Композиции фунгицидов с регуляторами роста для уменьшения ретардантного действия протравителей зерновых культур
- Авторы: Зорькина О.В.1, Сухова Е.А.2,3, Агапова О.О.3, Нефедьева Е.Э.2,3, Грибуст И.Р.3, Колотова О.В.2,3
-
Учреждения:
- Волгоградский государственный университет
- Волгоградский государственный технический университет
- Общество с ограниченной ответственностью “Агро Эксперт Груп”
- Выпуск: № 7 (2023)
- Страницы: 37-43
- Раздел: Пестициды
- URL: https://ogarev-online.ru/0002-1881/article/view/139626
- DOI: https://doi.org/10.31857/S0002188123070128
- EDN: https://elibrary.ru/OGINND
- ID: 139626
Цитировать
Полный текст
Аннотация
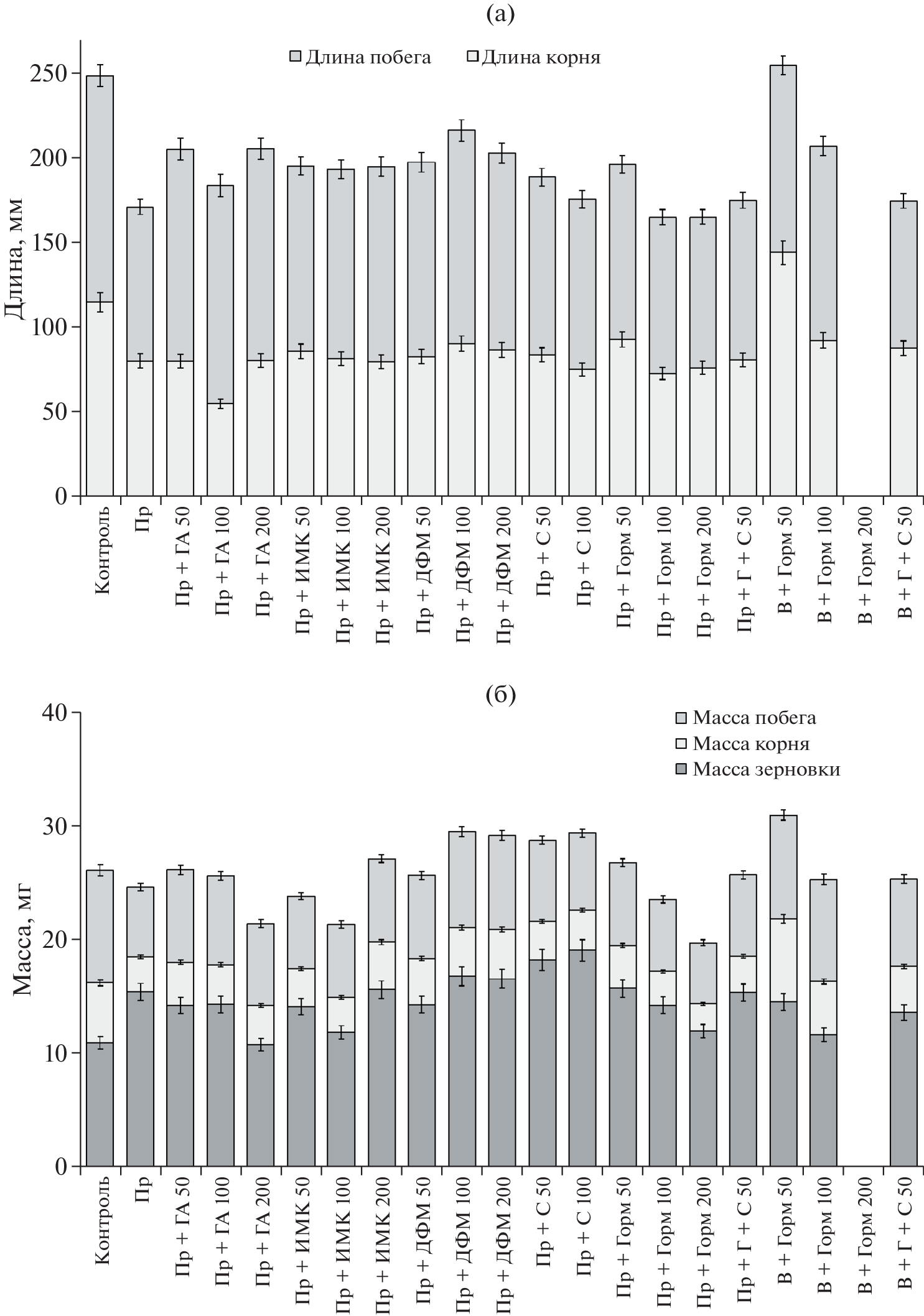
Одной из причин снижения урожайности зерна является ретардантное действие фунгицидов. Кроме того, многие фунгициды оказывают токсигенное действие на мицелий гриба. Сочетание в комплексном препарате фунгицида и стимулятора роста растений может способствовать снижению уровня негативного действия пестицида. Предложено вводить в состав протравителей индивидуальные регуляторы роста и их сочетание в дозах 50, 100, 200 г/л протравителя. Длина и масса корня и побега проростков под влиянием протравителя были меньше, чем в контроле, а масса зерновки – больше. Под действием протравителя и гиббереллиновой кислоты длина побега соответствовала контролю, но его масса снизилась. Индолилмасляная кислота, добавленная к протравителю, способствовала эффективному потреблению запасных веществ зерновки и росту корня. Под влиянием протравителя и дифенилмочевины длина и масса побега значительно и сбалансированно увеличились. Композиция из протравителя и названных регуляторов роста в минимальных дозах наилучшим образом из всех вариантов повлияла на рост корня и побега. Следует отдать предпочтение низким дозам фитогормонов и их сочетанию.
Об авторах
О. В. Зорькина
