Acid-Base Buffering Assessment and Directions of Silicon Compound Transformation in Sod-Podzolic Soil when Used Various Siliceous Rocks
- Autores: Kozlov A.V.1, Kulikova A.H.2
-
Afiliações:
- Russian State Agrarian University–Moscow Timiryazev Agricultural Academy
- Stolypin Ulyanovsk State Agrarian University
- Edição: Nº 12 (2023)
- Páginas: 31-46
- Seção: Soil Fertility
- URL: https://ogarev-online.ru/0002-1881/article/view/162255
- DOI: https://doi.org/10.31857/S0002188123120098
- EDN: https://elibrary.ru/SRXBXD
- ID: 162255
Citar
Texto integral
Resumo
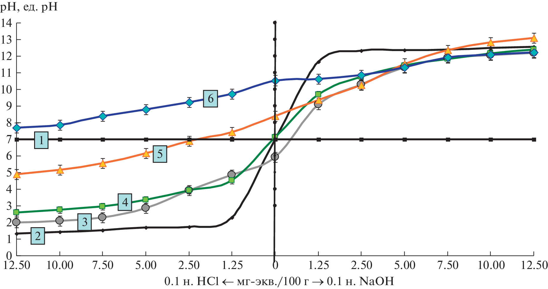
The variability of the main indicators of acid-base buffering of sod-podzolic light-loamy soil was investigated, and the dynamics of the content of monomers and polymers of silicic acid and acid-soluble silica compounds in the soil under conditions of reclamation doses of various siliceous rocks (diatomite, zeolite and bentonite clay 3, 6, 12 t/ha) was described. Zeolite rock and bentonite had a positive effect on the anti-acid buffering ability of the soil, shifting the H+/OH–equilibrium of the system by more than 160 and 20, respectively, depending on the applied dose of the material. The effect of diatomite was manifested in the anti-alkaline region of soil buffering, due to which the H+/OH–-equilibrium index decreased by almost 40%. Against the background of the use of diatom rock and bentonite clay, the content of silicic acid monomers in the soil increased by more than 5 and 4 times, respectively, against the background of the use of zeolite – by more than 2 times. The content of silicic acid polymers in the soil increased up to 3 and 4 times with the use of zeolite and bentonite rocks, respectively. At the same time, the introduction of diatomite into the soil contributed to an increase in the content of H4SiO4 polymers by 5–10 times, depending on the dose of the material. The content of the acid-soluble fraction of silicon compounds in the soil increased by 1.4–2.8 times against the background of different doses of the studied rocks and, in general, had a different dependence depending on the composition of each of them. Based on the revealed irregularities in the content and dynamics of mobile silicon compounds in the soil (monomers and polymers of silicic acids, acid-soluble silica fractions), the characteristic is given and the value of the first proposed indicators describing their dynamic state and directions of transformation – the potential for the formation of monomers (M-ASi) and polymers (P–ASi) is disclosed. H4SiO4, the degree of polymerization (Pm-VSi) and depolymerization (Dm-VSi) of silicic acid, the total content of the loose-amorphous silica fraction (Si-AMF) and the degree of amorphousness of the Si-containing mineral phase of the soil (AMF-VSi). The study of the influence of silicon materials in conditions of sod-podzolic soil revealed that, depending on the qualitative composition and dose of silicon rock, the M-ASi index can increase by 30–80%, and the P-ASi index can be in the range of increase from 0.3 to 3.0 or more times. The processes of polymerization of silicic acid and the decomposition of its polymers into monomers, expressed respectively by Pm-VSi and Dm-VSi, can also actively increase against the background of the interaction of soil with rocks, the measure of change of which is expressed in the order of 10–40% deviation relative to the control. The total content of loose-amorphous silica fraction in the soil, expressed by the SiAMF index, can be determined by the composition of each siliceous rock used as a meliorant. If, when using diatomite, the indicator can decrease by almost 30%, then when using zeolite and bentonite clay, it can increase by 30–100%, depending on the dose. Similarly, the indicator of the degree of amorphousness of the silicon-containing part of the soil substance (AMF-VSi) can also change.
