Генетические ассоциации ангедонии: новые аспекты взаимосвязи психических и соматических расстройств
- Авторы: Касьянов Е.Д.1, Пинахина Д.В.1,2, Ракитько А.С.1,3, Вергасова Е.О.3, Ермакович Д.П.3, Рукавишников Г.В.1, Малышко Л.В.1, Попов Я.В.3, Коваленко Е.В.3, Ильинская А.Ю.4, Ким А.А.3, Плотников Н.А.3, Незнанов Н.Г.1,5, Ильинский В.В.1,4, Кибитов А.О.1, Мазо Г.Э.1
-
Учреждения:
- ФГБУ «Национальный медицинский исследовательский центр психиатрии и неврологии им. В.М. Бехтерева» Минздрава России
- ФГАОУ ВО «Национальный исследовательский университет ИТМО»
- ООО «Генотек»
- Eligens SIA
- ФГБОУ ВО «Первый Санкт-Петербургский государственный медицинский университет имени академика И.П. Павлова» Минздрава России
- Выпуск: Том 5, № 2 (2024)
- Страницы: 5-15
- Раздел: ИССЛЕДОВАНИЕ
- URL: https://ogarev-online.ru/2712-7672/article/view/265168
- DOI: https://doi.org/10.17816/CP15494
- ID: 265168
Цитировать
Аннотация
ВВЕДЕНИЕ: Ангедония характеризуется снижением способности предвосхищать, испытывать и/или усваивать удовольствие. Этот феномен имеет трансдиагностическую природу и является одним из ключевых симптомов расстройств настроения, шизофрении, аддикций и соматических состояний.
ЦЕЛЬ: Оценить генетическую архитектуру ангедонии и её перекрытие с другими психическими расстройствами и соматическими состояниями.
МЕТОДЫ: Проведено исследование полногеномного поиска ассоциаций ангедонии на выборке из 4 520 человек из российской неклинической популяции. Используя доступную сводную статистику, мы рассчитали шкалы полигенного риска (polygenic risk scores, PRS), чтобы исследовать генетическую связь между ангедонией и другими психиатрическими или соматическими фенотипами.
РЕЗУЛЬТАТЫ: Не было идентифицировано ни одного варианта, достигшего полногеномного уровня значимости. PRS для депрессии, биполярного расстройства и шизофрении были значимо ассоциированы с ангедонией. И наоборот, не обнаружено значимых ассоциаций между PRS для тревожных расстройств и ангедонии, что хорошо согласуется с существующими клиническими данными. Ни один из PRS для соматических фенотипов не достиг уровня значимости после коррекции на множественные сравнения. При номинальном уровне значимости ассоциация с ангедонией выявлена для PRS ω-3 жирных кислот, сахарного диабета 2-го типа и болезни Крона.
ЗАКЛЮЧЕНИЕ: Ангедония имеет сложную полигенную архитектуру, в связи с чем её присутствие при соматических заболеваниях или нормальных состояниях может быть обусловлено генетической предрасположенностью к расстройствам настроения или шизофрении.
Ключевые слова
Полный текст
ВВЕДЕНИЕ
Ангедония характеризуется снижением или полной потерей способности не только переживать положительные эмоции и интерес в ответ на стимулы (консуматорная ангедония), но и предвосхищать получение потенциального вознаграждения (антиципационная ангедония), его усваивать и оценивать [1]. Данный феномен считают симптомом регуляторных нарушений системы вознаграждения головного мозга [2]. Ангедония имеет трансдиагностическую природу и является одним из ключевых симптомов большого депрессивного расстройства, биполярного аффективного расстройства (БАР), шизофрении и аддиктивного поведения, оказывая влияние на эффективность терапии и клиническое течение заболевания [3, 4]. Общепризнанной является роль ангедонии в риске суицидального поведения, независимо от тяжести большого депрессивного расстройства [5].
Согласно подходу проекта по разработке принципов исследования психических расстройств Research Domain Criteria (RDoC), ангедонию можно рассматривать как осевую черту, которая может являться не только признаком психопатологии, но и характеристикой дисфункции системы вознаграждения у лиц без психических расстройств [6]. Было отмечено, здоровые родственники первой степени родства пациентов с большим депрессивным расстройством характеризуются притупленной чувствительность к вознаграждению [7]. На этом основании механизмы, связанные с развитием ангедонии, часто рассматривают в качестве потенциальных эндофенотипов большого депрессивного расстройства и других психических расстройств [8, 9].
В качестве центрального механизма, лежащего в основе ангедонии, были предложены дисфункция мезолимбической дофаминергической системы и ее взаимодействие с эндогенной опиоидной системой [10, 11]. Ангедония также связана с уменьшением объема и изменением функциональной активности медиальной префронтальной коры и подкорковых стриарных областей (хвостатого ядра и скорлупы) [12, 13]. Был проведен ряд исследований ангедонии у пациентов с соматическими заболеваниями, но их количество пока очень мало [14–17].
Несмотря на достижения в области биохимии и нейровизуализации, генетическая природа ангедонии остается в полной мере не выясненной. Результаты исследования с участием 759 пациентов с депрессией выявили 18 однонуклеотидных полиморфизмов (single nucleotide polymorphisms, SNP), связанных с ангедонией [18]. Метаанализ трех исследований с участием молодых людей из Великобритании и Швеции с общим объемом выборки 6579 человек выявил один локус, связанный с ангедонией, в исследуемой выборке, но данный результат не воспроизводился при анализе независимой репликативной подвыборки [19]. В финском исследовании генетические взаимосвязи с физической и социальной ангедонией были изучены у 3820 участников, но значимых локусов, которые достигли бы полногеномного уровня значимости, выявлено не было [20].
В крупнейшем полногеномном исследовании по поиску ассоциаций (genome-wide association study, GWAS) для ангедонии в когорте UK Biobank (n=375 275) было идентифицировано 11 новых локусов, ассоциированных с ангедонией, с оценкой наследуемости на основе SNP, равной 5,6% [21]. Были обнаружены сильные положительные генетические корреляции между ангедонией и большим депрессивным расстройством, шизофренией и биполярным расстройством, но для обсессивно-компульсивного расстройства или болезни Паркинсона корреляций выявлено не было. Более того, было обнаружено, что генетический риск ангедонии ассоциирован со структурами, принимающими участие в обработке информации, связанной с вознаграждением и удовольствием [21].
Важным ограничением исследований GWAS является использование методов фенотипирования, оценивающих ангедонию только в текущий момент, а не в течение жизни (фенотип в течение жизни) [18–21]. Этот факт увеличивает риск ложноотрицательных ответов и систематической ошибки результатов, поскольку человек с определенным генетическим риском мог испытывать ангедонию в прошлом, а не на момент включения в исследование. Однако авторы признают, что люди, склонные к ангедонии, с большей вероятностью сообщают о ее проявлениях в любой момент времени, и что у людей с более сильной генетической предрасположенностью будет наблюдаться «резидуальный» фенотип ангедонии [21].