Волгоградский государственный университет
Email: nefedieva@rambler.ru
Россия, 40006, Волгоград, просп. Университетский, 10
Е. А. Сухова
Волгоградский государственный технический университет; Общество с ограниченной ответственностью “Агро Эксперт Груп”
Email: nefedieva@rambler.ru
Россия,
400005, Волгоград , просп. им. Ленина, 28; Россия,
143421, Московская обл., Красногорский р-н, 26 км автодороги “Балтия”, п. Михалково, бизнес-центр “Рига Ленд”, стр. 6
О. О. Агапова
Общество с ограниченной ответственностью “Агро Эксперт Груп”
Email: nefedieva@rambler.ru
Россия,
143421, Московская обл., Красногорский р-н, 26 км автодороги “Балтия”, п. Михалково, бизнес-центр “Рига Ленд”, стр. 6
Е. Э. Нефедьева
Волгоградский государственный технический университет; Общество с ограниченной ответственностью “Агро Эксперт Груп”
Автор, ответственный за переписку.
Email: nefedieva@rambler.ru
Россия,
400005, Волгоград , просп. им. Ленина, 28; Россия,
143421, Московская обл., Красногорский р-н, 26 км автодороги “Балтия”, п. Михалково, бизнес-центр “Рига Ленд”, стр. 6
И. Р. Грибуст
Общество с ограниченной ответственностью “Агро Эксперт Груп”
Email: nefedieva@rambler.ru
Россия,
143421, Московская обл., Красногорский р-н, 26 км автодороги “Балтия”, п. Михалково, бизнес-центр “Рига Ленд”, стр. 6
О. В. Колотова
Волгоградский государственный технический университет; Общество с ограниченной ответственностью “Агро Эксперт Груп”
Email: nefedieva@rambler.ru
Россия,
400005, Волгоград , просп. им. Ленина, 28; Россия,
143421, Московская обл., Красногорский р-н, 26 км автодороги “Балтия”, п. Михалково, бизнес-центр “Рига Ленд”, стр. 6
Список литературы
- Долженко В.И., Котикова Г.Ш., Здрожевская С.Д., Гришечкина Л.Д., Буркова Л.А., Герасимова А.В., Силаев А.И., Милютенкова Т.И., Белых Е.Б. Протравливание семенного материала: рекомендации. М. СПб.: Изд-во Агрорус, 2003. 61 с.
