Особенности реакций окислительного присоединения триарилсурьмы с дигидроксибензойными кислотами
- Авторы: Шарутин В.В.1, Шарутина О.К.1, Белов В.В.1
-
Учреждения:
- Национальный исследовательский Южно-Уральский государственный университет
- Выпуск: Том 49, № 3 (2023)
- Страницы: 183-192
- Раздел: Статьи
- URL: https://ogarev-online.ru/0132-344X/article/view/137278
- DOI: https://doi.org/10.31857/S0132344X22700116
- EDN: https://elibrary.ru/BNTAKB
- ID: 137278
Цитировать
Полный текст
Аннотация
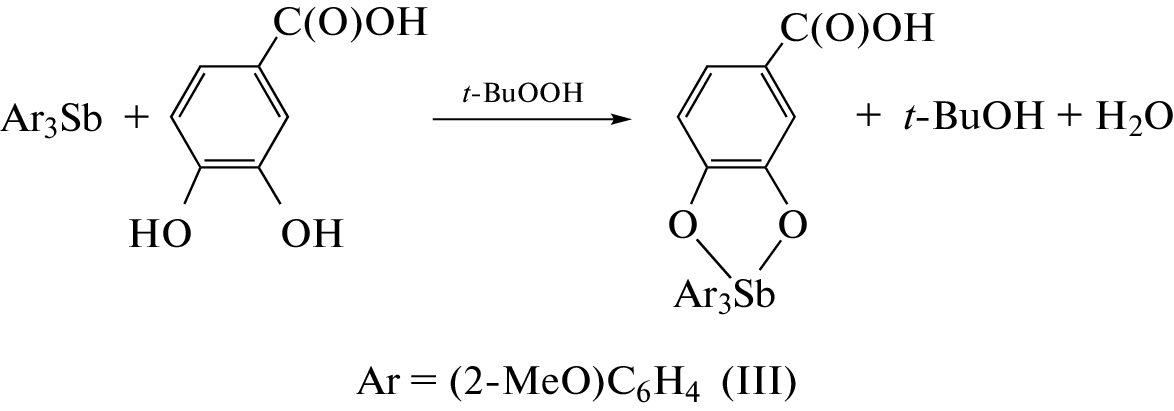
Трис(2-метоксифенил)сурьма и трис(3-фторфенил)сурьма взаимодействуют с 2,3-дигидроксибензойной и 3,4-дигидроксибензойной кислотами в присутствии трет-бутилгидропероксида с образованием карбоксикатехолато-О,О'-триарилсурьмы. В аналогичных условиях трис(4-фторфенил)сурьма реагирует с 2,3-дигидроксибензойной кислотой с образованием дикарбоксилата трис(4-фторфенил)сурьмы. Особенности строения продуктов реакций установлены методом рентгеноструктурного анализа (CCDC № 2126358 (I), 2124252 (II · H2O · Et2O), 2121839 (III · 0.5С6Н6), 2131083 (IV · 2.5С6Н6).
Об авторах
В. В. Шарутин
Национальный исследовательский Южно-Уральский государственный университет
Email: sharutin50@mail.ru
Россия, Челябинск
О. К. Шарутина
Национальный исследовательский Южно-Уральский государственный университет
Email: sharutin50@mail.ru
Россия, Челябинск
В. В. Белов
Национальный исследовательский Южно-Уральский государственный университет
Автор, ответственный за переписку.
Email: sharutin50@mail.ru
Россия, Челябинск
Список литературы
- Ladilina E.Yu., Semenov V.V., Fukin G.K. et al. // J. Organometal. Chem. 2007. V. 692. P. 5701. https://doi.org/10.1016/j.jorganchem.2007.09.019
- Шарутин В.В., Шарутина О.К., Ефремов А.Н. // Журн. коорд. химии. 2017. Т. 43. № 9. С. 521 (Sharutin V.V., Sharutina O.K., Efremov A.N. // Russ. J. Coord. Chem. 2017. V. 43. № 9. P. 565). https://doi.org/10.7868/S0132344X17090092
- Шарутин В.В., Шарутина О.К., Ефремов А.Н. // Журн. неорган. химии. 2018. Т. 63. № 3. С. 327 (Sharutin V.V., Sharutina O.K., Efremov A.N. // Russ. J. Inorg. Chem. 2018. V. 63. № 3. P. 343). https://doi.org/10.1134/S0036023618030208
- Додонов В.А., Гущин А.В., Горькаев Д.А. и др. // Изв. АН. Сер. хим. 2002. № 6. С. 965 (Dodonov V.A., Gushchin A.V., Gorkaev D.A. et al. // Russ. Chem. Bull. 2002. № 6. P. 1051). https://doi.org/10.1023/A:1019634307064
- Шарутин В.В., Шарутина О.К., Ефремов А.Н. // Коорд. химия. 2017. Т. 43. № 8. С. 496 (Sharutin V.V., Sharutina O.K., Efremov A.N. // Russ. J. Coord. Chem. 2017. V. 43. № 8. P. 526). https://doi.org/10.1134/S1070328417080073
- Thepe T.C., Garascia R.I., Selvoski M.A. et al. // Ohio J. Sci. 1977. V. 77. № 3. P. 134.