Цель настоящего исследования заключается в том, чтобы оценить генетическую архитектуру ангедонии и ее частичное совпадение (перекрытие) с другими расстройствами.
В данной статье представлено первое GWAS фенотипа ангедонии в течение жизни в российской популяции, определенной с использованием критериев Диагностического и статистического руководства по психическим расстройствам 5-го издания (Diagnostic and Statistical Manual of Mental Disorders, DSM-5) для ангедонии в рамках большого депрессивного расстройства. Кроме того, авторы провели полигенную оценку риска с использованием сводных статистических данных из крупномасштабных опубликованных GWAS, чтобы изучить связь ангедонии с различными соматическими состояниями и психическими расстройствами.
МЕТОДЫ
Дизайн исследования
Данное поперечное (cross-sectional) исследование было проведено под эгидой Российского национального консорциума психиатрической генетики [22]. Исследование было одобрено независимым этическим комитетом НМИЦ ПН им. В. М. Бехтерева (протокол №7 от 22.06.2017) и комитетом по этике ООО «Генотек» (протокол №12 от 26.10.2019): все процедуры проводились в соответствии с Хельсинкской декларацией Всемирной медицинской ассоциации. Все участники перед регистрацией подписали согласие на обработку персональных данных.
Условия проведения исследования
Набор участников проводился последовательно из клиентов российской частной компании ООО «Генотек», предоставляющей услуги в сфере персональной и медицинской генетики. Большинство клиентов обращаются в компанию для выяснения своего генотипа с целью уточнения этнического происхождения, рекомендаций по питанию, предрасположенности к различным талантам или заболеваниям. Все участники дали согласие на включение в исследование и предоставление своей генетической информации для его целей, а также заполнили онлайн-опросник для сбора социально-демографических и медицинских данных, размещенную на сайте ООО «Генотек»1. Данные были собраны в течение 2019–2020 гг. Анализ данных был проведен в 2021–2022 гг.
Участники
В исследовании приняли участие респонденты в возрасте старше 18 лет, обоего пола, ростом от 140 до 220 см и с массой тела от 40 до 150 кг.
Лица, не соответствующие установленным возрастным критериям (до 18 лет), имеющие отклонения от нормы по росту и массе тела (свыше 140–220 см и 40–150 кг соответственно), а также лица, биологические образцы которых не соответствовали критериям контроля качества, были исключены из исследования. Из оставшихся 5795 участников только 5724 заполнили онлайн-опросник. Кроме того, все пары близких родственников (до 3-х степеней родства) были выявлены на основании генетических данных с помощью программного обеспечения PRIMUS 16 и исключены из исследования. Из оставшихся 5116 участников критериям контроля качества GWAS соответствовали данные 4520 лиц (подробную информацию см. в разделе «Генотипирование»).
Процедуры
Фенотипирование
Фенотипирование участников проводилось онлайн с использованием оригинального скринингового теста, основанного на диагностических критериях DSM-5 для депрессивных и генерализованного тревожного расстройств [23]. Фенотип ангедонии определялся у участников исследования с помощью вопроса, основанного на критериях ангедонии DSM-5 в рамках большого депрессивного расстройства: «Был ли у вас период (длительностью 2 недели и более), в течение которого вы отмечали, что испытываете гораздо меньше удовольствия от тех вещей и занятий, которые прежде вам его доставляли?». По результатам ответов (да или нет) участники были стратифицированы по наличию или отсутствию фенотипа ангедонии в течение жизни соответственно.
Генотипирование
Образец ДНК был получен из слюны, и генотипирование было проведено с использованием набора биочипов для скринингового генотипирования Illumina Infinium Global Screening Array (GSA). Генетические данные подвергались качественной фильтрации. Авторы исключили образцы с несоответствием генетического и зарегистрированного пола, низкой долей определяемых целевых SNP (call rate) (<0,98), аномальной гетерозиготностью (>3 стандартных отклонений, на основании фильтрации вариантов с неравновесием по сцеплению [linkage disequilibrium, LD]). Для анализа сохраняли только варианты ДНК хорошего качества, определяемого с использованием фильтра равновесия Харди–Вайнберга (Hardy–Weinberg equilibrium, pHWE >1x10–5), на основании долей определяемых целевых SNP (>0,98) и частоты минорных аллелей (minor allele frequency, MAF >0,01). Вменение генотипа проводилось с использованием референтных панелей консорциума Haplotype Reference Consortium (HRC) и проекта 1000 Genomes с помощью программного пакета Beagle 5.1 [24–26]. Вмененные варианты с показателем неопределенности качества вменения Dosage R-Squared (DR2) >0,7 сохраняли для последующего анализа. Таким образом, контроль качества осуществлялся по современным критериям [27].
Методология GWAS
Анализ GWAS проводился с помощью программного обеспечения PLINK 1.9 [28]. Авторы использовали модель логистической регрессии с поправкой на возраст, пол и первые десять главных компонентов (рис. S1 в Приложении). Графики «Манхэттен» и Q-Q были построены с использованием библиотеки “qqman” в пакете графической визуализации R.
Перед анализом GWAS была оценена стратификация исследуемой популяции и исключены выбросы. На первом этапе алгоритм MDS (многомерного масштабирования) был использован для российской когорты в сочетании с восточноазиатскими (EAS), африканскими (AFR), европейскими (EUR) подвыборками из данных проекта 1000 Genomes. Общие SNP использовались для обоих наборов данных после фильтрации по HWE и LD со следующими параметрами: размер окна равен 50 SNP, R2 между SNP <0,2. На основании значений первого и второго главных компонентов (principal component) осуществлялась кластеризация с использованием алгоритма, основанная на плотности пространственная кластеризация для приложений с шумами (Density-Based Spatial of Applications with Noise algorithm) [29]. Образцы, не попавшие в кластеры, исключались. После исключения выбросов алгоритм MDS был применен повторно (без объединения с подвыборкой из данных проекта 1000 Genomes). Первые 15 компонентов позже использовались в качестве ковариат для учета стратификации популяции.
Блоки LD определялись на основе SNP с R2 >0,7 с использованием программы "LDPair Tool", NIH, США. В каждом из этих блоков был выбран один вариант с минимальным p, в результате чего было получено 5 основных не сцепленных вариантов. Варианты были аннотированы с помощью инструмента SnpEff 4.3t [29], а дополнительная информация по каждому варианту, включая расчетные частоты аллелей (estimated allele frequencies, EAF), была получена из Базы данных по однонуклеотидным полиморфизмам3 (Database for Single Nucleotide Polymorphisms, NIH, USA). Аннотацию генов проводили с использованием базы данных GeneCards4 (Институт науки Вейцмана, Израиль). Методы также описаны в предыдущей публикации авторов с результатами менделевского рандомизационного анализа [30].
