С. 84–89.
- Лыскин В.М. Технологические приемы формирования урожая зерна яровой мягкой пшеницы на черноземах южных в Оренбургском Предуралье: Автореф. дис. … канд. с.-х. наук. Оренбург: Оренбург. ГАУ, 2012. 22 с.
- Глинушкин А.П., Белошапкина О.О. Влияние синтетических и биологических препаратов на всхожесть семян и выживаемость пшеницы // Достиж. науки и техн. АПК. 2013. № 1. С. 11–13.
- Тюкина Е.В., Девяткина Т.Ф., Колмыкова Т.С., Бочкарев Д.В. Антистрессовое действие регуляторов роста при использовании гербицидов на растениях озимой пшеницы // Вестн. Саратов. ГАУ им. Н.И. Вавилова. 2013. № 5. С. 41–45.
- Пахомова В.М., Даминова А.И. Антиоксидантное действие препарата женьшеня при некорневой обработке яровой пшеницы. Сигнальные системы растений: от рецептора до ответной реакции организма: мат-лы научн. конф. с международ. участием. СПб.: Изд-во СПбГУ, 2016. С. 175–176.
- Тимошенко Э.В. Ферментативная активность яровой пшеницы при обработке биопрепаратами в условиях южной зоны Амурской области // Инновационные процессы и технологии в современном сельском хозяйстве: мат-лы Международ. научн.-практ. конф. в 2-х частях. Ч. 1. Благовещенск, 2014. С. 141–146.
- Бочкарев Д.В., Смолин Н.В., Девяткина Т.Ф., Дворецкий С.А., Кошкин А.В. Влияние регуляторов роста на снижение абиотического стресса и посевные качества семян озимой пшеницы // Аграрная наука – сельскому хозяйству: мат-лы VII Международ. научн.-практ. конф. Барнаул: Алтай. ГАУ, 2012. Т. 2. С. 294–295.
- Девяткина Т.Ф., Дворецкий С.А., Кошкин А.В. Влияние регуляторов роста на морфометрические показатели озимой пшеницы в лабораторном опыте // ХХХХ Огаревские чтения: мат-лы научн. конф. Естеств. науки. Саранск: Изд-во Мордов. гос. ун-та, 2012. С. 181–183.
- Лукаткин А.С., Семенова А.С., Лукаткин А.А. Влияние регуляторов роста на проявление токсического действия гербицидов на растения // Агрохимия. 2016. № 1. С. 73–95.
- Селютина А.Е., Коробов В.А. Влияние регуляторов роста растений на стрессоустойчивость яровой пшеницы к гербициду Велосити. URL: http://dspace.bsu.edu/ru/handle/123456789/33699
- Гузь А.Л. Влияние биопрепарата Биосил на урожайность, качество зерна и снижение стрессового воздействия гербицидов на растения озимой пшеницы // Биологическая защита растений – основа стабилизации агроэкосистем. Краснодар: ВНИИ биол. защиты раст., 2006. Вып. 4. С. 292–294.
- Тимофеев В.Н., Гарбар И.Н. Применение гербицидов на яровой пшенице в Тюменской области // Сб. научн. тр. ВНИИ овцеводства и козоводства. 2015. Т. 1. № 8. С. 799–801.
- Дворецкий С.А., Девяткина Т.Ф., Бочкарев Д.В., Смолин Н.В. Эффективность применения гербицидов и регуляторов роста в посевах озимой пшеницы // Нива Поволжья. 2012. № 4(25). С. 15–19.
- Петров Н.Ю., Чернышков В.В., Сарычев А.Н. Влияние биопрепаратов на засоренность посевов мягкой пшеницы в подзоне светло-каштановых почв Нижнего Поволжья // Теор. и приклад. пробл. АПК. 2010. № 1. С. 27–30.
- Дорогая Ю.В. Эффективность гербицидов нового поколения в снижении засоренности посевов яровой пшеницы в условиях Красноярской лесостепи: Автореф дис. … канд. с.-х. наук. Красноярск: Красноярск. ГАУ. 2011. 19 с.
