Самоорганизация кластеров активных броуновских частиц в коллоидной плазме при воздействии лазерного излучения
- Авторы: Васильев М.М.1, Алексеевская А.А.1, Косс К.Г.1, Васильева Е.В.1, Петров О.Ф.1
-
Учреждения:
- ФГБУН Объединенный институт высоких температур РАН
- Выпуск: Том 61, № 6 (2023)
- Страницы: 825-829
- Раздел: Исследование плазмы
- URL: https://ogarev-online.ru/0040-3644/article/view/252380
- DOI: https://doi.org/10.31857/S0040364423060170
- ID: 252380
Цитировать
Полный текст
Аннотация
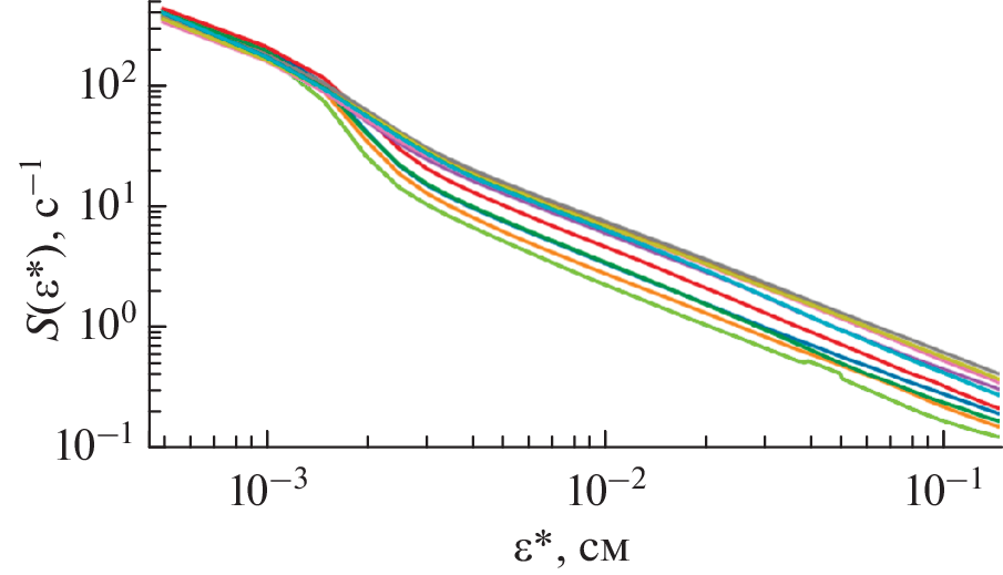
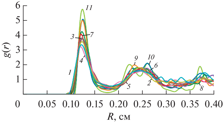
Кластеры активных броуновских частиц в газоразрядной плазме рассматриваются как открытые системы с обменом энергией с окружающей средой. Показана эволюция кластера из 19 активных броуновских частиц с частично поглощающей металлической поверхностью (так называемых янус-частиц) при воздействии на них интенсивного лазерного излучения. Экспериментально наблюдалось формирование сильно коррелированных кластеров заряженных частиц с ростом мощности лазерного излучения. На основе анализа траекторий частиц, области их локализации, изменения их кинетической энергии, фрактальной размерности и динамической энтропии при различных значениях плотности мощности лазерного излучения изучена самоорганизация кластера сильновзаимодействующих частиц в плазме высокочастотного тлеющего разряда.
Об авторах
М. М. Васильев
ФГБУН Объединенный институт высоких температур РАН
Email: vasiliev@ihed.ras.ru
Россия, Москва
А. А. Алексеевская
ФГБУН Объединенный институт высоких температур РАН
Email: vasiliev@ihed.ras.ru
Россия, Москва
К. Г. Косс
ФГБУН Объединенный институт высоких температур РАН
Email: vasiliev@ihed.ras.ru
Россия, Москва
Е. В. Васильева
ФГБУН Объединенный институт высоких температур РАН
Email: vasiliev@ihed.ras.ru
Россия, Москва
О. Ф. Петров
ФГБУН Объединенный институт высоких температур РАН
Автор, ответственный за переписку.
Email: vasiliev@ihed.ras.ru
Россия, Москва
Список литературы
- Ebeling W., Feistel R. Physics of Self-organization and Evolution. Weinheim: Wiley‒VCH, 2011.
- Prigogine I., Nicolis G., Babloyantz A. Thermodynamics of Evolution // Phys. Today. 1972. V. 25. № 11. P. 23.
- Petrosky T.Y., Prigogine I. Laws and Events: The Dynamical Basis of Self-organization // Canad. J. Phys. 1990. V. 68. № 9. P. 670.
- Shields C.W. IV, Velev O.D. The Evolution of Active Particles: Toward Externally Powered Self-propelling and Self-reconfiguring Particle Systems // Chem. 2017. V. 3. № 4. P. 539.
- Petrov O.F., Statsenko K.B., Vasiliev M.M. Active Brownian Motion of Strongly Coupled Charged Grains Driven by Laser Radiation in Plasma // Sci. Rep. 2022. V. 12. № 1. P. 8618.
- Su H., Hurd Price C.A., Jing L., Tian Q., Liu J., Qian K. Janus Particles: Design, Preparation, and Biomedical Applications // Mater. Today Bio. 2019. V. 4. P. 100033.
- Deng D., Argon A.S., Yip S. A Molecular Dynamics Model of Melting and Glass Transition in an Idealized Two-dimensional Material I // Phil. Trans. R. Soc. Lond. A. 1989. V. 329. 549.
- Allegrini P., Douglas J.F., Glotzer S.C. Dynamic Entropy as a Measure of Caging and Persistent Particle Motion in Supercooled Liquids // Phys. Rev. E. 1999. V. 60. P. 5714.
- Gaspard P., Wang X.-J. Noise, Chaos, and (ε, τ)-Entropy per Unit Time // Phys. Rep. 1993. V. 235. № 6. P. 291.
- Gaspard P., Nicolis G. Transport Properties, Lyapunov Exponents, and Entropy per Unit Time // Phys. Rev. Lett. 1990. V. 65. P. 1693.
- Mandelbrot B.B. The Fractal Geometry of Nature. San Francisco: W.H. Freeman and Co., 1982.
- Koss X.G., Petrov O.F., Statsenko K.B., Vasiliev M.M. Small Systems of Laser-driven Active Brownian Particles: Evolution and Dynamic Entropy // EPL. 2018. V. 124. P. 45 001.
Дополнительные файлы