Кроме того, авторы использовали ENSEMBL POSTGAP5 для аннотирования вариантов с p <1x10–5 до ближайших генов. Чтобы найти анатомо-терапевтическо-химические (ATC) категории, обогащенные среди генов полученного списка, авторы создали набор данных из 1716 генов-мишеней для препаратов 384 категорий ATC, присутствующих в DrugBank, и провели анализ обогащения набора генов с использованием пакета richR6. Пакет ABAEnrichment [31] использовался для выполнения анализа обогащения по областям головного мозга, представленным в наборе данных транскриптома головного мозга взрослого человека из базы данных Allen Brain Atlas [32]. Графическая визуализация количества значимых обогащений была выполнена с помощью пакета Coldcuts (учитывалось подмножество регионов, присутствующих в сегментации Coldcuts). Уровни экспрессии каждого из генов были получены из атласа для сравнения. Схема анализа обогащения, использованная в исследовании, представлена на рис. S2, A и B в Приложении.
Наследуемость на основе SNP
Наследуемость на основе SNP (h2snp) оценивалась как доля фенотипической дисперсии, совместно обусловленная доступными SNP в исследованиях GWAS. Регрессия LDScore (v.1.0.1) (LDSC) использовалась для оценки генетической наследуемости. Европейские показатели LD для SNP были использованы из файлов "eur_w_ld_chr/"7, а оценки были основаны на 1 163 161 перекрывающемся SNP. Авторы также представили данные о наследуемости SNP по шкале подверженности (liability) с популяционной распространенностью 0,3 для фенотипов, связанных с депрессией [33].
Полигенный скоринг риска
Оценка полигенного риска использовалась для анализа генетической связи между фенотипом ангедонии в течение жизни и психическими расстройствами. Авторы выбрали ряд крупномасштабных GWAS с общедоступной сводной статистикой (SS) для психиатрических и соматических фенотипов из баз данных Консорциума психиатрической геномики (Psychiatric Genomics Consortium, PGC) и Британского Биобанка (UK Biobank) (табл. S1 в Приложении). Выбор психиатрических и соматических фенотипов для анализа был основан на доступной научной литературе о связи некоторых психических расстройств и соматических состояний с депрессией в клинических исследованиях (табл. S1 в Приложении). Варианты с дублированными номерами rsID и комплементарными аллелями были удалены. Для определения полигенного скора риска (Polygenic risk score, PRS) использовалось программное обеспечение PRSice-2 [34]. PRS анализировали на предмет связи с фенотипом ангедонии в течение жизни в наборе данных с использованием модели логистической регрессии, включающей пять главных компонентов. Авторы проводили коррекцию Бонферрони полученных p-значений.
РЕЗУЛЬТАТЫ
Описание выборки
В исследовании приняли участие 4520 человек, из которых 50,4% (n=2280) составляли женщины. Средний возраст участников был равен 36,8 (SD=9,8). Об эпизоде ангедонии длительностью более 2 недель в течение жизни сообщили 57,6% (n=2604) участников, из них 53,3% (n=1388) составили женщины. На момент исследования 11,5% (522) участников испытывали ангедонию в течение 2 недель подряд (текущий фенотип).
Анализ GWAS
GWAS по фенотипу ангедонии в течение жизни не выявил вариантов с полногеномной значимой ассоциацией (p <10–8) (рис. 1). Основные 5 ассоциированных вариантов (p <10–5) представлены в Модуле S1 в Приложении. Наиболее значимым (p=9,71×10–7) оказался вариант rs296009 (chr5:168513184). Этот SNP находится в интроне гена SLIT3 (щелевой направляющий лиганд 3), а аллель риска (A) определялся с частотой 0,08. Список генов, полученный после связывания вариантов, для которых p было <10–5, с вероятно ассоциированными генами согласно POSTGAP, включает 51 ген (модуль S1 в Приложении). Репликативный анализ не проводили, поскольку не было получено результатов с полногеномным уровнем значимости.
Рисунок 1. Результаты GWAS для фенотипа ангедонии в течение жизни. Примечание: (А) Манхэттенский график фенотипа ангедонии в течение жизни. Анализ ассоциаций значения p для каждого SNP нанесены на график (в виде –log10(p)) в зависимости от положения на хромосоме. Синяя линия указывает уровень значимости p <1x10–5. (B) График Q-Q для фенотипа ангедонии в течение жизни. График Q-Q демонстрирует наблюдаемое и ожидаемое значение p для каждого варианта.
Анализ обогащения генами-мишенями для категорий лекарственных препаратов по ATC выявил значимое обогащение для классов B02B (витамин К и другие гемостатики) (p.adj=0,048, поправка Бенджамини–Хохберга), B02 (антигеморрагические средства) (p.adj=0,048, поправка Бенджамини–Хохберга) (рис. S2 (С) в Приложении). За это обогащение отвечал один ген — DUSP1.
Наследуемость на основе SNP
Наследуемость на основе SNP для фенотипа ангедонии на протяжении жизни составила h2snp=0,174 (SE=0,09). Авторы также представили данные о наследуемости на основе SNP в виде шкалы предрасположенности с учетом распространенности фенотипа в популяции. Авторы использовали приближенную оценку распространенности большого депрессивного расстройства в течение жизни — 0,3 [33]. Таким образом, h2snp для ангедонии после трансформации на шкале предрасположенности составила 0,26 (SE=0,14). К этим результатам и их интерпретации следует относиться с осторожностью по причине небольшого размера выборки.
PRS анализ
Были созданы дополнительные модели с использованием только компонентов ковариат (возраст, пол, 15 MDS [многомерное шкалирование] для сравнительной оценки генетических PRS.R2) и других (Null.R2) факторов, и полные модели, учитывающие обе группы факторов (Full.R2). Порог значимости с поправкой Бонферрони для анализа PRS для психических расстройств составил 0,05/11=0,0045. Как показано в табл. S3 (в Примечании), PRS для большого депрессивного расстройства, биполярного расстройства и шизофрении были статистически значимо связаны с ангедонией, указывая на то, что генетическая предрасположенность к этим расстройствам повышает риск ангедонии. В то же время PRS для невротических черт личности и тревожных расстройств не продемонстрировал значимой ассоциации с ангедонией (p >0,0045). Тем не менее была отмечена номинальная значимость для невротических черт.