- Спиридонов Ю.Я., Будынков Н.И., Стрижков Н.И., Автаев Р.А., Автаев С.С.-Х., Даулетов М.А., Шагиев Б.З., Линьков А.С. Использование гербицидов в борьбе с сорной растительностью в посевах озимой пшеницы // Устойчивое развитие мирового сельского хозяйства: сб. мат-лов международ. научн.-прак. конф. Саратов, 2017. С. 102–105.
- Спиридонов Ю.Я., Чичварин А.В., Спиридонова Г.С. Влияние регулятора роста Биосил на эффективность баковой смеси гербицидов в посевах зерновых культур (Дикамба + метсульфурон–метил) // Проблемы экологии агроэкосистем: пути и методы их решения. Новосибирск: Сибир. НИИ земледелия и химизации сел. хоз-ва, 2009. С. 130–133.
- Иванов О.А. Перспективы применения удобрений и регуляторов роста для контроля сорняков в агрофитоценозах // Аграрная наука – сельскому хозяйству: сб. мат-лов XVIII Международ. научн.-прак. конф. В 2-х частях. Барнаул, 2023. С. 224–226.
- Анисимов М.М., Иванов А.С., Попов А.М., Киселева М.И. Себко И.Г. Влияние некоторых тритерпеновых гликозидов и полиеновых антибиотиков на проницаемость клеточных мембран для ионов К+ и УФ-поглощающих веществ // Прикла. Биохим. и микробиол. 1981. Т. 17. № 6. С. 890–895.
- Gruiz K. Fungitoxic activity of saponin: practical use and fundamental principle // Adv. Exp. Med. Biol. 1996. V. 404. P. 527–534.
- Давидянц Э.С. Тритерпеновые гликозиды Silphium perfoliatum L.: строение, биологическая активность, возможность использования: Автореф. дис. … д-ра биол. наук. М.: РГАУ–МСХА им. К.А. Тимирязева, 2017. 43 с.
- Давидянц Э.С., Карташева И.А., Нешин И.В. Влияние тритерпеновых гликозидов Silphium perfoliatum L. на фитопатогенные грибы // Раст. ресурсы. 1997. Т. 33. Вып. 4. С. 93–96.
- Карташева И.А., Давидянц Э.С. Оценка антифунгального действия суммы тритерпеновых гликозидов, выделенной из двух видов сильфии // Защита и карантин растений: сб. науч. тр. Ставрополь: Ставрополь. ГСХА, 1998. С. 17–20.
- Гарбар Л.И. Протравители семян, стимуляторы роста и их смеси на яровой пшенице // Технологическая политика в современном земледелии: мат-лы научн.-практ. конф. по общему земледелию. Барнаул: Алтай. НИИ земледелия и селекции с.-х. культур, 2000. С. 21–23.
- Стрелков Е.В., Бегунов И.И., Гончаров В.Т. Эффективность применения некоторых протравителей семян пшеницы, биопрепаратов и их композиций // Агро XXI. 2002. № 7(12). С. 57–58.
- Сарычева Л.М. Влияние регуляторов роста растений и фунгицидов на патогенез инфекционного выпадения и урожайность озимых зерновых культур: Автореф. дис. … канд. биол. наук. М.: РГАУ–МСХА им. К.А. Тимирязева, 2010. 20 с.
- Смолин Н.В., Синьков А.А., Савельев А.С., Китаев С.А. Влияние регуляторов роста на продуктивность озимой пшеницы и устойчивость к септориозной пятнистости // XXXVII Огаревские чтения: мат-лы научн. конф. Ч. 2. Естеств. науки. Саранск: Изд-во Мордов. гос. ун-та, 2009. С. 39–41.
- Чекуров В.М., Зазимко М.И., Жалиева Л.Д., Тостиков Г.А., Ралдугин В.А. Друганов А.Г., Климов В.П., Шубин А.Н. Способ борьбы с грибными болезнями зерновых культур: Пат. 2147400, РФ // Б.И. 2000. № 4.
- Ларионов Г.И., Зоркина Т.М, Кулемин С.В. Мартынович Л.Л. Влияние регулятора роста Силка на урожайность и качество зерна яровой пшеницы в условиях сухостепной зоны Республики Хакасия // Агрохимия. 2003. № 8. С. 57–60.
- Жалиева Л.Д. Силк в борьбе с болезнями листьев и колоса зерновых культур // Сб. научн. тр. Краснодар. НИИСХ им. П.П. Лукьяненко, 2000. С. 230–233.