Sobre autores
A. Kozlov
Russian State Agrarian University–Moscow Timiryazev Agricultural Academy
Autor responsável pela correspondência
Email: a.kozlov@rgau-msha.ru
Russia, 127434, Moscow, Timiryazevskaya ul. 49
A. Kulikova
Stolypin Ulyanovsk State Agrarian University
Email: a.kozlov@rgau-msha.ru
Russia, 432017, Ulyanovsk, bul. Novyi Venets 1
Bibliografia
- Мурашкина М.А., Копцик Г.Н., Саузард Р.Дж., Чижикова Н.П. Соединения железа, алюминия, кремния и марганца в почвах лесных экосистем таежной зоны // Почвоведение. 2004. № 1. С. 40–49.
- Соколова Т.А., Толпешта И.И., Лысак Л.В., Завгородняя Ю.А., Чалова Т.С., Карпухин М.М., Изосимова Ю.Г. Биологические характеристики и содержание подвижных соединений Fe, Al и Si в ризосфере ели в подзолистой почве // Почвоведение. 2018. № 11. С. 1330–1339.
- Соколова Т.А., Толпешта И.И., Изосимова Ю.Г. Подвижные соединения Al и Si в палево-подзолистых почвах Центрального лесного заповедника: содержание, распределение по профилю и гранулометрическим фракциям // Почвоведение. 2017. № 6. С. 672–679.
- Соколова Т.А., Толпешта И.И., Максимова Ю.Г. Соединения Al, Fe и Si в вытяжках Тамма и Мера–Джексона в перегнойно-торфянисто-подзолисто-глеевой почве: содержание, запасы, распределение по профилю и гранулометрическим фракциям // Почвоведение. 2014. № 5. С. 537–545.
- Harley A.D., Gilkes R.J. Factors influencing the release of plant nutrient elements from silicate rock powders: a geochemical overview // Nutr. Cycl. Agroecosyst. 2000. V. 56 (1). P. 11–36.
- Heather A.C., Carole C.P. Silica in plants: biological, biochemical and chemical studies // Ann. Bot. 2007. V. 100 (7). P. 1383–1389.
- Казаков Н.В., Лящевская М.С., Гребенникова Т.А. Условия формирования почвы на диатомитовых отложениях (Южная Камчатка) // Вестн. КраУНЦ. Науки о Земле. 2013. № 2 (22). С. 168–177.
- Соколова Т.А., Толпешта И.И., Топунова И.В. Изменение бентонита в торфянисто-подзолисто-глееватой почве в условиях модельного полевого опыта // Вестн. МГУ. Сер. 17. Почвоведение. 2013. № 3. С. 8–18.
- Соколова Т.А. Процессы разрушения кварца, аморфных минералов кремнезема и полевых шпатов в модельных опытах и в почвах: возможные механизмы, скорость, диагностика (анализ литературы) // Почвоведение. 2013. № 1. С. 98–112.
- Соколова Т.А. Роль почвенной биоты в процессах выветривания минералов (обзор литературы) // Почвоведение. 2011. № 1. С. 64–81.
- Толпешта И.И., Соколова Т.А., Изосимова Ю.Г. Краткосрочные изменения биотита различных гранулометрических фракций в подзолистой почве в полевом модельном эксперименте // Почвоведение. 2019. № 10. С. 1211–1224.
- Чижикова Н.П., Омарова Е.О., Зенова Г.М., Манучаров А.С. Взаимодействие циано-актиномицетных сообществ с глинистыми минералами // Бюл. Почв. ин-та им. В.В. Докучаева. 2008. Т. 61. С. 50–59.
- Чижикова Н.П., Харитонова Г.В., Матюшкина Л.А., Коновалова Н.С., Стенина А.С. Дифференциация слоистых силикатов и биогенного кремнезема в луговых подбелах Среднеамурской низменности // Почвоведение. 2013. № 8. С. 980–992.
- Чижикова Н.П., Прокашев А.М. Минералогический состав тонкодисперсных фракций (<1, 1–5, 5–10 мкм) агродерново-подзолистых почв со сложным органопрофилем в Вятском Прикамье // Бюл. Почв. ин-та им. В.В. Докучаева. 2016. Вып. 84. С. 10–28.