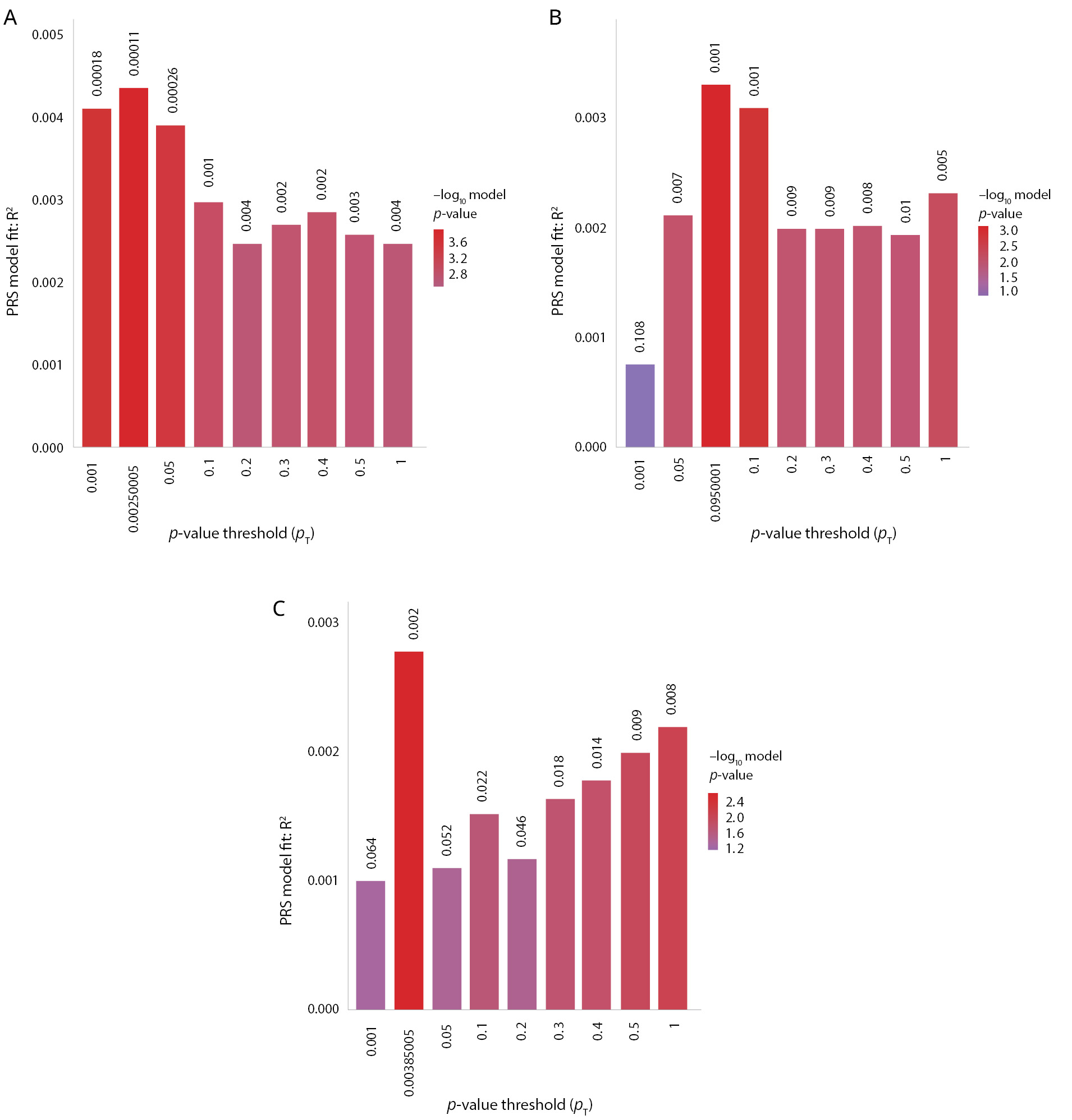
Наиболее значимые модели PRS в отношении прогноза ангедонии среди трех расстройств были получены с помощью метаанализа сводной статистики GWAS для депрессии на основе данных из PGC и UK Biobank (PRS.R2=0,00436498, Full.R2=0,0295311, p=0,00011262), для биполярного расстройства на основе данных PGC (PRS.R2=0,00329757, Full.R2=0,0284637, p=0,000785365) и шизофрении на основе данных PGC, исследования 2-й волны (PRS.R2=0,00276988, Full.R2=0,02793, p=0,00208176). Количественные характеристики наиболее значимых PRS представлены на рис. 2.
Рисунок 2. Индексы полигенного риска депрессии, биполярного аффективного расстройства и шизофрении статистически значимо связаны с фенотипом ангедонии на протяжении жизни. Примечание: На оси X показано пороговое значение p, используемое для выбора SNP на основании данных GWAS: (A) метаанализ депрессии на основании данных PGC и UK Biobank; (B) биполярного расстройства на основании данных PGC; (C) шизофрении PGC (исследования 2-й волны). На оси Y показана процентная дисперсия по шкале предрасположенности. Значения p ассоциации между индексами полигенного риска и фенотипом ангедонии на протяжении жизни указаны над каждым столбцом.
Как видно на основании данных, представленных в табл. S4 (в Приложении), ни один из показателей PRS для соматических фенотипов не достиг уровня значимости после поправки с учетом множественных сравнений (p >0,05/17=0,003). Номинальная значимость связи фенотипа ангедонии в течение жизни была определена для уровня жирных кислот омега-3, сахарного диабета 2 типа, болезни Крона и ишемического инсульта.
Анализ обогащения
Анализ обогащения с помощью пакета ABAEnrichment с использованием набора из 51 гена, ассоциированного с вариантами с p <10–5 согласно POSTGAP, выявил наибольшее количество значимых обогащений (n=4) в задней орбитальной извилине (табл. S5 в Приложении). Область с наименьшей минимальной групповой вероятностью ошибки (family-wise error rate, FWER) с 3 значимыми обогащениями, была расположена в ретроспленальной части левой поясной извилины. Сравнение уровней экспрессии генов в разных областях головного мозга показано на рис. S2 в Приложении (D, E). Категорией лекарственных препаратов АТС с наиболее значимым обогащением в наборе генов являлась B02B — витамин К и другие гемостатические средства (табл. S6, рис. S2 (C) в Приложении).
ОБСУЖДЕНИЕ
Данное исследование является первым российским исследованием GWAS, в котором была предпринята попытка поиска полногеномных ассоциаций для фенотипа ангедонии в течение жизни, основанного на критериях большого депрессивного расстройства DSM-5. С помощью трансдиагностического подхода RDoC авторы установили, что полигенный компонент большого депрессивного расстройства, биполярного расстройства и шизофрении повышает риски проявления фенотипа ангедонии в течение жизни. В то же время авторы не обнаружили доказательств того, что PRS соматических состояний может статистически значимо предсказывать фенотип ангедонии в течение жизни.