- Гущин А.В., Шашкин Д.В., Пруткова Л.К. и др. // Журн. общ. химии. 2012. Т. 81. № 3. С. 397 (Gushchin A.V., Shashkin D.V., Prytkova L.K. et al. // Russ. J. Gen. Chem. 2011. V. 81. № 3. P. 493). https://doi.org/10.1134/S107036321103008X
- Малеева А.И., Гущин А.В., Калистратова О.С. и др. // Вестник ЮурГУ. Сер. Химия. 2019. Т. 11. № 3. С. 66. https://doi.org/10.14529/chem190308
- Duffin R.N., Blair V.L., Kedzierski L. et al. // Dalton Trans. 2018. V. 47. № 3. P. 971. https://doi.org/10.1039/C7DT04171C
- Шарутин В.В., Шарутина О.К., Сенчурин В.С. и др. // Журн. неорган. химии. 2018. Т. 63. № 7. С. 823 (Sharutin V.V., Sharutina O.K., Senchurin V.S. et al. // Russ. J. Inorg. Chem. 2018. V. 63. № 7. P. 867). https://doi.org/10.1134/S0036023618070185
- Шарутин В.В., Шарутина О.К., Сенчурин В.С. и др. // Вестник ЮУрГУ. Сер. Химия. 2017. Т. 9. № 3. С. 71). https://doi.org/10.14529/chem170309
- Додонов В.А., Забурдяева С.Н., Додонов В.А. и др. // Металлоорган. хим. 1989. Т. 2. № 6. С. 1296.
- Додонов В.А., Федоров А.Ю., Усятинский Р.И. и др. // Изв. АН. Сер. хим. 1995. № 4. С. 748 (Dodonov V.A., Fedorov A.Yu., Usyatinsky R.I. et al. // Russ. Chem. Bull. 1995. № 4. P. 730). https://doi.org/10.1007/BF00698512
- Шарутин В.В., Шарутина О.К., Сенчурин В.С. // Журн. неорган. химии. 2014. Т. 59. № 9. С. 1178 (Sharutin V.V., Sharutina O.K., Senchurin V.S. // Russ. J. Inorg. Chem. 2014. V. 59. № 9. P. 947). https://doi.org/10.1134/S0036023614090162
- Шарутин В.В., Молокова О.В., Шарутина О.К. и др. // Журн. общ. химии. 2009. Т. 79. № 8. С. 1297 (Sharutin V.V., Molokova O.V., Sharutina O.K. et al. // Russ. J. Gen. Chem. 2009. V. 79. № 8. P. 1656). https://doi.org/10.1134/S107036320908012X
- Astaf’eva T.V., Rumyantcev R.V., Arsenyev M.V. et al. // J. Organomet. Chem. 2022. V. 958. P. 122190. https://doi.org/10.1016/j.jorganchem.2021.122190
- Шарутин В.В., Шарутина О.К., Губанова Ю.О. и др. // Журн. общ. химии. 2020. Т. 90. № 1. С. 136 (Sharutin V.V., Sharutina O.K., Gubanova Y.O. et al. // Russ. J. Gen. Chem. 2020. V. 90. № 1. P. 105). https://doi.org/10.1134/S1070363220010168
- Sharutin V.V., Sharutina O.K., Gubanova Y.O. et al. // Mendeleev Commun. 2020. V. 30. № 6. P. 97. https://doi.org/10.1016/j.mencom.2020.01.032
- Kочешков K.A., Сколдинов A.P., Землянский Н.Н. Методы элементоорганической химии. Сурьма, висмут. М.: Наука, 1976.