- Чижикова Н.П., Гамзиков Г.П., Чечетко Е.С. Особенности профильного распределения и кристаллохимии слоистых силикатов в почвах лесостепи Предбайкалья // Почвоведение. 2018. № 1. С. 93–110.
- Matichenkov V.V., Bocharnikova E.A. Influence of plant association on the silicon cycle in the soil–plant system // Appl. Ecol. Environ. Resh. 2012. V. 10 (4). P. 547–560.
- Matichenkov V.V., Bocharnikova E.A. The relationship between silicon and soil physical and chemical properties // Silicon in Agriculture. Studies in Plant Science. Amsterdam, 2001. P. 209–220.
- Соколова Т.А., Толпешта И.И., Русакова Е.С. Вклад отдельных реакций в формирование кислотно-основной буферности почв пойм ручьев (Центр.-лесной гос. заповедник) // Почвоведение. 2016. № 4. С. 434–447.
- Соколова Т.А., Дронова Т.Я., Толпешта И.И. Глинистые минералы в почвах. Тула: Гриф и К, 2005. 336 с.
- Соколова Т.А., Толпешта И.И., Трофимов С.Я. Почвенная кислотность. Кислотно-основная буферность почв. Соединения алюминия в твердой фазе почвы и в почвенном растворе. Тула: Гриф и К, 2012. 124 с.
- Соколова Т.А., Мотузова Г.В., Малинина М.С., Обуховская Т.Д. Химические основы буферности почв. М.: Ид-во МГУ, 1991. 106 с.
- Трофимов С.Я., Горшкова Е.И., Салпагарова И.А. Ионный обмен и адсорбция в почвах. М.: Изд-во КДУ, 2008. 98 с.
- Matichenkov V.V., Bocharnikova E.A. Silicon fertilizers: agricultural and environmental impacts // Fertilizers: components, uses in agriculture and environmental impacts. N.Y., 2014. P. 182–198.
- Tubana B.S., Babu T., Datnoff L.E. A review of silicon in soils and plants and its role in US agriculture: history and future perspectives // Soil Sci. 2016. V. 181 (9/10). P. 393–411.
- Ересько М. Кислотно-основная буферность почв как индикатор устойчивости экосистемы // Земля Беларуси. 2014. № 4. С. 36–44.
- Максимова Ю.Г., Маряхина Н.Н., Толпешта И.И., Соколова Т.А. Кислотно-основная буферность подзолистых почв и ее изменение под влиянием обработок реактивами Мера–Джексона и Тамма // Почвоведение. 2010. № 10. С. 1208–1220.
- Мотузова Г.В. Природа буферности почв к внешним химическим воздействиям // Почвоведение. 1994. № 4. С. 46–52.
- Надточий П.П., Мыслыва Т.Н. Эталонные величины кислотно-основной буферности дерново-подзолистых почв для фонового мониторинга // Агрохимия. 2014. № 3. С. 83–89.
- Назырова Ф.И. Влияние удобрений на буферные свойства чернозема типичного карбонатного // Агрохимия. 2002. № 2. С. 5–12.
- Ронжина Т.В., Кречетов П.П. Изменение кислотно-основного состояния почв в результате реализации механизмов геохимической буферности при импактном воздействии минерализованных вод на дерново-подзолистые почвы // Фундамент. исслед-я. 2013. № 10 (6). С. 1293–1296.
- Русакова Е.С., Ишкова И.В., Толпешта И.И., Соколова Т.А. Кислотно-основная буферность почв транзитных и транзитно-аккумулятивных позиций ненарушенных ландшафтов Южной тайги // Почвоведение. 2012. № 5. С. 562–573.
- Lehmann J., Kleber M. The contentious nature of soil organic matter // Nature. 2015. V. 528 (7580). P. 60–68.
- Матыченков И.В., Хомяков Д.М., Пахненко Е.П., Бочарникова Е.А., Матыченков В.В. Подвижные кремниевые соединения в системе почва–растение и методы их определения // Вестн. МГУ. Сер. 17. Почвоведение. 2016. № 3. С. 37–46.