Показатели PRS для большого депрессивного расстройства, биполярного расстройства и шизофрении, за исключением невротических черт и тревожных расстройств, были статистически значимо связаны с фенотипом ангедонии в течение жизни. Подобные ассоциации были выявлены в крупнейших GWAS ангедонии на основании данных Biobank Великобритании [21]. Отсутствие генетической связи между ангедонией и тревожными расстройствами хорошо согласуется с имеющимися клиническими данными, согласно которым ангедония считается ключевым симптомом в дифференциальной диагностике большого депрессивного расстройства и тревожных расстройств [16, 35]. Однако есть доказательства того, что невротические черты могут способствовать развитию тревоги и ангедонии у пациентов с большим депрессивным расстройством [36]. Номинальная значимость связи фенотипа ангедонии в течение жизни была определена для уровня жирных кислот омега-3, сахарного диабета 2 типа, болезни Крона и ишемического инсульта, что ранее было подтверждено в систематических обзорах и метаанализе депрессии [37–40].
Несмотря на то, что в настоящем исследовании не было выявлено значимых ассоциаций полногеномных вариантов с фенотипом ангедонии в течение жизни, некоторые из идентифицированных локусов включают гены с известными ассоциациями с расстройствами настроения и метаболическими фенотипами (табл. S2 в Приложении). О полиморфизме rs296009 гена SLIT3, наиболее значимом SNP в данном исследовании, в опубликованных ранее GWAS не сообщалось. Однако другие полиморфизмы этого гена были связаны с биполярным расстройством (rs7720655) [41], терапевтически резистентной депрессией (rs7735612) [42], а также с кардиометаболическими нарушениями, возникающими во время терапии антидепрессантами у пациентов шизофренией и биполярным расстройством (rs17665285) [43]; с уровнем лептина (rs11954861 и rs11954861) [44], ростом (rs2974438) и индексом массы тела (ИМТ) (rs76493495) [45, 46]. О полиморфизме rs577951495 гена NECAB1 также ранее не сообщалось в опубликованных исследованиях GWAS. Однако другие полиморфизмы этого гена были связаны с индексом курения в течение жизни (rs2062882) [47], возрастом первого полового акта (rs3591843) [48], а также уровнем образования и болезнью Альцгеймера (rs12675931) [49].
Высокие оценки SNP-наследуемости ангедонии, аналогичные тем, которые получены в данном исследовании, наблюдались в ранее опубликованных исследованиях: 69% [18], 20% [19], 20,4–26,6% [20]. Оценки SNP-наследуемости соотносятся с данным близнецовых исследований, в которых наследуемость ангедонии составила 44% [50]. В то же время наименьшая SNP-наследуемость (5,6%) наблюдалась в исследовании UK Biobank с самым большим размером выборки [21]. Такие различия можно объяснить особенностями фенотипирования, а именно использованием в данном исследовании фенотипа ангедонии в течение всей жизни. На возникновение систематической ошибки результатов расчета наследуемости на основании SNP также мог повлиять небольшой размер выборки (<5000).
Набор из 51 варианта, ассоциированного с ангедонией с порогом предположительной связи (suggestive) (p <10–5) согласно POSTGAP, имел значимо повышенную представленность среди препаратов категории ATC B02B (p.adj=0,048), в которую входят витамин К и другие гемостатические средства; данное обогащение было обусловлено DUSP1 — одним из генов, на экспрессию которых влияет витамин К8. Этот витамин участвует в регуляции метаболизма сфинголипидов и оказывает защитное действие от окислительного стресса на головной мозг. Было показано, что высокое потребление витамина К с пищей значимо связано с более низким уровнем тяжести депрессивных симптомов, включая тот факт, что у лиц с наиболее высоким потреблением витамина К с пищей шансы развития симптомов депрессии были ниже (OR=0,58; 95% ДИ: 0,43–0,80) [51]. В свою очередь, для мышей с делецией DUSP1, была выявлена устойчивость к стресс-индуцированной депрессии [52]. Витамин K3 снижает экспрессию DUSP1, а сверхэкспрессия этого гена значимо повышает восприимчивость клеток к окислительному повреждению [53]. Таким образом, антидепрессивное и антиоксидантное действие витамина К может быть частично связано с взаимодействием этих генов.
Анализ обогащения в данном исследовании продемонстрировал наибольшее количество значимых обогащений в области задней орбитальной извилины. Задняя орбитальная извилина получает сигналы от лимбических областей (т.е. миндалевидного тела, гиппокампа, обонятельной коры и островка) и играет важную роль в обработке обонятельной информации, а также интеграции эмоций и воспоминаний, связанных с сенсорным опытом [54]. По данным нейровизуализационных исследований, участки орбитальной извилины были связаны с различными проявлениями ангедонии и большого депрессивного расстройства [21, 55–57].
Таким образом, представленные в данной статье и другие результаты показывают, что ангедония является широко распространенным в популяции феноменом со сложной полигенной архитектурой, которая перекрывается с рядом фенотипически сходных психических расстройств и соматических состояний. Более того, результаты настоящего исследования GWAS ангедонии существенно обогатили понимание ее биологических механизмов, которые долгое время связывали только с дофаминергической системой вознаграждения. Тем не менее, несмотря на воспроизводимые результаты, касающиеся генетической связи ангедонии с расстройствами настроения и шизофренией, говорить о том, что механизмы, запускающие ангедонию, являются общими с указанными расстройствами, преждевременно. Для демонстрации закономерностей необходимы исследования GWAS с использованием глубокого фенотипирования ангедонии с учетом ее клинических характеристик, а также последующий анализ обогащения путей биологического риска. Изучение генетического взаимного перекрытия ангедонии и соматических заболеваний может помочь пониманию связи этих заболеваний с психическими расстройствами.
Ограничения исследования
Исследование имеет ряд ограничений. Основным ограничением является небольшой размер выборки, что имеет решающее значение для получения вариантов с полногеномной значимостью. Это также может быть причиной отсутствия воспроизведения полученных результатов GWAS на независимой репликативной выборке. Вторым ограничением является гетерогенность рассматриваемого в настоящем исследовании фенотипа ангедонии: подтипы ангедонии в зависимости от ее происхождения (физическая/социальная, консуматорная/антиципационная) не учитывались. Выборка исследования была собрана на основании клиентов частной компании, оказывающей услуги по генетическому анализу, что могло повлиять на социально- демографические характеристики участников по сравнению с общей популяцией. Тем не менее авторы убеждены, что полученные ими результаты актуальны для многих будущих исследований, включая репликативный анализ GWAS, по изучению широкого спектра психических состояний, связанных с ангедонией.
ЗАКЛЮЧЕНИЕ
Ангедония — это феномен со сложной полигенной архитектурой, которая перекрывается с рядом других фенотипически сходных психических расстройств и соматических состояний. Результаты настоящего исследования продемонстрировали, что генетическая предрасположенность к большому депрессивному расстройству, биполярному расстройству и шизофрении повышает риск проявления фенотипа ангедонии на протяжении всей жизни. В то же время общих генетических факторов между тревогой и ангедонией выявлено не было, что хорошо согласуется с доступными клиническими данными. Кроме того, ни один из показателей PRS для соматических фенотипов не достиг уровня значимости после поправки с учетом множественных сравнений. Таким образом, наилучшие прогностические модели основывались на сводной статистике психических расстройств. Этот факт может свидетельствовать о том, что появление ангедонии при соматических расстройствах или у здоровых лиц может быть обусловлено генетической предрасположенностью к расстройствам настроения или шизофрении. Дальнейшие совместные усилия по изучению трансдиагностической природы ангедонии позволят выявить значимые генетические ассоциации и улучшить понимание этиологии ангедонии.