- Сазанович С.В. Власенко Н.Г. Силк не конкурент фунгицидам, а помощник // Защита и карантин раст. 2003. № 2. С. 31.
- Щедрин В.А. Факторы эффективности биостимуляторов роста в посевах озимой пшеницы // Агроэкологические проблемы Центрального Черноземья: мат-лы Всерос. научн.-практ. конф. Курск: Курск. ГСХА, 2004. С. 122–124.
- Полоус Г.П., Жабина В.И., Есаулко Н.А. Влияние регуляторов роста на пораженность озимой пшеницы болезнями // Вестн. АПК Ставрополья. 2012. № 2(6). С. 16–17.
- Есаулко Н.А., Романенко Е.С., Селиванова М.В., Сосюра Е.А., Айсанов Т.С. Изменение поражаемости озимой пшеницы болезнями в зависимости от применения регуляторов роста // Научные основы развития сельскохозяйственного производства в России: Сб. мат-лов Всерос. научн.-прак. конф. Махачкала: Дагестан. ГАУ им. М.М. Джамбулатова, 2017. С. 238–242.
- Усольцев Ю.А., Косова В.Н. Оценка эффективности действия фунгицидов и ростовых веществ на яровой пшенице // Актуальные проблемы экологии и природопользования: сб. ст. по мат-лам V Всерос. научн.-практ. конф. Курган: Курган. ГСХА им. Т.С. Мальцева, 2021. С. 139–144.
- Тареев А.И., Багдасаров В.Р., Казаченко А.А. Способ борьбы с фитопатогенными грибами и фунгицидное средство. Пат. 2239319, РФ // Б.И. 2004.
- Савенков В.П., Травин Г.Н., Федотов В.А. Влияние фунгицидов на продуктивность и качество зерна твердой яровой пшеницы // Аспекты современных агротехнологий: сб. научн. тр. конф. Воронеж, 2005. С. 28–30.
- Иванцова Е.А., Чеботарев В.Ф. Результат очевиден // Защита и карантин раст. 2006. № 11. С. 37–37.
- Немченко В.В., Цыпышева М.Ю., Заргарян Н.Ю. Эффективность использования фунгицидов, регуляторов роста и биопрепаратов для борьбы с болезнями зерновых культур // Вестн. Курган. ГСХА им. Т.С. Мальцева, 2013. № 1. С. 21–23.
- Попова Е.А. Регулятор роста Биосил в борьбе с корневой гнилью пшеницы в условиях Куганской области // Агрометеорология и сельское хозяйство, значение и перспективы: сб. мат-лов Всерос. научн.-практ. конф. Омск: Омск. ГАУ, 2016. С. 34–36.
- Спиридонов Ю.Я., Будынков Н.И., Автаев Р.А., Стрижков Н.И., Атаев С.С.-Х., Суминова Н.Б., Даулетов М.А., Ленович Д.Р. Разработка интегрированной технологии защиты посевов полевых культур от болезней, вредителей и сорняков на основе биологических и химических методов // Аграр. научн. журн. Естеств. науки. 2017. № 9. С. 39–42.
- Мамсиров Н.И., Дагужиева З.Ш. Действие регуляторов роста на посевы озимой пшеницы // Сельскохозяйственное землепользование и продовольственная безопасность: мат-лы IV Международ. научн.-практ. конф. Нальчик: Кабардино-Балкар. ГАУ, 2018. С. 42–46.
- Бабаянц О.В., Цыганкова В.А., Пономаренко С.П., Медков М.И. Роль регуляторов роста в иммунозащитных реакциях растений на болезни, вызванные патогенными организмами // Научное обеспечение отрасли свекловодства: мат-лы Международ. научн.-практ. конф. Несвиж, 2022. С. 151–166.
- Лухменев В.П. Экологизация защиты яровой пшеницы через применения биологических препаратов и регуляторов роста в баковых смесях с пестицидами // Изв. Оренбург. ГАУ. 2004. № 4(4). С. 16–17.
- Кадиков Р.К., Мигранов Р.Р. Влияние сортовой устойчивости яровой пшеницы на эффективность применения препаратов предпосевной обработки семян // Вестн. Башкир. ГАУ. 2013. № 1(25). С. 33–35.