- Самсонова Н.Е. Кремний в растительных и животных организмах // Агрохимия. 2019. № 1. С. 86–96.
- Чао Л., Кси Б., Бочарникова Е.А., Матыченков В.В., Хомяков Д.М., Пахненко Е.П. Влияние недостатка увлажнения и повышенного содержания соли на кремниевое состояние почв европейской части России и центрального Китая // Вестн. МГУ. Сер. 17. Почвоведение. 2018. № 3. С. 16–22.
- Ma J.F., Yamaji N. Silicon uptake and accumulation in higher plants // Trend. Plant Sci. 2006. V. 11 (8). P. 392–397.
- Бочарникова Е.А., Матыченков В.В., Матыченков И.В. Кремниевые удобрения и мелиоранты: история изучения, теория и практика применения // Агрохимия. 2011. № 7. С. 84–96.
- Дистанов У.Г. Кремнистые породы СССР. Казань: Татар. кн. изд-во, 1976. 412 с.
- Куликова А.Х. Кремний и высококремнистые породы в системе удобрения сельскохозяйственных культур. Ульяновск: Ульяновск. ГСХА им. П.А. Столыпина, 2013. 176 с.
- Самсонова Н.Е. Кремний в почвах и растениях // Агрохимия. 2005. № 6. С. 76–86.
- Belanger R.R. The role silicon in plant–pathogen interaction: toward universal model // III Silicon in Agriculture Conference. Uberlandia: Universodate Federal de Uberlandia, 2005. P. 34–40.
- Hodson M.J., White P.J., Mead A., Broadley M.R. Phylogenetic variation in the silicon (Si) composition of plants // Ann. Bot. 2005. V. 96. P. 1027–1046.
- Pirzad A., Mohammadzadeh S. Zeolite use efficiency variation under water deficit stress in grass pea and lentil // Журн. Сибир. фед. ун-та. Сер.: биол. 2016. № 9 (3). С. 291–303.
- Пискунов А.С. Методы агрохимических исследований. М.: КолосС, 2004. 312 с.
- Полякова Н.В., Володина Е.Н., Платонычева Ю.Н. Рабочая классификация почв Нижегородской области. Н. Новгород: НГСХА, 2017. 64 с.
- Шишов Л.Л., Тонконогов В.Д., Лебедева И.И., Герасимова М.И. Классификация и диагностика почв России. Смоленск: Ойкумена, 2004. 342 с.
- Кусова Н.В., Степанова Л.П. Кипящие камни (цеолиты). Орел: ОрелГАУ, 2005. 18 с.
- Мосталыгина Л.В., Елизарова С.Н., Костин А.В. Бентонитовые глины Зауралья: экология и здоровье человека. Курган: Изд-во Курган. гос. ун-та, 2010. 148 с.
- Мамонтов В.Г., Гладков А.А. Практикум по химии почв. М.: ФОРУМ, ИНФРА-М, 2015. 272 с.
- Надточий П.П. Определение кислотно-основной буферности почв // Почвоведение. 1993. № 4. С. 34–39.
- Надточий П.П. Опыт составления картограммы кислотно-основной буферности почв // Агрохимия. 1996. № 6. С. 20–26.
- Практикум по агрохимии / Под ред. В.Г. Минеева. М.: Изд-во МГУ, 2001. 689 с.
- Доспехов Б.А. Методика полевого опыта (с основами статистической обработки результатов исследований). М.: Альянс, 2011. 352 с.
- Рабо Дж. Химия цеолитов и катализ на цеолитах. М.: Мир, 1980. Т. 1. 502 с.
- Евтюхов С.А., Березюк В.Г. Изучение сорбционных свойств природных алюмосиликатов (глина, суглинок, супесь, цеолит) // Журнал прикл. химии. 2003. Т. 76. Вып. 9. С. 1454–1457.
- Почвообразовательные процессы / Под ред. М.С. Симаковой, В.Д. Тонконогого. М.: Почв. ин-т им. В.В. Докучаева, 2006. 510 с.