Вклад авторов: Все авторы внесли существенный вклад в проведение исследования и подготовку статьи, прочли и одобрили финальную версию до публикации.
Финансирование: Исследование проведено при финансовой поддержке гранта РНФ № 20-15-00132-П.
Конфликт интересов: Авторы заявляют об отсутствии конфликта интересов.
Заявление о доступности данных
В пользовательском соглашении9 указано, что раскрытие генетической информации индивидуального уровня и/или информации, предоставленной самостоятельно, третьим лицам в исследовательских целях не допускается при отсутствии однозначно выраженного согласия. В соответствии с пользовательским соглашением, данные индивидуального уровня не могут быть напрямую доступны научному сообществу; доступ к ним должен осуществляться через ООО Генотек.
1 www.genotek.ru
2 https://ldlink.nci.nih.gov/?tab=ldpair
3 https://www.ncbi.nlm.nih.gov/snp/
4 https://www.genecards.org/
5 https://github.com/Ensembl/postgap
6 https://cran.r-project.org/web/packages/enrichR/index.html
7 https://data.broadinstitute.org/alkesgroup/LDSCORE
8 http://ctdbase.org/
9 Доступно по ссылке https://www.genotek.ru
Об авторах
Евгений Дмитриевич Касьянов
ФГБУ «Национальный медицинский исследовательский центр психиатрии и неврологии им. В.М. Бехтерева» Минздрава России
Автор, ответственный за переписку.
Email: i@kasyan.ru
ORCID iD: 0000-0002-4658-2195
к.м.н., с.н.с. отделения социальной нейропсихиатрии
Россия, Санкт-ПетербургДарья Владимировна Пинахина
ФГБУ «Национальный медицинский исследовательский центр психиатрии и неврологии им. В.М. Бехтерева» Минздрава России; ФГАОУ ВО «Национальный исследовательский университет ИТМО»
Email: i@kasyan.ru
ORCID iD: 0000-0001-9896-6556
н.с. отделения социальной нейропсихиатрии
Россия, Санкт-Петербург; Санкт-ПетербургАлександр Сергеевич Ракитько
ФГБУ «Национальный медицинский исследовательский центр психиатрии и неврологии им. В.М. Бехтерева» Минздрава России; ООО «Генотек»
Email: i@kasyan.ru
ORCID iD: 0000-0003-0567-7734
к.ф.-м.н., директор по науке
Россия, Санкт-Петербург; МоскваЕкатерина Олеговна Вергасова
ООО «Генотек»
Email: i@kasyan.ru
ORCID iD: 0000-0003-0823-0540
биоинформатик
Россия, МоскваДанат Павлович Ермакович
ООО «Генотек»
Email: i@kasyan.ru
ORCID iD: 0000-0002-0712-6939
н.с.
Россия, МоскваГригорий Викторович Рукавишников
ФГБУ «Национальный медицинский исследовательский центр психиатрии и неврологии им. В.М. Бехтерева» Минздрава России
Email: i@kasyan.ru
ORCID iD: 0000-0002-5282-2036
к.м.н., вед.н.с., руководитель отделения социальной нейропсихиатрии
Россия, Санкт-ПетербургЛариса Владимировна Малышко
ФГБУ «Национальный медицинский исследовательский центр психиатрии и неврологии им. В.М. Бехтерева» Минздрава России
Email: i@kasyan.ru
ORCID iD: 0000-0002-5470-4359
SPIN-код: 5156-9223
Scopus Author ID: 57250155600
м.н.с. научно организационного отделения
Россия, Санкт-ПетербургЯрослав Вячеславович Попов
ООО «Генотек»
Email: i@kasyan.ru
ORCID iD: 0000-0001-7538-123X
н.с.
Россия, МоскваЕлена Владимировна Коваленко
ООО «Генотек»
Email: i@kasyan.ru
ORCID iD: 0000-0001-5678-6557
н.с.
Россия, МоскваАнна Юрьевна Ильинская
Eligens SIA
Email: i@kasyan.ru
ORCID iD: 0000-0001-7524-5617
руководитель лаборатории
Латвия, РигаАнна Александровна Ким
ООО «Генотек»
Email: i@kasyan.ru
ORCID iD: 0000-0003-4077-4740
н.с.
Россия, МоскваНиколай Анатольевич Плотников
ООО «Генотек»
Email: i@kasyan.ru
ORCID iD: 0000-0001-5585-0035
с.н.с.
Россия, МоскваНиколай Григорьевич Незнанов
ФГБУ «Национальный медицинский исследовательский центр психиатрии и неврологии им. В.М. Бехтерева» Минздрава России; ФГБОУ ВО «Первый Санкт-Петербургский государственный медицинский университет имени академика И.П. Павлова» Минздрава России
Email: i@kasyan.ru
ORCID iD: 0000-0001-5618-4206
SPIN-код: 9772-0024
д.м.н., проф., директор; зав. каф. психиатрии и наркологии
Россия, Санкт-Петербург; Санкт-ПетербургВалерий Владимирович Ильинский
ФГБУ «Национальный медицинский исследовательский центр психиатрии и неврологии им. В.М. Бехтерева» Минздрава России; Eligens SIA
Email: i@kasyan.ru
ORCID iD: 0000-0003-4377-2759
генеральный директор
Россия, Санкт-Петербург; Рига, ЛатвияАлександр Олегович Кибитов
ФГБУ «Национальный медицинский исследовательский центр психиатрии и неврологии им. В.М. Бехтерева» Минздрава России
Email: i@kasyan.ru
ORCID iD: 0000-0002-8771-625X
SPIN-код: 3718-6729
д.м.н., гл.н.с., руководитель отделения геномики психических расстройств
Россия, Санкт-ПетербургГалина Элевна Мазо
ФГБУ «Национальный медицинский исследовательский центр психиатрии и неврологии им. В.М. Бехтерева» Минздрава России
Email: i@kasyan.ru
ORCID iD: 0000-0001-7036-5927
д.м.н., заместитель директора по инновационному научному развитию, руководитель Института трансляционной психиатрии
Россия, Санкт-ПетербургСписок литературы
- Craske MG, Meuret AE, Ritz T, et al. Treatment for Anhedonia: A neuroscience driven approach. Depress Anxiety. 2016;33(10):927–38. doi: 10.1002/da.22490
- Der-Avakian A, Markou A. The neurobiology of Anhedonia and other reward-related deficits. Trends Neurosci. 2012;35(1):68–77. doi: 10.1016/j.tins.2011.11.005
- Husain M, Roiser JP. Neuroscience of apathy and Anhedonia: a transdiagnostic approach. Nat Rev Neurosci. 2018;19(8):470–84. doi: 10.1038/s41583-018-0029-9
- Kibitov AO, Mazo GE. [Anhedonia in depression: neurobiological and genetic aspects]. Zh Nevrol Psikhiatr Im SS Korsakova. 2021;121(3):146–54. doi: 10.17116/jnevro2021121031146. Russian.