- Доронин В.Г., Ледовский Е.Н. Кривошеева С.В. Препараты и баковые смеси против листостебельных инфекций в посевах яровой пшеницы // Вестн. Бурят. ГСХА им. В.Р. Филиппова. 2019. № 3(56). С. 14–23.
- Пилипенко Н.Г., Андреева О.Т., Сидорова Л.П., Харченко Н.Ю. Влияние предпосевной обработки семян на развитие болезней зерновых культур // Кормопроизводство. 2022. № 1. С. 37–42.
- Комков Н.Д. Агротехнологические факторы фитосанитарной оптимизации возделывания озимой пшеницы в условиях Центрального Нечерноземья: Автореф. дис. … канд. с.-х. наук. Галицино: ВНИИ фитопатологии, 2006. 26 с.
- Назарова Л.Н., Мотовилин А.А., Корнева Л.Г., Полякова Т.М., Жохова Т.П., Копорова Т.И. Оценка эффективности биопрепаратов и индукторов устойчивости на озимой пшенице против болезней листьев и колоса // Индуцированный иммунитет сельскохозяйственных культур – важное направление в защите растений: мат-лы Всерос. научн.-практ. конф. / Под ред. С.С. Санина, В.А. Павлюшина. 2006. С. 116–119.
- Захаренко В.А. Биопестициды и средства защиты растений с небиоцидной активностью в интегрированном управлении фитосанитарным состоянием зерновых агроэкосистем // Агрохимия. 2015. № 6. С. 64–76.
- Санин С.С., Назарова Л.Н. Неклеса Н.П., Полякова Т.М., Гудвин Н. Эффективность биопестицидов и регуляторов роста растений в защите пшеницы от болезней // Защита и карантин раст. 2012. № 3. С. 16–18.
- Маслова Н.В. Твердая головня пшеницы и меры борьбы с ней в Нижнем Поволжье: Автореф. дис. … канд. с.-х. наук. Саратов: Саратов. ГАУ, 2006. 25 с.
- Земскова Ю.К., Мулдашев М.Ю., Зюкова О.А., Никонцева Н.М. Приемы протравливания семян при борьбе с грибными заболеваниями // Правовые, экономические и экологические аспекты рационального использования земельных ресурсов: сб. ст. VI Международ. научн.-практ. конф. Саратов: Саратов. ГАУ, 2021. С. 39–44.
- Санин С.С., Жохова Т.П. Влияние болезней и средств защиты растений на качество зерна пшеницы // Защита и карантин раст. 2012. № 11. С. 16–19.
- Шомахова М.А., Иванова З.А., Тхазеплова Ф.Х. Формирование высокопродуктивных посевов яровой твердой пшеницы в степной зоне Кабардино-Балкарии // Развитие научной, творческой и инновационной деятельности молодежи: мат-лы IX Всерос. научн.-практ. конф. молод. ученых. Лесниково: Курган. ГСХА им. Т.С. Мальцева, 2017. С. 320–326.
- Балашов В.В., Агафонов А.К. Влияние регуляторов роста и фунгицидов на урожайность и качество зерна озимой пшеницы в подзоне светло–каштановых почв Волгоградской области // Плодородие. 2013. № 1(70). С. 28–29.
- Кошеляева И.П. Развитие болезней и формирование урожайности в агрофитоценозе пшеницы и ячменя в зависимости от применения биологически активных препаратов // Нива Поволжья. 2007. № 3(4). С. 14–19.
- Заревина К.С., Стецов Г.Я., Силантьева М.М. Влияние биологически активных веществ на яровую пшеницу в экстремальных условиях // Пробл. бот. юж. Сибири и Монголии. 2016. № 15. С. 437–441.
- Коробейникова О.В., Строт Т.А., Маслова М.П., Никитин А.А. Влияние регуляторов роста на посевные качества семян ячменя и яровой пшеницы // Современные достижения селекции растений – производству: мат-лы Нац. научн.-практ. конф. Ижевск: Ижевск. ГСХА, 2021. С. 187–199.
- Тимошенко Э.В. Применение биопрепаратов и микроэлементов для повышения продуктивности и качества зерна яровой пшеницы в условиях южной зоны Амурской области: Автореф. дис. … канд. с.-х. наук. Благовещенск: Дальневосток. ГАУ, 2011. 19 с.