- Элементарные почвообразовательные процессы: опыт концептуального анализа, характеристика, систематика / Под ред. Н.А. Караваевой, С.В. Зонна. М.: Наука, 1992. 184 с.
- Бойцова Л.В. Изменение физико-химических свойств в профиле дерново-подзолистой почвы различного сельскохозяйственного использования // Агрофизика. 2015. № 2. С. 9–15.
- Иванов А.Л., Воробьев В.А., Иванова Ж.А. Современные деградационные процессы в хорошо окультуренных дерново-подзолистых почвах // Пробл. агрохим. и экол. 2015. № 3. С. 15–19.
- Иванов А.И. Некоторые закономерности изменения кислотно-основного состояния дерново-подзолистых легкосуглинистых почв при сельскохозяйственном использовании // Агрохимия. 2000. № 10. С. 28–33.
- Кузьменко Н.Н. Влияние известкования на показатели плодородия дерново-подзолистой легкосуглинистой почвы // Агрохимия. 2019. № 10. С. 35–38.
- Брек Д. Цеолитные молекулярные сита. М.: Мир, 1976. 781 с.
- Кольцова Т.Н. Анализ структур цеолитов с общей формулой CaAl2Si4O12 · nH2O // Неорг. мат-лы. 2007. Т. 43. № 2. С. 218–226.
- Акимбаева А.М., Ергожин Е.Е. Оценка структурных и сорбционных характеристик активированного бентонита // Коллоид. журн. 2007. Т. 69. № 4. С. 437–443.
- Бабушкин В.И., Матвеев Г.М., Мчедлов-Петросян О.П. Термодинамика силикатов. М.: Стройиздат, 1986. 408 с.
- Мышляева Л.В., Краснощеков В.В. Аналитическая химия кремния. М.: Изд-во Наука, 1972. 212 с.
- Шабанова Н.А. Коллоидная химия нанодисперсного кремнезема. М.: Лаборатория знаний, 2020. 331 с.
- Шабанова Н.А., Белова И.А., Маркелова М.Н. Реакционная способность и эволюция агрегативной устойчивости коллоидного кремнезема // Физика и химия стекла. 2020. Т. 46. № 1. С. 90–98.
- Зулумян Н.О., Исаакян А.Р., Пирумян П.А., Бегларян А.А. Структурные особенности аморфных диоксидов кремния // Журн. физ. химии. 2010. Т. 84. № 4. С. 791–793.
- Мартиросян Г.Г., Манукян А.Г., Овсепян Э.Б., Костанян К.А. Исследование адсорбционно-структурных свойств природных и обработанных диатомитов // Журн. прикл. химии. 2003. Т. 76. Вып. 4. С. 551–555.
- Константинов А.О., Смирнов П.В., Гаврилов Д.А., Лойко С.В., Новоселов А.А. Некоторые аспекты почвообразования на биогенных кремниевых породах Зауралья // Бюл. Почв. ин-та им. В.В. Докучаева. 2019. Вып. 96. С. 64–85.
- Матыченков В.В. Градация почв по дефициту доступного растениям кремния // Агрохимия. 2007. № 7. С. 22–27.
- Матыченков В.В., Бочарникова Е.А., Аммосова Я.М. Аморфный кремнезем опал-кристобалитовых пород как возобновляемое сырье для синтеза кремнийорганических соединений и силикатов. Ч. 4. Влияние кремниевых удобрений на растения и почву // Бутлеров. чтения. 2015. Т. 43. № 9. С. 17–25.
- Офицеров Е.Н., Рябов Г.К., Убаськина Ю.А., Климовский А.Б., Фетюхина Е.Г. Кремний и гуминовые кислоты: моделирование взаимодействий в почве // Изв. Самар. НЦ РАН. 2011. Т. 13. № 4 (2). С. 550–557.
- Айлер Р. Химия кремнезема. М.: Мир, 1982. В 2-х ч. Ч. 1, Ч. 2. 1128 с.
- Роде А.А. Избр. тр. Т. 2. Подзолообразовательный процесс. М.: Почв. ин-т им. В.В. Докучаева РАСХН, 2008. 480 с.
Arquivos suplementares