- Ducasse D, Loas G, Dassa D, et al. Anhedonia is associated with suicidal ideation independently of depression: A meta-analysis. Depress Anxiety. 2018;35(5):382–92. doi: 10.1002/da.22709
- Cuthbert BN, Insel TR. Toward the future of psychiatric diagnosis: the seven pillars of RDoC. BMC Med. 2013;11:126. doi: 10.1186/1741-7015-11-126
- Liu WH, Roiser JP, Wang LZ, et al. Anhedonia is associated with blunted reward sensitivity in first-degree relatives of patients with major depression. J Affect Disord. 2016;190:640–8. doi: 10.1016/j.jad.2015.10.050
- Guffanti G, Kumar P, Admon R, et al. Depression genetic risk score is associated with Anhedonia-related markers across units of analysis. Transl Psychiatry. 2019;9(1):236. doi: 10.1038/s41398-019-0566-7
- Xu C, Chen J, Cui Z, et al. Abnormal Anhedonia as a potential endophenotype in obsessive-compulsive disorder. Neuropsychiatr Dis Treat. 2020;16:3001–10. doi: 10.2147/NDT.S268148
- Hatzigiakoumis DS, Martinotti G, Giannantonio MD, Janiri L. Anhedonia and substance dependence: clinical correlates and treatment options. Front Psychiatry. 2011;2:10. doi: 10.3389/fpsyt.2011.00010
- Gorwood P. Neurobiological mechanisms of Anhedonia. Dialogues Clin Neurosci. 2008;10(3):291–9. doi: 10.31887/DCNS.2008.10.3/pgorwood
- Zhang B, Lin P, Shi H, et al. Mapping Anhedonia-specific dysfunction in a transdiagnostic approach: an ALE meta-analysis. Brain Imaging Behav. 2016;10(3):920–39. doi: 10.1007/s11682-015-9457-6
- Pizzagalli DA, Holmes AJ, Dillon DG, et al. Reduced caudate and nucleus accumbens response to rewards in unmedicated individuals with major depressive disorder. Am J Psychiatry. 2009;166(6):702–10. doi: 10.1176/appi.ajp.2008.08081201
- Carter J, Swardfager W. Mood and metabolism: Anhedonia as a clinical target in Type 2 diabetes. Psychoneuroendocrinology. 2016;69:123–32. doi: 10.1016/j.psyneuen.2016.04.002
- Hamer JA, Testani D, Mansur RB, et al. Brain insulin resistance: A treatment target for cognitive impairment and Anhedonia in depression. Exp Neurol. 2019;315:1–8. doi: 10.1016/j.expneurol.2019.01.016
- Trøstheim M, Eikemo M, Meir R, et al. Assessment of Anhedonia in adults with and without mental illness: A systematic review and meta-analysis. JAMA Netw Open. 2020;3(8):e2013233. doi: 10.1001/jamanetworkopen.2020.13233
- Pelle AJ, Pedersen SS, Erdman RAM, et al. Anhedonia is associated with poor health status and more somatic and cognitive symptoms in patients with coronary artery disease. Qual Life Res. 2011;20(5):643–51. doi: 10.1007/s11136-010-9792-4
- Ren H, Fabbri C, Uher R, et al. Genes associated with Anhedonia: a new analysis in a large clinical trial (GENDEP). Transl Psychiatry. 2018;8(1):150. doi: 10.1038/s41398-018-0198-3
- Pain O, Dudbridge F, Cardno AG, et al. Genome-wide analysis of adolescent psychotic-like experiences shows genetic overlap with psychiatric disorders. Am J Med Genet B Neuropsychiatr Genet. 2018;177(4):416–25. doi: 10.1002/ajmg.b.32630
- Ortega-Alonso A, Ekelund J, Sarin AP, et al. Genome-wide association study of psychosis proneness in the finnish population. Schizophr Bull. 2017;43(6):1304–14. doi: 10.1093/schbul/sbx006
- Ward J, Lyall LM, Bethlehem RAI, et al. Novel genome-wide associations for Anhedonia, genetic correlation with psychiatric disorders, and polygenic association with brain structure. Transl Psychiatry. 2019;9(1):327. doi: 10.1038/s41398-019-0635-y
- Kibitov AO, Mazo GE, Rakitko AS, et al. [GWAS-based polygenic risk scores for depression with clinical validation: methods and study design in the Russian population]. Zh Nevrol Psikhiatr Im SS Korsakova. 2020;120(11):131–40. doi: 10.17116/jnevro2020120111131. Russian.
- Kasyanov ED, Verbitskaya EV, Rakitko AS, et al. [Validation of a DSM-5-based screening test using digital phenotyping in the Russian population]. Zh Nevrol Psikhiatr Im SS Korsakova. 2022; 122(6. Vyp. 2):64–70. doi: 10.17116/jnevro202212206264. Russian.
- Browning SR, Browning BL. Rapid and accurate haplotype phasing and missing-data inference for whole-genome association studies by use of localized haplotype clustering. Am J Hum Genet. 2007;81(5):1084–97. doi: 10.1086/521987
- Genomes Project Consortium, Auton A, Brooks LD, Durbin RM, et al. A global reference for human genetic variation. Nature. 2015;526(7571):68–74. doi: 10.1038/nature15393
- McCarthy S, Das S, Kretzschmar W, et al. A reference panel of 64,976 haplotypes for genotype imputation. Nat Genet. 2016;48(10):1279–83. doi: 10.1038/ng.3643
- Marees AT, de Kluiver H, Stringer S, et al. A tutorial on conducting genome-wide association studies: Quality control and statistical analysis. Int J Methods Psychiatr Res. 2018;27(2):e1608. doi: 10.1002/mpr.1608
- Chang CC, Chow CC, Tellier LC, et al. Second-generation PLINK: rising to the challenge of larger and richer datasets. GigaScience. 2015;4:7. doi: 10.1186/s13742-015-0047-8
- Cingolani P, Platts A, Wang le L, et al. A program for annotating and predicting the effects of single nucleotide polymorphisms, SnpEff: SNPs in the genome of Drosophila melanogaster strain w1118; iso-2; iso-3. Fly (Austin). 2012;6(2):80–92. doi: 10.4161/fly.19695
- Kasyanov ED, Pinakhina DV, Rakitko AS, et al. [Anhedonia in mood disorders and somatic diseases: results of exploratory Mendelian randomization analysis]. Zh Nevrol Psikhiatr Im SS Korsakova. 2023;123(4. Vyp. 2):65–73. doi: 10.17116/jnevro202312304265. Russian.