- Порсев И.Н., Торопова Е.Ю., Малинников А.А. Эффективность протравителей семян в ограничении корневых гнилей яровой пшеницы // Защита и карантин раст. 2016. № 2. С. 24–25.
- Нефедьева Е.Э., Зорькина О.В., Гераськин С.А., Белопухов С.Л. Влияние различных соотношений азоксистробина, протиоконазола и прохлораза на токсигенные свойства фитопатогенных грибов // Бутлеровские сообщ. 2021. Т. 65. № 1. С. 98–104.
- Байбакова Е.В., Нефедьева E.Э., Белопухов С.Л. Исследование влияния современных протравителей на всхожесть и рост проростков зерновых культур // Изв. вузов. Прикл. хим. и биотехнол. 2016. Т. 6. № 3 (18). С. 57–64.
- Байбакова Е.В., Нефедьева Е.Э., Белицкая М.Н., Грибуст И.Р., Косогорина М.Д., Севрюкова Г.А. Influence of fungicides on toxigenic properties of phytopathogenic fungi // BIO Web of Conf. 2020. Т. 23. С. 6.
- Ellner F.M. Results of long-term field studies into the effect of strobilurin containing fungicides on the production of mycotoxins in several winter wheat varieties // Mycotoxin Res. 2005. № 21. P. 112–115.
- Исаев Р.Ф., Шакирова Ф.М., Безрукова М.В., Сахабутдинова А.Р., Фатхутдинова Р.А., Авальбаев А.М., Аллагулова Ч.Р., Гилязетдинов Ш.Я., Масленникова Д.Р. Использование композиций фунгицидов с регуляторами роста для повышения продуктивности пшеницы // Аграрн. наука. 2005. № 4. С. 26–27.
- Тютерев С.Л. Научные основы индуцированной болезнеустойчивости растений. СПб., 2002. 328 с.
- Халиков С.С., Голубев А.С., Коротов Н.А., Чкаников Н.Д., Спиридонов Ю.Я. Инновационные протравители с антидотным действием // Агрохимия. 2017. № 4. С. 22–25.
- Голубев А.С., Коротов Н.А., Федоровский О.Ю., Спиридонов Ю.Я., Чкаников Н.Д. Фторсодержащие аналоги промышленного антидота фурилазол // Агрохимия. 2017. № 6. С. 62–67.
- Богуславская Н.В. Способы снижения фитотоксического действия фунгицидов на ранних этапах онтогенеза ячменя (снижение фитотоксичности винцита с помощью регуляторов роста Эмистим С и эпибрассинолида) // Экол. безопасность в АПК. Реферат. журн. 2009. № 3. С. 756.
- Дубровская Н.Н. Эффективность баковых композиций фунгицидов и регуляторов роста на яровой пшенице // Международ. научн.-исслед. журн. 2013. № 9–2(16). С. 6–7.
- Спиридонов Ю.Я., Чичварина О.А., Голубев А.С., Чкаников Н.Д., Халиков С.С. Инновационные протравители с антидотным действием. Изучение антистрессового действия фурилазола и его производного // Агрохимия. 2018. № 4. С. 45–49.
- Нефедьева Е.Э., Белопухов С.Л., Верхотуров В.В., Лысак В.И. Роль фитогормонов в регуляции прорастания // Изв. вузов. Прикл. хим. и биотехнол. 2013. № 1. С. 61–66.
- Байбакова Е.В., Нефедьева Е.Э. Изменения интенсивности дыхания проростков пшеницы под действием азоксистробина и регулятора роста // Вестн. науки и образ-я. 2017. № 12(36). С. 29–32.