- Sharutin V.V., Sharutina O.K., Efremov A.N., Adonin S.A. // Mendeleev. Commun. 2022. V. 32. № 1. P. 109. https://doi.10.1 016/j.mencom.2022.01.035
- SMART and SAINT-Plus. Versions 5.0. Data Collection and Processing Software for the SMART System. Madison (WI, USA): Bruker AXS Inc., 1998.
- SHELXTL/PC. Versions 5.10. An Integrated System for Solving, Refining and Displaying Crystal Structures from Diffraction Data. Madison (WI, USA): Bruker AXS Inc., 1998.
- Dolomanov O.V., Bourhis L.J., Gildea R.J. et al. // J. A-ppl. Cryst. 2009. V. 42. P. 339. https://doi.org/10.1107/S0021889808042726
- Cambridge Crystallographic Data Center. 2021. http://www.ccdc.cam.ac.uk
- Тарасевич Б.Н. ИК спектры основных классов органических соединений. М.: МГУ, 2012. 55 с.
- Васильев А.В., Гриненко Е.В., Щукин А.О., Федулина Т.Г. Инфракрасная спектроскопия органических и природных соединений. СПб.: СПбГЛТА, 2007. 54 с.
- Cherkasov V.K., Grunova E.V., Poddel’sky A.I. et al. // J. Organomet. Chem. 2005. V. 690. 5. P. 1273. https://doi.org/10.1016/j.jorganchem.2004.11.049
- Cherkasov V.K., Abakumov G.A., Grunova E.V. et al. // Chem. Eur. J. 2006. V. 12. P. 3916. https://doi.org/10.1002/chem.200501534
- Poddel’sky A.I., Somov N.V., Druzhkov N.O. et al. // J. Organomet. Chem. 2011. V. 696. № 2. P. 517. https://doi.org/10.1016/j.jorganchem.2010.09.008
- Poddel’sky A.I., Smolyaninov I.V., Fukin G.K. et al. // J. Organomet. Chem. 2016. V. 824. № 1. P. 1. https://doi.org/10.1016/j.jorganchem.2016.09.021
- Poddel’sky A.I., Smolyaninov I.V., Fukin G.K. et al. // J. Organomet. Chem. 2018. V. 867. № 15. P. 238. https://doi.org/10.1016/j.jorganchem.2017.12.006
- Hall M., Sowerby D.B. // J. Am. Chem. Soc. 1980. V. 102. № 2. P. 628. https://doi.org/10.1021/ja00522a031
- Poddel’sky A.I., Somov N.V., Kurskii Yu.A. et al. // J. Organomet. Chem. 2008. V. 693. № 21–22. P. 3451. https://doi.org/10.1016/j.jorganchem.2008.08.002
- Poddel’sky A.I., Arsenyev M.V., Astaf’eva T.V. // J. Organomet. Chem. 2017. V. 835. P. 17. https://doi.org/10.1016/j.jorganchem.2017.02.035
- Mantina M., Chamberlin A.C., Valero R. et al. // J. Phys. Chem. A. 2009. V. 113. № 19. P. 5806. https://doi.org/10.1021/jp8111556
- Ali M.I., Rauf M.K., Badshah A. et al. // Dalton Trans. 2013. V. 42. № 48. P. 16733. https://doi.org/10.1039/c3dt51382c
- Mushtaqa R., Raufa M.K., Bondb M. et al. // Appl. Organomet. Chem. 2016. V. 30. P. 465. https://doi.org/10.1002/aoc.3456
- Zhang X.J., Cui L.S., Zhang X. et al. // J. Mol. Struct. 2017. V. 1134. P. 742. https://doi.org/10.1016/j.molstruc.2017.01.039
- Qin W., Yasuike S., Kakusawa N. et al. // J. Organomet. Chem. 2008. V. 693. № 1. P. 109. https://doi.org/10.1016/j.jorganchem.2007.10.030
- Quan L., Yin H., Cui L. et al. // Acta Crystallogr. E. 2009. V. 65. № 6. P. m656. https://doi.org/10.1107/S1600536809017449
- Wen L., Yin H., Wang D. // Chin. J. Inorg. Chem. 2009. V. 25. P. 1470.
- Yu L., Ma Y.Q., Liu R.C. et al. // Polyhedron. 2004. V. 23. № 5. P. 823. https://doi.org/10.1016/j.poly.2003.12.002
Дополнительные файлы