- Grote S, Prüfer K, Kelso J, Dannemann M. ABAEnrichment: an R package to test for gene set expression enrichment in the adult and developing human brain. Bioinformatics. 2016;32(20):3201–3. doi: 10.1093/bioinformatics/btw392
- Hawrylycz MJ, Lein ES, Guillozet-Bongaarts AL, et al. An anatomically comprehensive atlas of the adult human brain transcriptome. Nature. 2012;489(7416):391–9. doi: 10.1038/nature11405
- Kessler RC, Petukhova M, Sampson NA, et al. Twelve-month and lifetime prevalence and lifetime morbid risk of anxiety and mood disorders in the United States. Int J Methods Psychiatr Res. 2012;21(3):169–84. doi: 10.1002/mpr.1359
- Choi SW, Mak TSH, O’Reilly PF. Tutorial: a guide to performing polygenic risk score analyses. Nat Protoc. 2020;15(9):2759–72. doi: 10.1038/s41596-020-0353-1
- Clark LA, Watson D. Tripartite model of anxiety and depression: Psychometric evidence and taxonomic implications. J Abnorm Psychol. 1991;100(3):316–36. doi: 10.1037//0021-843x.100.3.316
- Liao A, Walker R, Carmody TJ, et al. Anxiety and Anhedonia in depression: Associations with neuroticism and cognitive control. J Affect Disord. 2019;245:1070–8. doi: 10.1016/j.jad.2018.11.072
- Appleton KM, Voyias PD, Sallis HM, et al. Omega-3 fatty acids for depression in adults. Cochrane Database Syst Rev. 2015(11):CD004692. doi: 10.1002/14651858.CD004692.pub4
- Roy T, Lloyd CE. Epidemiology of depression and diabetes: a systematic review. J Affect Disord. 2012;142 Suppl:S8–21. doi: 10.1016/S0165-0327(12)70004-6
- Barberio B, Zamani M, Black CJ, et al. Prevalence of symptoms of anxiety and depression in patients with inflammatory bowel disease: a systematic review and meta-analysis. Lancet Gastroenterol Hepatol. 2021;6(5):359–70. doi: 10.1016/S2468-1253(21)00014-5
- Pan A, Sun Q, Okereke OI, et al. Depression and risk of stroke morbidity and mortality: a meta-analysis and systematic review. JAMA. 2011;306(11):1241–9. doi: 10.1001/jama.2011.1282. Erratum in: JAMA. 2011;306(23):2565.
- Mullins N, Forstner AJ, O’Connell KS, et al. Genome-wide association study of more than 40,000 bipolar disorder cases provides new insights into the underlying biology. Nat Genet. 2021;53(6):817–29. doi: 10.1038/s41588-021-00857-4
- Fabbri C, Kasper S, Kautzky A, et al. Genome-wide association study of treatment-resistance in depression and meta-analysis of three independent samples. Br J Psychiatry. 2019;214(1):36–41. doi: 10.1192/bjp.2018.256
- Fjukstad KK, Athanasiu L, Bahrami S, et al. Genetic variants associated with cardiometabolic abnormalities during treatment with selective serotonin reuptake inhibitors: a genome-wide association study. Pharmacogenomics J. 2021;21(5):574–85. doi: 10.1038/s41397-021-00234-8
- Ortega-Azorín C, Coltell O, Asensio EM, et al. Candidate Gene and genome-wide association studies for circulating leptin levels reveal population and sex-specific associations in high cardiovascular risk Mediterranean subjects. Nutrients. 2019;11(11):2751. doi: 10.3390/nu11112751
- Wood AR, Esko T, Yang J, et al. Defining the role of common variation in the genomic and biological architecture of adult human height. Nat Genet. 2014;46(11):1173–86. doi: 10.1038/ng.3097
- Wojcik GL, Graff M, Nishimura KK, et al. Genetic analyses of diverse populations improves discovery for complex traits. Nature. 2019;570:514–8. doi: 10.1038/s41586-019-1310-4
- Wootton RE, Richmond RC, Stuijfzand BG, et al. Evidence for causal effects of lifetime smoking on risk for depression and schizophrenia: a Mendelian randomisation study. Psychol Med. 2020;50(14):2435–43. doi: 10.1017/S0033291719002678
- Mills MC, Tropf FC, Brazel DM, et al. Identification of 371 genetic variants for age at first sex and birth linked to externalising behaviour. Nat Hum Behav. 2021;5(12):1717–30. doi: 10.1038/s41562-021-01135-3
- Kulminski AM, Loiko E, Loika Y, Culminskaya I. Pleiotropic predisposition to Alzheimer’s disease and educational attainment: insights from the summary statistics analysis. Geroscience. 2022;44(1):265–80. doi: 10.1007/s11357-021-00484-1
- Bogdan R, Pizzagalli DA. The heritability of hedonic capacity and perceived stress: a twin study evaluation of candidate depressive phenotypes. Psychol Med. 2009;39(2):211–8. doi: 10.1017/S0033291708003619
- Bolzetta F, Veronese N, Stubbs B, et al. The relationship between dietary vitamin K and depressive symptoms in late adulthood: A cross-sectional analysis from a large cohort study. Nutrients. 2019;11(4):787. doi: 10.3390/nu11040787
- Duric V, Banasr M, Licznerski P, et al. A negative regulator of MAP kinase causes depressive behavior. Nat Med. 2010;16(11):1328–32. doi: 10.1038/nm.2219
- Liu YX, Wang J, Guo J, et al. DUSP1 is controlled by p53 during the cellular response to oxidative stress. Mol Cancer Res. 2008;6(4):624–33. doi: 10.1158/1541-7786.MCR-07-2019
- Catani M. The anatomy of the human frontal lobe. Handb Clin Neurol. 2019;163:95–122. doi: 10.1016/B978-0-12-804281-6.00006-9
- Luby JL, Agrawal A, Belden A, et al. Developmental trajectories of the orbitofrontal cortex and Anhedonia in middle childhood and risk for substance use in adolescence in a longitudinal sample of depressed and healthy preschoolers. Am J Psychiatry. 2018;175(10):1010–21. doi: 10.1176/appi.ajp.2018.17070777
- Samara Z, Evers EAT, Peeters F, et al. Orbital and medial prefrontal cortex functional connectivity of major depression vulnerability and disease. Biol Psychiatry Cogn Neurosci Neuroimaging. 2018;3(4):348–357. doi: 10.1016/j.bpsc.2018.01.004
- Zhang Y-J, Cai X-L, Hu H-X, et al. Social brain network predicts real-world social network in individuals with social Anhedonia. Psychiatry Res Neuroimaging. 2021;317:111390. doi: 10.1016/j.pscychresns.2021.111390
Дополнительные файлы