- Кошеляева И.П. Влияние биологически активных препаратов при совместном применении с протравителем семян Колфуго Супер на развитие болезней пшеницы // Селекция и семеноводство сельскохозяйственных культур: сб. мат-лов VIII Всерос. научн.-практ. конф. Пенза, 2004. С. 127–130.
- Хуршкайнен Т.В., Трепашко Л.И., Сорока С.В., Лахвич Ф.А., Кучин А.В. Исследования эффективности регулятора роста растений Вэрва в посевах озимой пшеницы в Республике Беларусь // Биологически активные препараты для растениеводства. Научное обоснование – рекомендации – практические результаты: мат-лы XIV Международ. научн.-практ. конф. / Отв. ред. Д.В. Маслак. Минск: Изд-во БГУ, 2018. С. 215–217.
- Лазарев В.И., Казначеев М.Н. Силк – эффективный стимулятор роста озимой пшеницы // Главн. агроном. 2004. № 9. С. 42.
- Самсонов Ю.Н., Макаров В.И. Применение аэрозолей природных биоактивных веществ для регулирования роста растений // Интерэкспо Гео–Сибирь. 2015. № 4(2). С. 117–120
- Ульянцев А.В., Недбаев В.Н. Агроэкологическое обоснование применение биопрепаратов в посевах озимой пшеницы в Курской области // Интеграция науки и с.-х. производства: мат-лы Международ. научн.-практ. конф. Курск: Курск. ГАУ им. И.И. Иванова, 2017. С. 144–146.
- Беседин Н.В., Котельникова М.Н. Биостимуляторы роста и урожайность озимой пшеницы в условиях Курской области // Стратегия развития сельского хозяйства в современных условиях – продолжение научного наследия Листопада Г.Е., акад. ВАСХНИЛ (РАСХН). Нац. научн.-практ. конф. Волгорад: Волгоград. ГАУ, 2019. Т. 1. С. 89–94.
- Воронов С.И., Плескачев Ю.Н., Черноморов Г.В. Продуктивность озимой пшеницы в зависимости от листового внесения КАС и регуляторов роста // Пробл. развития АПК региона. 2020. № 1(41). С. 19–20.
- Ефременко А., Самохин П.И., Малышева Е.В. Влияние биостимуляторов роста на урожайность озимой пшеницы в условиях Курской области // Биотехнологические приемы производства и переработки сельскохозяйственной продукции: мат-лы Всерос. (нац.) научн.-практ. конф. Курск: Курск. ГСХА им. И.И. Иванова, 2021. Т. 1. С. 228–231.
- Шитиков Н.В., Кудинов В.А., Пигорев И.Я. Некорневое использование удобрений и стимуляторов роста при выращивании озимой пшеницы на черноземе типичном // Вестн. Курск. ГСХА. 2022. № 6. С. 29–34.
- Петриченко В.Н., Зеленков В.Н., Логинов С.В. Туркина О.С. Применение регуляторов роста растений для снижения тяжелых металлов в продукции // Перспективы использования инновационных форм удобрений, средств защиты и регуляторов роста растений в агротехнологиях сельскохозяйственных культур: мат-лы докл. участников 10-й научн.-практ. конф. / Под ред. В.Г. Сычева. Анапа: ООО “Плодородие”, 2018. С. 163–165.
- Петров Н.Ю., Бердников Н.В., Чернышков В.В. Влияние биостимуляторов на урожайность и качество зерна яровой пшеницы // Аграр. вестн. Урала. 2008. № 9(51). С. 45–46.
- Давидянц Э.С., Ерошенко Ф.В. Состояние, тенденции и пути оптимизации производства качественного зерна озимой пшеницы в Ставропольском крае // Достиж. науки и техн. АПК. 2017. Т. 31. № 6. С. 21–26.
- Ерошенко Ф.В., Ерошенко А.А., Симатин Т.В., Шестакова Е.О., Давидянц Э.С., Сторчак И.Г., Семенюк О.В. Азотные подкормки растений озимой пшеницы в условиях Ставропольского края // Земледелие. 2017. № 8. С. 18–20.
- Лебедева Т.А. Влияние препаратов Лариксин и Биосил на формирование урожайности озимой пшеницы // Главн. агроном. 2010. № 7. С. 30.
- Магомедов К.Г., Ханиева И.М., Кишев А.Ю., Базиев А.П., Камбиев А.А. Изменение технологических качеств озимой пшеницы при применении регуляторов роста в условиях предгорной зоны КБР // Современные проблемы, перспективы и инновационные тенденции развития аграрной науки: мат-лы Международ. научн.-практ. конф. Махачкала, 2010. Т. 2. С. 334–337.
- Иванов В.М., Чернуха С.А. Влияние норм высева и физиологически активных веществ на урожайность, качество зерна и семян яровой пшеницы в Волгоградском Заволжье // Аграр. вестн. Урала. 2010. № 4(70). С. 74–76.
- Балашов А.В., Набойченко К.В., Малахова А.А. Отзывчивость сортов озимой пшеницы на биологически активные вещества и сроки сева в подзоне светло-каштановых почв Волгоградской области // Плодородие. 2012. № 5(68). С. 36–37.
- Нешин И.В., Мяоседова С.С., Бархотова О.А., Давидянц Э.С., Дуденко Н.В., Орехова А.Н. Роль регуляторов роста в повышении продуктивности озимой пшеницы // Земледелие. 2012. № 3. С. 25–27.
- Титков В.И., Байкасенов Р.К. Урожайность яровой мягкой пшеницы в зависимости от сорта, нормы высева и регуляторов роста в условиях Оренбургского Предуралья // Изв. Оренбург. ГАУ. 2014. № 6(50). С. 19–21.
- Сейтбогометов Е.С., Ильясова Н.В., Щукин В.Б. Эффективность некорневого внесения регуляторов роста и удобрения на основе гуминовых кислот в поздние фазы роста и развития озимой пшеницы // Изв. Оренбург. ГАУ. 2018. № 2(70). С. 50–53.
- Маmsirov N.I., Makarov A.A. The influence of growth-reegulating substances on the yield and grain quality of new varieties of winter soft wheat // Sci. Eur. 2020. № 55(2). Р. 3–6.
- Немченко В.В., Цыпышева М.Ю. Влияние биопрепаратов и регуляторов роста на структуру урожая и продуктивность яровой пшеницы // Вестн. Алтай. ГАУ. 2014. № 8(118). С. 5–8.
- Новочихин Л.М., Щеглов Н.В. Эффективность применения современных агропрепаратов в технологиях возделывания сельскохозяйственных культур // Вестн. Мичурин. ГАУ. 2015. № 3. С. 40–47.
- Павлова О.Г., Щукин В.Б., Ильясова Н.В. Эффективность регуляторов роста Рибав-Экстра, Биосил, Иммуноцитофит и их совместного применения с Гуми-30 на посеве яровой пшеницы в условиях Оренбургского Предуралья // Изв. Оренбург. ГАУ. 2020. № 2(82). С. 47–52.
- Власов А.Г., Кажарский В.Р., Миренков Ю.А. Новосил – новый перспективный регулятор роста в посевах яровой пшеницы и люпина узколистного // Ресурсосбережения и экология в сельском хозяйстве: мат-лы VI Международ. научн. конф. студентов, магистрантов и аспирантов, посвящ. 75-летию НАН Беларуси. Горки: Беларус. ГСХА, 2004. С. 86–87.
- Безгодов А.В., Ахметханов В.Ф. Реакция сорта Екатерина на применение химических и биологических средств защиты растений и стимуляторов роста // Интеракт. наука. 2017. № 11(21). С. 55–56.
- Кишев А.Ю., Бербекова К.З., Жерукова А.А. Применение регуляторов роста при возделывании яровой пшеницы // Сельскохозяйственное землепользование и продовольственная безопасность: мат-лы III Международ. научн.-практ. конф. Нальчик: Кабардино-Балкар. ГАУ, 2017. С. 69–73.
- Фаллаева Л.В., Черкашин А.Г., Зубарев Ю.Н. Влияние приема предпосевной обработки почвы и регулятора роста на урожайность яровой пшеницы в Среднем Предуралье // Агротехнологии XXI века: мат-лы Международ. научн.-практ. конф. Пермь: ИПЦ Прокрость, 2018. С. 93–97.
- Альберт М.А., Галеев Р.Р., Яковлев М.А., Ковалев Е.А., Тарасенко Д.А. Особенности использования регулятора роста Новосил на выщелоченном черноземе лесостепи Приобья // Теория и практика современной аграрной науки: сб. V Нац. (Всерос.) научн. конф. с международ. участием. Новосибирск: Центр Новосибирск. ГАУ “Золотой колос”, 2022. С. 3–5.
- Шалыгина А.А. Регуляторы роста растений в посевах озимой пшеницы // Тенденц. Разв. науки и образ-я. 2022. № 92(14). С. 141–143.
- Семенюк О.В. Эффективность применения жидких органо-минеральных удобрений Полидон и стимулятора роста Альфастим в посевах озимой пшеницы // Земледелие. 2017. № 1. С. 44–46.
- Мицурин А.М. Влияние жидких микроэлементных смесей на продуктивность подсолнечника и яровой пшеницы // Вестн. Алтай. ГАУ 2017. № 8(154). С. 9–13.
- Муравьев А.А. Эффективность листовых подкормок на яровой пшенице // Инновац. в АПК: пробл. и перспект. 2020. № 1(25). С. 154–160.
- Давидянц Э.С. Влияние регуляторов роста растений на урожайность и качество зерна озимой пшеницы на фоне ранневесенней азотной подкормки // Агрохимия. 2022. № 6. С. 45–50.
- Мамсиров Н.И., Мнатсаканян А.А., Загорулько А.В., Макаров А.А. Комплексное исследование воздействия стимуляторов роста и микроудобрений на продуктивность озимой пшеницы // Новые технол. 2022. № 18(4). С. 180–190.
- Долгополова Н.В., Бабаскина А.А. Влияние стимуляторов роста на развитие и продуктивность озимой пшеницы // Вестн. Курск. ГСХА. 2022. № 1. С. 34–41.
- Авдеенко А.П., Петросян А.М. Влияние биологических стимуляторов при некорневой обработке на продуктивность озимой пшеницы // Инновационные технологии – основа модернизации агропромышленного комплекса, посвящ. 85-летию проф. Кривко Н.П.: мат-лы Международ. научн.-практ. конф. п. Персиановский: Донской ГАУ, 2022. С. 93–97.
- Калашникова А.А., Симатин Т.В., Ерошенко Ф.В., Сторчак И.Г. Влияние полифункциональных препаратов на урожай и качество зерна озимой пшеницы в зоне неустойчивого увлажнения Ставропольского края // Сел.-хоз. журн. 2023. № 2(16). С. 27–36.
- Селиванов Н.Ю. Исследование влияния препарата Вэрва на рост и продуктивность яровой пшеницы // Вэрва – комплексные препараты для растениеводства. Сыктывкар: Ин-т химии ФИЦ Коми НЦ Уро РАН, 2020. С. 85–93.
- Уталиева А.А. Влияние норм высева, регуляторов роста и микроэлементов на продуктивность яровой твердой пшеницы на черноземах южных в Оренбургском Предуралье: Автореф. дис. … канд. с.- х. наук. Оренбург: Оренбург. ГАУ, 2008. 25 с.
- Ткачук О.А., Орлов А.Н., Павликова Е.В. Адаптивные ресурсосберегающие приемы возделывания яровой мягкой пшеницы в севооборотах лесостепной зоны Среднего Поволжья // Вестн. Ульяновск. ГАУ им. П.А. Столыпина. 2012. № 4(20). С. 24–29.
- Лобков В.Т., Сорокина С.Ю., Сушенкова Н.Ю. Эффективность влияние биогенных препаратов на структуру урожая, урожайность и качественные показатели яровой пшеницы в условиях применения минимальной обработки почвы // Вестн. агран. науки. 2020. № 4(85). С. 16–21.
- Нешин И.В., Ковтун В.И., Мясоедова С.С., Жолобов В.И., Нешин О.И. Фотосинтетическая деятельность сельскохозяйственных культур в зависимости от условий возделывания. Ставрополь: СНИИСХ, 2008. 316 с.
- Новиков Н.Н., Жарихина А.А. Состав белков и качество зерна яровой мягкой пшеницы в зависимости от уровня азотного питания и применения фиторегуляторов при выращивании на дерново-подзолистой среднесуглинистой почве // Плодородие. 2012. № 5. С. 7–10.
Дополнительные файлы



